Física

Ondas, ondas armónicas, ondas estacionarias y alguna que otra anécdota

Alguien dijo alguna vez que «las ondas son criaturas alegres que gustan de propagarse en todas direcciones, adapatándose a los obstáculos que se encuentran», sin embargo sabemos que son perturbaciones del medio que, debido a la interacción entre los elementos del mismo, se propagan.

Fundamentalmente hay dos tipos de ondas según su naturaleza: las electromagnéticas, que se propagan a través del vacío como fotones (recordemos que a esta peculiar partícula se la acusa de los campos eléctrico, magnético, y nuclear débil); y las mecánicas, que se propagan a trevás de la materia, siendo propiedades de esta (dualidad onda-corpúsculo).

Una onda sonora, por ejemplo, es una perturbación de la densidad del medio, y como se propaga a través de las partículas, su velocidad dependerá de lo fuertemente unidas que estén las mismas, o dicho de otro modo, de su cohesión.

Una buena forma de ejemplificar esto es con una hilera de personas. Si están unidas por las manos y agitamos a la primera, la alteración probablemente no pasará más a allá de la tercera. Sin embargo, si estuviesen pegadas de hombros y zarandeásemos a la primera el efecto llegaría más lejos.

Así pues, se puede apreciar una notoria diferencia de velocidad de propagación del sonido según los materiales: los gases lo propagan a unos cientos de m/s, los líquidos a poco más de 1000 m/s, y los sólidos entre 3000 m/s y 5500 m/s. Recordemos en este punto la típica escena del tren que se aproxima y la persona que acerca la oreja al raíl para detectarlo, porque el sonido del vehículo se propaga mejor por el metal.

De manera genérica, para una onda unidimensional (se propaga en línea recta), la alteración (Ψ) quedará definida por la distancia (x) al origen de la onda y el instante de tiempo (t) en el que se observa.

Que la onda se propague quiere decir que lo que le ocurre a un punto del medio en «x» es lo mismo que le pasará punto alejado a Δx un tiempo Δt después.

Y sustituyendo en la primera parte, la ecuación de una onda es toda aquélla que dependa funcionalmente del tiempo y de la posición dentro de un mismo miembro.

De las siguientes ecuaciones, ¿cuáles son ondas unidimensionales?

Tan solo la primera y la tercera ecuación son válidas, porque están exclusivamente en funciñon de «x» y de «t».

Las ondas, en general y sin excepciones, se propagan esféricamente alrededor de su origen. Lo que pasa es que en algunas direcciones se mueven tan lentamente comparadas con otras (según el medio) que se pueden considerar ondulaciones separadas con características dispares.

Desde el momento en que una onda comienza a propagarse, el lugar geométrico de los puntos más alejados al origen en cada instante se considera el frente de onda, que una vez que ésta esta muy desarrollada, y suponiendo que se propagase en un medio constante, acabaría siendo plano (su radio tiende a infinito y es una superficie curva). En realidad sería curvo siempre, ya que en el espacio tridimensional curvo las líneas rectas son inexistentes, pero no se precisa tanto.

Una onda periódica es aquélla en la que en intervalos de tiempo «T» o periodos iguales, cada posición «x» de ésta se encuentra en la misma situación que en «T» segundos antes. Este fenómeno se suele denominar periodicidad espacial. Y de entre todas las ondas periódicas, las más importantes son las armónicas, de forma funcional relacionada con el seno, tal que:

«A» sería la amplitud del radio de cada oscilación de la onda, «k» sería el número de oscilaciones por cada metro, y «ω» sería la velocidad angular con la que la onda recorrería el tramo curvo de su trayectoria.

El número de oscilaciones por segundo que hace la onda se denomina frecuencia, y se define, entre otras formas, por:

Sus unidades son las revoluciones por segundo (rev/s) o los herzios (Hz).

Por curiosear, los oídos detectan ondas sonoras de entre 20 y 20000 rev/s. Asimismo, los ojos diferencian los colores por la fecuencia de las ondas entre 0,000000000045 rev/s y 0,00000000000007 rev/s. Las ondas de frecuencia se consideran color negro y las mayores son invisibles a nuestro ojo. Dentro del intervalos de visivilidad los colores van, de menor a mayor frecuencia, como los del arco iris.

En una onda, además de la velocidad de propagación, está la velocidad trasversal, que es a la que se desplazan los puntos de la misma siguiendo su trayecto ondulatorio, y cuya función se obtiene derivando respecto al tiempo la alteración:

Un pulso que se propaga sobre una cuerda tensa viene desrito por:¿Cuáles son la velocidad de propagación y su sentido del movimiento?

La velocidad de propagación «vp» se define como:

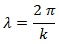
La longitud de onda «λ», a su vez, se define por:

, y el periodo  por:

Sustituyendo y simplificando:

, que en este caso concreto supone 1 m/s.

El sentido del movimiento es, evidentemente, hacia adelante.

Los tranvías de la línea 8 circulan cada 10 minutos en dirección norte, y con igual frecuencia en dirección sur. ¿Creerías a alguien que dijera que ha visto circular cada 5 minutos un tranvía de la línea 8 en dirección norte?

