El estudio del movimiento de los fluidos es, en general, un problema muy complejo. Las moléculas de un fluido, además de ejercer entre si acciones mutuas de gran importancia, pueden tener diferentes velocidades y estar sujetas a distintas aceleraciones. Por esta razón es necesario tener en cuenta conceptos adicionales al aplicar las leyes de la dinámica a los fluidos en movimiento.
La dinámica de fluidos es una parte de la reología, definida como la ciencia dedicada al estudio de las deformaciones y flujos de la materia. Ésta se divide en dos ramas: la hidrodinámica y la aerodinámica.
En este tema estudiaremos fluidos ideales, es decir, incompresibles y carentes de rozamiento interno o viscosidad.
El movimiento de un fluido está definido por un Campo Vectorial de Velocidades correspondientes a las partículas del flujo, y un Campo Escalar de Presiones en función de la posición y el tiempo, correspondientes a los distintos puntos del mismo.
En cada instante se puede definir en cada punto del espacio un vector velocidad que es el de la partícula fluida que pasa por él en ese momento. El conjunto de todos estos vectores constituyen el campo vectorial de velocidades.
Se denomina Línea de Flujo a la trayectoria seguida por un elemento de un fluido móvil. En general, a lo largo de la línea de flujo, la velocidad del elemento varía tanto en magnitud como en dirección. Si todo elemento que pasa por un punto dado sigue la misma trayectoria que los elementos precedentes, se dice que el flujo es estacionario.
En estado estacionario, la velocidad en cada punto del espacio no varía con el tiempo, si bien la velocidad de una parte determinada del fluido puede cambiar de un punto a otro.
Se define Línea de Corriente como aquélla curva cuya tangente en cualquier punto coincide con la dirección de la velocidad del fluido en dicho punto. Cuando se trata de un flujo estacionario, las líneas de corriente coinciden con las de flujo.
Si se consideran todas las líneas de corriente que pasan por un contorno cerrado «c», estas líneas encierran un volumen denominado Tubo de Corriente. De la definición de la línea de corriente se deduce que no pasa fluido a través de las paredes laterales de un tubo de corriente.
Ecuación de Continuidad:
En un tubo de corriente se cumple la ecuación de continuidad del movimiento en cualquier sección normal al tubo, siempre que la densidad sea constante, y dice que en cada sección «S» del mismo, el producto de su superficie por la velocidad del fluido en su interior es constante:
Ecuación General del Movimiento de un Fluido:
Como demostramos en el tema anterior:
, siendo «ρ» la densidad del fluido, «f» la fuerza por unidad de masa y «P» la presión.
En la estática de fluidos:
, y en la dinámica de fluidos, en cambio:
, siendo «a» la aceleración del sistema.
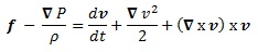
A través de un complejo cálculo matemático, se llega a que:
, expresión conocida como la Ecuación de Euler. No confundir con la otra ecuación de Euler de los números complejos.
A partir de esta ecuación, si suponemos un régimen estacionario donde «v» es constante, donde el fluido es «no viscoso», y el cual se ve perturbado únicamente por un campo gravitatorio, obtenemos que:
, siendo «V» el potencial gravitatorio:
; y finalmente:
Si sustituimos en la ecuación de Euler, multiplicamos todo escalarmente por «dl» y simplificamos, llegamos al Teorema de Bernoulli:
, que dice que a lo largo de una línea de corriente, la suma de la presión hidrostática, la cinética (debida a la velocidad) y la estática (debida a la altura) es constante.
Aplicaciones del Teorema de Bernoulli:
- Teorema de Torricelli: si a un recipiente que contiene un fluido se le abre un pequeño orificio, dado que las presiones son idénticas en la superficie y la velocidad de escape por el orificio es mucho mayor que la otra, haciéndola despreciable, se obtiene que la velocidad de escape es:
Se llama Gasto o Caudal al producto de la sección por la velocidad del fluido en la misma. - Tubo de Venturi: mediante una disminución gradual en la entrada se reduce la turbulencia, porque la presión del fluido disminuye con la superficie de la sección.










ESTA BUENO ME SIRVIO PARA MI TTAREA
Gracias, es un muy buen documento
gracias muy buen contenido
pZ la neta esta mUy bien este articUlO y me ayUdO muchO cOn mi tarea..graCias..
atOo:badgirL….
u_U
buy buen istrumento para todads las personas y jovenes
Disculpa, pero leyendo el White, de mecanica de los fluidos, la definicion entre linea de flujo y linea de corriente es la inversa a la que tu tienes. ¿Por que es esto?¿Cual es la correcta?
Si te digo la verdad ni idea. Aquí puse lo que me dijeron en clase. Puede que, como tantas otras cosas, en cada sitio se use una definición y haya que saber la que se usa donde lees.
Sinceramente para un nivel universitario no esta completo , colocas conceptos básicos no das ejemplos y solo proporcionas las fórmulas ; sin explicación del origen .
Hola, esta entrada es prácticamente un calcado de los apuntes de clase que nos dieron en 1º. Tiempo después publiqué esta otra, aunque supone un salto de nivel bastante grande: