Carrera

Teoría de campos: campos escalares, campos vectoriales, gradiente, circulación, flujo, divergencia y rotacional.

En física, al tratar de describir la interacción entre partículas o cuerpos materiales, se puede hacer de dos modos:

  • Mediante el concepto de acción a distancia utilizado desde la época de Newton. Este concepto implica, como su nombre indica, la interacción de una partícula sobre otra sin intervención directa del medio en el que se encuentran.
  • Mediante la perturbación de las propiedades del mediodonde se encuentren las partículas. En esta descripción se supone que una de las partículas produce la perturbación que se traduce en una acción sobre las demás, a las que podemos llamar «testigos» y que se encuentran en la región perturbada. Este concepto fue introducido por Faraday, que no llegó a formalizarlo matemáticamente.

Estas dos descripciones alternativas son indistinguibles en situaciones estáticas. En situaciones dinámicas resulta ventajoso y más cómodo, tanto desde el punto de vista físico como matemático, la descripción mediante la introducción del concepto de campo para caracterizar la perturbación de las propiedades del medio. Conviene resaltar que la acción a distencia o directa presenta ventajas en situaciones estáticas (cargas eléctricas o masas gravitatorias en reposo), pero tiene grandes desventajas cuando se trata de cargas o masas en movimiento rápido.

Campo:

Si se asigna a cada punto del espacio el valor de una función unívoca de punto, se dice que este espacio, como base o soporte de dicha magnitud, es un campo.

Si la magnitud es escalar hablamos de un campo escalar.

Si la magnitud es vectorial hablamos de un campo vectorial.

En general tanto los campos escalares como los vectoriales son funciñon del punto y del tiempo. Cuando los cambios no dependen del tiempo se dice que son estáticos o estacionarios.

Los campos escalares se visualizan mediante las superficies de nivel o isoescalares, que son el lugar geométrico de los puntos del espacio para los cuales la función escalar toma el mismo valor, por ejemplo:

Cuando estas superficies se cortan por un plano se convierten en las llamadas curvas de nivel o isoescalares, que según  la magnitud física que representan reciben un nombre particular: las isotermas se definen por:

las isóbaras se definen por:

Los campos vectoriales representan magnitudes de carácter vectorial: A (x, y, z, t).

Entre éstos cabe citar el campo de velocidades en un fluido: v (x, y , z, t).

, el campo eléctrico, el gravitatorio, el magnético… De manera análoga a los campos escalares, se dice que un campo vectorial es estacionario cuando la magnitud característica del mismo no es función del tiempo, como por ejemplo el gravitatorio: g (x, y, z) y el electrostático: E (x, y, z).

Entre los campos vectoriales son especialmente importantes los campos de fuerzas. Se dice que en una cierta región del espacio hay un campo de fuerzas cuando en todo punto de la misma hay una fuerza que toma un valor diferente para cada punto y en cada instante de tiempo. A partir de ahora nos referiremos a los campos estáticos de fuerzas.

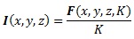
Para poner de manifiesto la fuerza hay que colocar en el punto correspondiente un agente sensible («testigo») de naturaleza adecuada a la fuerza. Es decir, si las fuerzas son de naturaleza eléctrica el agente será una carga en reposo o el movimiento, si son gravitatorias el agente será una partícula con cierta masa… Por lo tanto, en general: F (x, y, z, K), donde mediante «K» queremos indicar que el valor de la fuerza depende no solo del punto del espacio considerado, sino también del del valor del «testigo» utilizado para detectarla.

Como hemos indicado, los campos de fuerzas dependen del agente sensible. Para salvar esta dificultad se suele definir un campo de fuerzas por unidad de agente sensible que se denomina intensidad del campo de fuerzas:

Para los campos gravitatorios:

, y para el electrostático:

Podemos preguntarnos por qué dentro de todas las formas posibles para visualizar el comportamiento de campos se ha elegido la más abstracta: los campos son simplemente funciones matemáticas de la posición y dle tiempo. De esta forma se puede dar una imagen del campo asociando vectores a muchos puntos del espacio, de forma que cada uno de ellos indique la intensidad, dirección y sentido de ese punto.

Se puede visualizar también el comportamiento de los campos trazando unas líneas que en todo punto sean tangentes al vector campo definido en el mismo. Estas líneas de campo indican el sentido de éste, mediante flechas colocadas en ellas. Al hacer esto se pierde información acerca del módulo de los vectores, pero se puede tener una idea de la magnitud del campo dibujando las líneas más separadas en las regiones en las que es más débil, y más juntas en las más intensas.