Solución 1 (la del profe): Si el tramo es completamente recto y yo me muevo en dirección sur a la misma velocidad, veré pasar la línea 8 en la mitad de tiempo.

Solución 2 (la primera que pensé): que cada 10 minutos pasen no implica que sea ese su periodo. O en otras palabras, que pasen cada 10 minutos no implica que por el medio no puedan pasar.

Solución 3 (la mejor para mi gusto): aplicando la Relatividad Especial, un cuerpo que se moviese a 0,87 veces la velocidad de la luz vería pasar el tiempo dos veces más rápido de lo normal.

La audición binaural nos permite localizar la procedencia de sonidos tipo chasquidos por la diferencia de tiempo de llegada a los dos oídos. Si los oídos están separados 15 cm, calcular la diferencia de tiempo para la localización de un chasquido procedente de una fuente sonora localizada a 3 cm del oído derecho, y 30º por delante de la línea que une los dos oídos.

«Para evitar discusiones, lo mejor será poner el angulo de 30º entre los dos oídos», dijo el profe.

Y claro, yo ante tal aberración tuve que intervenir. Dado que la distancia entre los oídos es de 15 cm y la del chasquido al oído derecho es de 3 cm, por pura lógica se hacía evidente que trazar el ángulo a partir del punto medio de los oídos daría lugar a una indeterminación, y mucho mayor sería esta si el ángulo se ubicase a partir del oído izquierdo. Asimismo, en caso de que desde el punto medio el triángulo llegase a tener solución (aunque es poco probable), el chaquido quedaría ubicado dentro del cerebro por la estructura del ejercicio. Y dentro del cerebro los oídos no detectan nada.

El único modo verosímil de enfocar el ejercicio, pues, era poniendo el ángulo a partir del oído derecho.

Y entonces si, comenzamos con trigonometría. La altura del chasquido con respecto a la recta de los oídos era de:

, y la proyección de ese punto sobre la misma recta estaría ubicada a:

Una vez completado el triángulo grande, la distancia al oído 2 (d2) sería igual a la raíz de la suma de los cuadrados de los dos catetos: (15 cm + 2,6 cm) y (1’5 cm), resultando de 17,7 cm.

El tiempo que tardaría el sonido en llegar al oído 1 sería de:

El tiempo que tardaría el sonido en llegar al oído 2 sería d:

La diferencia de tiempos entre ambas llegadas sería de:

Se observan dos puntos de una cuerda al pasar una onda móvil por ella. Uno de ellos está ubicado en el origen «O», y el otro a un metro de él. Si sus ecuaciones de posición son:calcular la frecuencia de la onda, la longitud y la velocidad de propagación.

Si 1 metro de distancia suponen π / 8 radianes más de fase, por una simple regla de 3 se llega a la conclusión de que 2 π radianes ocuparán 16 metros.

La frecuencia será igual a la velociada angular dividida entre los radianes que conllevan una vuelta:

Por último, la velocidad de propagación se define por:

Un buen método para medir la longitud del sonido con un reloj consiste en permanecer a una cierta distancia «d» de un frontón y batir las palmas rítimicamente, de tal modo que no se distinga el eco de la pared. Definir la ecuación de la velocidad del sonido.

Despreciando la distancia del choque de las manos a los oídos, e incluso el grado de inclinación hacia arriba que tiene que hacer para llegar a ellos, el tiempo entre palmadas «T» tendrá que ser igual al doble de la distancia al muro (ida y vuelta) dividido entre la velocidad del sonido «v». Así nos resulta que:

Cualquier onda, al progresar en un medio material, sufre una pérdida de energía siguiendo una progresión geométrica de ecuación:

La energía medida es igual a la inicial por el valor de la atenuación (A < 1) elevada a la distancia recorrida.

También las ondas se propagan a una velocidad mayor cuanto mayor sea su frecuencia ν, dado que oscilan más y se multiplican de un modo proporcional. Como las ondas visibles de mayor frecuencia son las azuladas y son las que más rápido se multiplican, son las que definen el color del cielo.

Por último, cuando dos ondas de características semejantes pero distinto sentido se cruzan, dan lugar a una onda estacionaria, que se define por la ecuación:

En este tipo de ondas apreciamos que hay valores de «x» que siempre son nulos (los nodos), que el máximo y el mínimo también se dan siempre en los mismos puntos fijos (vientres), y que cuando el seno de la función vale 0 todos los puntos son nulos.

Faltan algunas cosas que explicaré en otro momento.

Pero hoy no quiero dejar esta entrada sin antes hablar de mi ecuación favorita sobre las ondas:

La energía de una onda es igual a la constante de Planck por la frecuencia de la misma. Si sustituimos la frecuencia:

, y aplicando la fórmula fundamental de la Relatividad:

La conclusión es un tanto peculiar. Dado que la materia posee una dualidad onda-corpúsculo y la energía es masa, una onda lleva asociada una masa. Y a la inversa. A partir de esta última ecuación, uno puede calcular la longitud de onda de su cuerpo si conoce su masa. ¿Para qué sirve? Pues no está muy claro, pero es curioso.

Categorías:Física, Nivelación

2 respuestas »

Preguntas, correcciones y debate son bien recibidos.