Los números complejos se caracterizan por tener una parte real «a» y otra imaginaria «b». La parte imaginaria indica el número de veces que aparece el número imaginaio «i»:
El conjunto de los números complejos s denomina «C».
«C» cumple los axiomas de cuerpo.
En «C» no se cumple la relación de orden definida para los números reales.
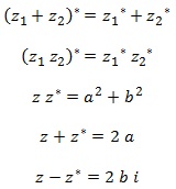
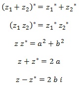
Dado un número complejo:
el número complejo conjugado de «z» es:
, y se cumple que:
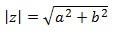
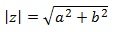
Módulo o valor absoluto de un número compejo:
Podemos representar números complejos en una gráfica si ubicamos la parte real en el eje «x» y la parte imaginaria en el eje «y», obteniéndose varias relaciones elementales:
La ecuación de Euler, además, implica que:
Esta ecuación es muy especial para los matemáticos más emotivos, ya que para un ángulo de π radianes implica que:
, y en resumen:
Esta ecuación es considerada una de las más bellas de la matemática, ya que implica a los dos números más basicos, que son el 1 y el 0, a los tres números especiales «π», «e» e «i», una operación tan elemental como es la suma y la igualdad.
Visto esto, un número complejo se puede expresar de varias formas:
El argumento de un número complejo es el valor de su ángulo α.
Teorema Fundamental del Álgebra:
Un polinomio de grado «n» con coeficientes reales tendrá «n» raíces que pueden ser reales y/o complejas, y las complejas aparecen siempre como pares conjugados. Todo polinomio tiene solución.
Categorías:Carrera, Matemáticas











Estaba estudiando para una prueba… y encontre la página
Me encanto, tiene muchisimos temas y muy interantes =D
Mira qe bien!!! Estaba estudiando los complejos y necesitaba un poco más de información y por casualidad encontré esta página. Sencillamente me encanta XD.
Muchas gracias por postear este tema. Saludes
Esta bien y me agrada… pero igual y si le hace falta explicación un poco detallada!!
Bueno SALUDOS desde Reynosa :)
jit
Necesitava analizar la formula de euler y lo que encontre en la pagina muy interesante.
Buscaba mas informacion sobre los números complejos y so forma de representación , aquí encontre excelente ayuda
e^ix=cosx+i senx , es por definición, no se deduce de nada.
El Teorema Fundamental del Algebra lo demostro Gauss y no Euler
Miguel, la fórmula de Euler se deduce de las series de Taylor del seno y del coseno en el momento en que introduces el concepto de número imaginario.
Por otra parte, en ningún sitio he dicho que el Teorema Fundamental lo inventase Euler.
Excelente página
Gracias :)
Soy muy aficionado a las matemáticas y tengo la carrera de ciencias Empresariales plan 1980/90, soy una persona madura de 73 años.
Y me ha gustado mucho la explicación sobre un tema tan complejo y valga la redundancia de la forma Polar y la famosa ecuación de Euler.
José Sntonio