La física de fluidos es conocida por la gente metida en el mundillo por ser una de las ramas menos productivas a nivel teórico de toda la física. Ello es debido a que la ecuación tensorial más general con la que podemos describir su movimiento, la de Navier-Stokes, es irresoluble hasta la fecha salvo para circunstancias muy sencillas. De hecho, ni siquiera los métodos numéricos para resolver ecuaciones aproximadamente llegan a ninguna conclusión enfrentándose a ella.
En esta entrada construiremos matemáticamente y a partir de la lógica experimental dicha ecuación pasando por entretenidos conceptos tensoriales como la contracción de matrices y la isotropía tensorial, ¡que serán de suma relevancia para la electrodinámica y la relatividad general! Para los más curiosos, la ecuación de Navier-Stokes está mucho más vinculada a la relatividad general conceptualmente de lo que pueda parecer en un principio. Una vez obtenida nuestra ecuación, la someteremos a las condiciones más sencillas para recuperar la archiconocida ecuación de Bernoulli que ya vimos en una entrada anterior hace un par de años.
Por exceder lo que me interesa, no consideraré rotaciones dentro del fluido en ningún momento.
Ecuación de continuidad:
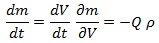
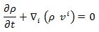
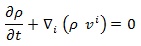
Nos interesamos inicialmente por un volumen V que contiene una masa m de fluido en su interior. Dicha masa se moverá según su ubicación espacial según un campo vectorial de velocidades v definido en cada punto del fluido (y en principio dependiente del tiempo). Si queremos conocer la variación de masa en el interior de nuestro volumen con el tiempo, tendremos que considerar cómo se mueve el fluido en su interior. Es fácil analizarlo con la regla de la cadena:
Aquí hemos considerado la densidad ρ del fluido y el flujo o caudal Q del mismo, definidos con las derivadas parciales que los preceden. El signo ‘-‘ aparece porque el flujo en realidad se define como el opuesto de la derivada del volumen de agua con el tiempo. Es importante indicar de Q no representa la variación del volumen en el que está contenido el fluido, sino la variación volumen de fluido dentro del volumen que consideramos al principio. Si Q es positivo, de la ecuación se deduce automáticamente que la masa de agua encerrada disminuye (está saliendo), y si es negativo aumenta (está entrando). Como las unidades coinciden perfectamente y la idea física es evidente, podemos definir el caudal como el flujo del campo de velocidades sobre la superficie que rodea al volumen que contiene al fluido. Esto, según la teoría de campos, nos permite emplear el teorema de la divergencia para llegar a una expresión para la divergencia del producto de la densidad por el campo de velocidades:
, donde he empleado el convenio de sumación de Einstein para representar los productos escalares y A es el vector superficie. Podemos definir el producto de la densidad por el campo de velocidades como densidad de momento lineal o, por abreviar, momento lineal. En realidad, en física de fluidos siempre nos va a interesar más trabajar con «densidades de» que con las propias magnitudes. Así, la idea a la que hemos llegado con esta ecuación es sencilla: la divergencia del momento lineal integrada sobre un volumen V nos da la variación de masa sobre dicho volumen con un error de signo. Ahora podemos derivar parcialmente ambos miembros con respecto al volumen:
, y finalmente obtenemos la ecuación de continuidad:
, que representa la misma idea de la ecuación inicial de un modo mucho más elegante: la variación temporal de la masa (o densidad de masa) siempre se compensa con la divergencia del momento lineal. Si la divergencia del momento lineal es positivo tenemos un manantial de fluido, y si es negativo tenemos un sumidero. Por si a alguien le resulta difícil adaptarse a la notación, expondré las primeras ecuaciones importantes también en su forma vectorial:
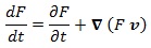
Si consideramos una función genérica F que pueda depender tanto del tiempo como de las coordenadas espaciales podemos redefinir su derivada total con respecto al tiempo según sus derivadas parciales:
, donde x representa la posición espacial y su derivada temporal la velocidad del fluido que se encuentra en ella, es decir, el campo de velocidades v:
Si consideramos ahora que no hay fuentes ni sumideros (divergencia nula) podemos obtener una relación entre las derivadas interesante:
, que nos permite reescribir la derivada total como:
A esta forma de obtener la derivada temporal total de una función se la denomina derivada sustancial. Y, recordemos, tiene la limitación de que requiere que la divergencia de v sea nula en el tramo que se utilice.
Fuerzas sobre el fluido:
.-Fuerza gravitatoria:
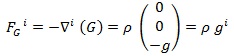
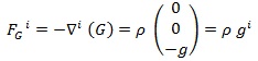
Podemos definir la (densidad de) energía potencial gravitatoria actuando sobre el fluido con la ecuación:
, donde g representa la aceleración gravitatoria supuesta constante, y la tercera componente de x está asociada a la altura. (Recordemos que en notación de Einstein el número encima del vector indica índice contravariante y no «elevado al cubo»). A partir de aquí por definición podemos sacar la (densidad de) fuerza gravitatoria sobre el fluido:
, donde de paso hemos introducido el vector g con el que reescribir vectorialmente la ecuación:
Cuando tenemos un diferencial de volumen de fluido, por ejemplo, con forma de cubo, sobre cada una de sus caras podemos tener una fuerza perpendicular y dos contenidas sobre ellas. Así pues, sobre cada cara podemos considerar un vector de fuerza neto, cuyo producto escalar con cada dirección indique la fuerza resultante.
Además, para que el sistema no se deforme, es evidente que las caras opuestas deberán poseer vectores de fuerza opuestos, lo que nos garantiza una cierta simetría. Al tener un cubo 6 caras, si las fuerzas sobre las opuestas se relacionan antisimétricamente, tenemos 3 caras por ahora independientes, cada una con su propio vector de fuerza, que generaremos a través de la expresión:
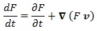
, donde * indica que la fuerza está expresada en Newtons (nosotros queríamos densidades de fuerza, no fuerzas). T aquí representaría el tensor de tensiones del fluido (de rango 2), que al contraerse con el vector superficie A nos daría la fuerza que queríamos obtener. En el último paso de la ecuación hemos empleado el teorema de la divergencia de nuevo. De aquí podemos despejar el tensor de tensiones:
Como al cambiar de signo x hemos comentado que *FT también cambia de signo llegamos a la conclusión de que el tensor debe ser simétrico, y por tanto diagonalizable. Existe una base de autofuerzas que actúan sobre el diferencial de volumen, evitando las tensiones transversales. Este resultado de simetría es de vital importancia para simplificar cuentas posteriormente.
.-Fuerza debida a la tensión:
A partir de lo obtenido, si queremos la densidad de fuerza debida a la tensión sobre el fluido simplemente tenemos que derivarla respecto al volumen:
Finalmente concluimos que la fuerza interna del fluido tendrá su origen en el gradiente del tensor de tensiones.
Momento lineal y balance de fuerzas:
A partir de la definición de momento lineal que ya llevamos considerando un rato, y en virtud de la segunda ley de Newton, podemos decir sin problema que la derivada temporal de este debe ser idéntica a la suma de las fuerzas que actúan sobre el fluido:
, donde evidentemente a es el campo vectorial de aceleraciones en el fluido. Como tenemos definidas ya las fuerzas que van a actuar sobre nuestro fluido, además, podemos sustituirlas para obtener la ecuación del balance de las mismas sobre el fluido:
Sin embargo, tenemos el problema de que con lo que llevamos no tenemos ni idea de la forma del tensor T, por lo que debemos buscar alguna forma de definirlo. Efectivamente, se puede pensar que ya está definido en virtud de la ecuación con la que apareció anteriormente, pero definir las tensiones según las fuerzas, teniendo en cuenta que las fuerzas son lo que queremos calcular no tiene sentido. Necesitamos recurrir a algo más elemental.
Tensiones en reposo e isotropía de tensores:
Salta a la vista que si el fluido está en reposo, no debería haber ninguna dirección preferente para sus tensiones internas: las fuerzas de tensión deberían ser idénticas en todas direcciones. Cuando una magnitud tensorial es invariante frente a rotaciones (la gires hacia donde la gires vale lo mismo) decimos que es isotrópica (ya comentamos por encima la isotropía del universo).