Una forma más general y estricta para caracterizar a un campo vectorial A (x, y, z, t) es a través de su divergencia y rotacional en todos los puntos del espacio donde se encuentra definido, y su comportamiento en los límites. Esta caracterización constituye la llamada formulación diferencial de las ecuaciones del campo. La divergencia y el rotacional son dos operaciones diferenciales, cuya expresión veremos más adelante.

Otra forma alternativa de caracterizar un campo, que se deduce de la anterior, es conociendo el flujo de «A» a lo largo de su superficie y la circulación de «A» a lo largo de líneas pequeñas, situadas tanto unas como las otras alrededor de cada punto del campo. Esta caracterización constituye la llamada formulación integral de las ecuaciones de campo.

Esta caracterización de los campos vectoriales mediante su flujo y circulación es más general que la indicada anteriormente cuando caracterizábamos un campo de fuerzas mediante el vector intensidad de campo. Aquéllas definiciones operacionales solo se pueden establecer para los campos citados (gravitatorio y electrostático). En caso de un campo magnético, no se puede dar una definición de la forma de la ecuación de intensidad, y por ello es más general y correcto definir al vector característico de un campo mediante su circulación y su flujo.

Gradiente de un escalar:

En la teoría de campos, resulta de gran utilidad introducir una operación matemática que indica cómo varía de unos puntos a otros la magnitud escalar característica del campo. Pensemos por ejemplo en la temperatura, la presión, la densidad, el potencial… Esta variación debe estar definida mediante un vector, puesto que en general no será la misma en todas las direcciones del espacio. Este vector recibe el nombre de grandiente del escalar en cuestión. Su módulo indica el valor de la variación del escalar en la dirección en la que dicha variación es más rápida. Su dirección es perpendicular a la superficie equiescalar que pasa por el punto donde está definido. Su sentido es el de los valores crecientes del escalar.

Vamos a justificar las afirmaciones anteriores para el caso concreto de las coordenadas cartesianas. Sea un campo escalar genérico Φ (x, y, z), que es una función continua de las coordenadas, derivable, cuyo valor está perfectamente determinado en cada punto «P» del espacio. Deseamos conocer cómo varía esta función en un desplazamiento «dr» del punto. Si llamamos «r» al vector de posición del punto «P«, al considerar otro punto «Q» tan próximo a «P» como queramos, de coordenadas: (x + dx, y + dy, z + dz), la función Φ (x, y, z) experimentará una variación al pasar de «P» a «Q» dada por:

, que se puede escribir en función de las derivadas parciales:

Siendo el primer miembro la derivada direccional de Φ según la dirección dada por «dr0«, nos da la variación del escalar por unidad de longitud.

Llamaremos entonces gradiente de la función escalar Φ al vector:

, o sea que:

, esto es, la derivada direccional es la proyección del vector gradiente en dicha dirección.

, la derivada direccional va tomando distintos valores según el valor del coseno y será máxima cuando valga «1», donde el gradiente es paralelo a «r0«. Si vamos de una superficie de nivel «Φ1» a otra «Φ2», la variación de la función escalar es máxima cuando varía según la normal. El módulo del gradiente coincide con la derivada direccional máxima.

Tomemos ahora dos puntos pertenecientes a la misma superficie de nivel e infinitamente próximos. Sea «dl» el vector según esa dirección, que será tangente a esa superficie. La variación de Φ al pasar de «P1» a «P2» evidentemente será nula, ya que el gradiente y «dl» son perpendiculares.

El gradiente es una función vectorial puntual deducida de una función escalar puntual, y se representa por:

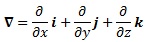
El símbolo del gradiente conoce con el nombre de operador nabla, que fue introducido por Hamilton y definido como:

Circulación de un campo vectorial:

Sea una región del espacio donde existe definido un campo de vectores «A«; tomemos un curva cualquiera «MN«. Por definición, se llama circulación «c» del vector «A«, a lo largo de la curva «MN«, a la integral curvilínea:

Consideremos el caso particular en que el vector «A» sea el gradiente de una magnitud escalar U (,x, y, z), es decir:

, resulta entonces:

Introduzcamos ahora una función escalar V (x, y, z) tal que:

, se tiene entonces:

, y si la curva es cerrada, sucede que:

, ya que el punto inicial sobre la curva coincide con el final. La función «V» recibe el nombre de potencial del campo de vectores y al campo de vectores que se obtiene a través del gradiente del potencial cambiado de signo, se dice que deriva de un potencial. De todo esto podemos concluir que:

  • Es campo es igual al gradiente del potencial cambiado de signo.
  • La circulación a lo alrgo de una curva es independiente del camino seguido y sólo depende de los extremos de dicho camino.
  • La circulación a lo largo de una línea cerrada es nula.

