Carrera

Cinemática: movimiento rectilíneo y circular, espacio y ángulo recorrido, velocidad, aceleración centrípeta, aceleración tangencial, movimiento angular, componentes radial y trasversal…

La cinemática estudia movimientos sin tener en cuenta su causa.

movimientoCuando un cuerpo se mueve, ocupa en cada instante un lugar determinado. La cinemática estudia desplazamientos y tiempos. Se la puede considerar una geometría a la que se le ha añadido el parámetro tiempo.

Llamamos punto material a un cuerpo de dimensiones despreciables comparadas con la del fenómeno estudiado.

Al suponer los cuerpos como puntuales hacemos abstracción de su forma, y por tanto solo existe la traslación.

Se estudia la cinemática desde el punto de vista clásico: una partícula ha de seguir un camino al que denominamos trayectoria. Así, la trayectoria se puede definir como el lugar geométrico de las sucesivas posiciones ocupadas por la partícula en su movimiento.

Para decir que una partícula se mueve hemos de considerar sus posiciones en instantes distintos, para lo cual es necesario elegir un sistema de referencia. Si el sistema de referencia puede considerarse inmóvil, decimos que estudiamos el movimiento absoluto de la partícula. En caso contrario, el movimiento es relativo.

trayectoriaUna vez elegido el sistema de referencia, la posición de un punto quedará determinada mediante un vector al que denominamos vector de posición, pudiendo considerarse la trayectoria de la partícula como la curva que describe el extremo de dicho vector.

El movimiento de un cuerpo queda definido cuando se conoce la ecuación de la trayectoria, que generalmente puede darse de dos formas diferentes:

  • Se fija la posición del punto material y se van expresando sus posiciones respecto al tiempo.
  • Cuando tengo el espacio en función del tiempo.

Si tanto en un caso como en el otro suprimimos el tiempo queda la trayectoria.

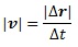
Consideremos una partícula que se desplaza con una trayectoria cualquiera. Se define la velocidad promedio como:

, y la velocidad instantánea como:

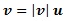
Si la descripción geométrica del movimiento viene dada como función de la trayectoria, definimos velocidad media escalar o celeridad media como:

, y la celeridad como:

, cumpliendose que:

, siendo «u» un vector unitario tangente a la trayectoria.

Si por un punto arbitrariamente elegido se trazan vectores equipolentes a la velocidad instantánea en cada punto de la trayectoria, se obtiene una curva continua determinada por los extremos de dichos vectores denominada nodógrafa del movimiento.

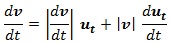
Por lo general, la velocidad y la celeridad varían de un instante a otro, por lo que es interesante estudiar dicha característica. Definimos aceleración promedio como:

, y la aceleración instantánea como:

Movimiento en un plano:

movimiento-coordenadoDada la figura adjunta, donde «r» es el vector posición, «ur» el vector unitario de posición, σ el ángulo del vector posición con respecto al eje OX y «uo» el vector unitario trasversal, se cumplen las siguientes ecuaciones:

Siendo «i» y «j» los vectores unitarios de los ejes OX y OY, respectivamente.

Sustituyendo:

, y sacando factor común:

Análogamente:

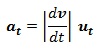
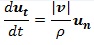
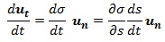
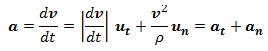
movimiento-circularDada la nueva figura, donde «C» es el centro de la curva descrita por el móvil en su trayectoria, «P» la posición del móvil, «OP» el vector de origen «C» y extremo «P«, «ρ» el módulo de dicho vector (también conocido como radio), «P‘» la posición de la partícula después de desplazarse, «v» el vector velocidad en el punto, «v» la celeridad, «ut» el vector unitario tangente a la trayectoria del móvil, «σ» el ángulo de desplazamiento, «un» el vector unitario del radio y «s» espacio recorrido.

En trayectoria circular, el vector posición respecto al centro de la circunferencia es constante.

, de donde derivando respecto al tiempo:

, y como:

llegamos a:

Conclusiones:

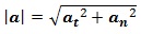
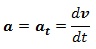
La aceleración tangencial es la derivada de la velocidad tangencial respecto al tiempo.

La aceleración normal o centrípeta es igual al cuadrado de la velocidad dividida entre el radio.

La aceleración total es la suma de la tangencial y la normal:

Movimiento rectilíneo:

  • La celeridad y la velocidad son constantes, por lo que la aceleración tangencial es nula:
  • El radio de curvatura es infinito:

Movimiento rectilíneo acelerado:

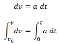
  • De nuevo, el radio de curvatura es infinito, reduciendo la aceleración centrípeta a 0.
  • Esto implica que
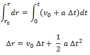
  • Si la aceleración es constante sale fuera de la integral:, y el incremento de velocidad es igual al incremento de tiempo por la aceleración.
  • El espacio recorrido se define del siguiente modo:, de donde sale que:

Movimiento circunferencial uniforme:

  • Como la velocidad es constante, la aceleración tangencial es nula y la aceleración total es igual a la centrípeta o normal.
  • La velocidad angular se define como:
  • La velocidad se define como:, siendo «r» el vector de posición.
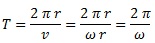
  • Si definimos el periodo como el tiempo que tarda el móvil en dar una vuelta, por definición se cumple que:
  • La frecuencia, que es el número de vueltas que da el móvil cada segundo, medida en rev/s o herzios, se define como:

Movimiento circunferencial uniformemente acelerado:

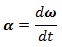
  • La aceleración angular se define como:
  • El resto de integrales angulares son análogas al caso del movimiento uniformemente acelerado.

Categorías:Carrera, Física

1 respuesta »

Preguntas, correcciones y debate son bien recibidos.