Pensemos por ejemplo en un tensor de rango 2 (matriz de filas y columnas). Si yo quiero girarlo según la matriz de rotación ROT tendré que realizar la siguiente operación:
Para expresar esto tensorialmente asumimos que si el índice contraído es el covariante la matriz empleada es la inversa. Además, añadiremos ya la condición de que queremos que T’ sea idéntica a T para cualquier matriz de rotación:
, donde δ representa la delta de Kronecker (en este caso matriz identidad). Ahora tenemos que hacer una reflexión que nos ahorrará demostraciones matemáticas. Si yo tengo una matriz que tiene la propiedad de que rotarla es exactamente igual que multiplicarla por la identidad, evidentemente no estoy ante un tipo de matriz cualquiera. Tenemos una matriz multiplicada a la derecha por ROT y a la izquierda por su inversa. Esto por nuestra condición debe ser idéntico a multiplicarla por δ, lo que quiere decir que es como si T conmutara con ROT y cambiasen sus posiciones en la ecuación. Una vez intercambiadas estas matrices, el producto de ROT con su inversa es automáticamente δ por definición. Recapitulando: para que T sea isotrópico debe conmutar con TODAS las posibles matrices de rotación. ¿Y cuáles son las únicas matrices que conmutan con todas las demás? ¡Las diagonales! Un tensor T isótropo de rango 2 debe cumplir por definición estar diagonalizado siempre:
Ya sabemos que nuestro tensor de tensiones en reposo es diagonal. Ahora bien, ¿cuál debe ser el valor de λ que le asignemos a su valor? Dado que sobre un fluido en reposo lo único que actúa es su presión interna p, ese es el valor que necesitamos. Además, le cambiaremos el signo según el criterio termodinámico de transferencia de energía:
Conseguimos así nuestra primera aproximación al tensor de tensiones.
Tensiones dinámicas:
Si el fluido no está en reposo, que será lo más habitual, debemos sumar a T un tensor de tensiones de viscosidad σ que por la definición de T será también simétrico y, por tanto, diagonalizable. Esto nos deja la ecuación de la siguiente forma:
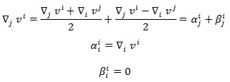
Dado que el nuevo tensor σ surge del movimiento de fluido, es asumible que tendrá su origen en el desnivel en v. Si no existiese este tensor v sería constante en todo el espacio en el que se mueve el fluido, pero por desgracia para el cálculo sabemos que no es así. Consideremos entonces el producto tensorial del gradiente con v, y descompongámoslo en sus partes simétrica α y antisimétrica β:
El motivo por el cual hemos tomado la parte simétrica y la antisimétrica es que por definición σ era simétrico, y por tanto no debe estar relacionado de ningún modo con β. El hecho de que la contracción total de α sea la divergencia de v, asimismo, también es importante, por lo que conviene recordarlo para venideras cuentas.
.-Tensor de viscosidad:
Visto el tensor α, podemos definir σ como:
, donde K sería el tensor de viscosidad (parecido al tensor de curvatura de Riemann en relatividad general). Este tensor es de rango cuatro (una matriz de matrices), y contraido con α da el tensor de fuerzas de viscosidad σ. Una contracción total de dos matrices es la suma de los elementos de la diagonal (la traza) del producto entre ambas. Una contracción de un tensor de rango 4 con uno de 2 es contraer totalmente cada una de las matrices internas de K con α dejándolas en la misma posición ahora como escalares.