La ecuación:

representa una superficie llamada equipotencial porque en todos los puntos el potencial tiene el mismo valor. Se deduce inmediatamente para las superficies equipotenciales que el campo obtenido a través de su gradiente es normal a ellas. Así, supongamos que nos desplazamos sobre una de dichas superficies en una dirección «dl«:

, dado que «gradU» y «dl» son prependiculares.

En cuanto a la dirección del campo «A«, hagamos la siguiente consideración: sabemos que el sentido del gradiente es el de potencial creciente, y como:

, el campo «A» tendrá sentido contrario, es decir, el campo estará dirigido hacia potenciales decrecientes.

Flujo de un campo vectorial:

Toda superficie se puede representar en el espacio como un vector cuyo módulo es igual al área, la dirección es perpendicular a la misma, y el sentido a favor de la regla del tornillo, tal y como se halla predefinido.

Consideremos un punto «P» situado en una superficie donde exista un campo de vectores «A«. Por definición, llamamos flujo elemental del campo a través de la superficie a la expresión:

Cuantitativamente, «φ» representa el número de líneas de campo que atraviesa dicha superficie.

Si la superficie es cerrada y calculamos el flujo a través de ella este flujo podrá ser positivo, negativo o nulo. Si el flujo es nulo, el número de líneas de campo qeu entran es igual al número de líneas que salen.

Divergencia:

La divergencia de un vector es el límite de su integral de superficie por unidad de volumen, a medida que el volumen encerrado por la superficie tiende a «0»:

, donde «dV» es un volumen infinitesimal limitado por una superficie infinitesimal. Despejando «dV» e integrando:

Ésta última ecuación de conoce como Teorema de Gauss o de la divergencia.

Si al calcular la divergencia en un punto, ésta resulta ser positiva, ese punto se considera manantial, y si resulta negativa, ese punto es un sumidero, y si resultase neutra en todos los puntos del campo, el campo se dice que es solenoidal.

Si:

, entonces:

, cualquiera que sea la forma y tamaño de esta.

Puede suceder que la divergencia sea nula en unos puntos y en otros no. En este caso el flujo total puede resultar distinto de «0».

El flujo de la superficie cerrada no depende de la forma y tamaño de la superficie, depende únicamente de las regiones no solenoidales del interior «Vi».

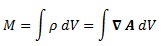
Dado que las líneas vectoriales han de surgir o terminar en las citadas regiones solenoidales, es posible introducir la imagen física de que el campo vectorial ha sido debido a una alteración de las propiedades de homogeneidad del espacio, por el hecho de haberse situado en dichas regiones no solenoidales , rellenándolas totalmente de un agente denominado magnitud activa o creadora del campo, cuyo valor en cada una de las regiones coincide con su correspondiente flujo total. Así, se mide la magnitud activa existente en una región no solenoidal por la relación:

, donde «M» representa la magnitud activa.

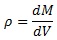
Dentro de cada «Vi» puede haber una distribución uniforme o no con la magnitud activa, y definimos densidad volúmica de magnitud activa por la expresión:

, de donde:

, de donde se obtiene la ecuación de continuidad:

Si suponemos que el campo «A» deriva de una función potencial a través del gradiente:

obtenemos la ecuación de Poisson:

La integración de esta última función potencial «V» del campo vectorial «A» si es conocida la distribución ρ.

En las regiones solenoidales de «A«, donde «ρ = 0», la ecuación se reduce a la ecuación de Laplace:

En estas ocasiones se dice que el potencial es armónico.

Rotacional de un campo vectorial:

Consideremos una región del espacio en la que está definido un campo de vectores, y supongamos dentro de esa región una superficie «S» delimitada por una línea cerrada. Dividamos «S» en pequeñas superficies parciales tan pequeñas como queramos, y la circulación «C» a lo largo de la línea contorno será igual a la suma de las circulaciones interiores a lo largo de los contornos de las superficies «Si».

Disminuyendo el tamaño de las «Si», llegará un momento en que tengamos tan solo un punto. Por definicón, la componente del rotacional «A» (rotA) en la dirección del vector unitario «n» normal a la superficie es el límite de la integral de línea por unidad de área a medida que la unidad de área tiende a «0»:

, despejando «dS» e integrando obtenemos el Teorema de Stokes:

La circulación del rotacional a través de una superficie es igual a la circulación de «A» sobre la línea de contorno que delimita dicha superficie:

Si el rotacional de «A» es «0» en todos los puntos del espacio, el campo se dice irrotacional.

Campo conservativo:

Si deriva de un potencial a través de su gradiente, teniendo en cuenta que el rotacional del gradiente es nulo, el rotacional de todo campo conservativo será también nulo.

Categorías:Carrera, Física

3 respuestas »

Preguntas, correcciones y debate son bien recibidos.