Por consistencia, K debe ser simétrico en sus índices i,j y, además, experimentalmente se asume que es isótropo. ¿Y qué es exactamente un tensor isótropo de rango 4? Pues si un tensor isótropo de rango 2 era una matriz diagonal, uno de rango 4 será una combinación lineal de productos tensoriales de matrices diagonales de la forma:
Además, como los índices i,j deben ser intercambiables por simetría, es necesario que μ sea idéntico a γ. Gracias a esto reducimos un poco el tamaño de la ecuación:
, donde hemos respetado los índices que acompañaban a γ porque podemos y por conveniencia. Ahora que ya tenemos K podemos redefinir σ:
Si llevamos esto a la ecuación del tensor de tensiones que era la que queríamos obtener:
Como la ecuación a la que hemos llegado resultaba poco intuitiva fue un reto intentar mejorarla, y Stokes tuvo claro qué se debía hacer. Empecemos contrayendo totalmente T:
Según la visión de Stokes, no tenía ningún sentido que la traza de T dependiese de los coeficientes de viscosidad, porque eso supondría una extraña torsión interna. Lo correcto sería que dependiese sólo de la presión, de forma que al obtener la traza la viscosidad fuese irrelevante. Haciendo esto, la traza de T se convierte en un invariante de gran importancia en la física de fluidos. Decimos pues que la hipótesis de Stokes es:
, y esto nos deja T de la forma:
, y μ pasa a ser el único coeficiente legítimo de viscosidad, que despejando se medirá en Pa*s.
.-Tensiones de cizalla:
Supongamos por ejemplo que tenemos media tubería cilíndrica a lo largo del eje 2, y que en su interior se mueve un fluido únicamente con velocidad en dicho sentido, y que dicha velocidad varía con la altura 3 a medida que ascendemos. Gracias al tensor de tensiones, podemos conocer la tensión que existe sobre el fluido debido a este gradiente:
En la ecuación, δ se anula por no coincidir los índices, la divergencia también por no haber fuentes ni sumideros. Finalmente, nos quedamos con la única derivada que existe, que es la de la componente 2 de v a lo largo del 3er eje. La tensión de cizalla resulta ser el producto de la viscosidad por la variación de la velocidad con la altura.
Navier-Stokes:
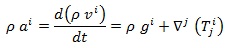
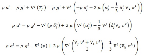
Y con todo lo visto ya estamos preparados para obtener LA ECUACIÓN de la física de fluidos, que no es otra cosa que sustituir nuestro tensor T en la ecuación del balance de fuerzas:
Ahora, si consideramos que la divergencia de v es nula:
La ecuación de Navier-Stokes nos dice que la fuerza sobre el fluido es igual a la fuerza gravitatoria, menos el gradiente de presión en el fluido, más el producto de la viscosidad con el laplaciano de v. Si alguno de los lectores es capaz de demostrar que para unas condiciones iniciales dadas tan sólo hay un campo de velocidades v que resulte solución de la ecuación le espera una generosa recompensa.
Energía:
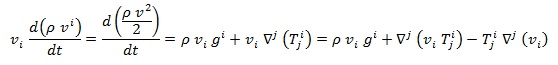
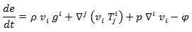
En relatividad especial vimos que había una cierta relación entre el momento lineal y la energía a través de la velocidad de la luz. Esta relación era equivalente a la que podíamos encontrar entre posición y tiempo. Si derivamos ambas magnitudes totalmente sobre el tiempo, obtenemos respectivamente la fuerza y la potencia. Ahora bien, tenemos una ecuación para hacer un balance de fuerzas:
y por tanto, si multiplicamos dicha ecuación escalarmente por la velocidad, obtendremos la ecuación del balance de potencias del sistema:
, donde en el último paso se ha tenido en cuenta la derivada del producto al sustituir.
.-Potencia de deformación:
El último término del balance de potencias se conoce como potencia de deformación por tener su origen en el gradiente de velocidades (deformación de v), y con lo que sabemos de T podemos darle una forma más precisa:
, donde φ representa por simplificar la potencia disipada por la viscosidad.
.-Potencia cinética y gravitatoria:
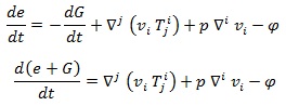
Si consideramos ahora la (densidad de) energía cinética en el sistema como e, podemos reescribir el balance de potencias como:
, y además podemos definir rápidamente la potencia gravitatoria como:
, debido a que la derivada parcial temporal de G es nula por no depender del tiempo. Afortunadamente, este término lo tenemos en la ecuación del balance de potencias, lo que nos permite escribirla definitivamente como:
La potencia cinética y la gravitatoria se invierten en términos que dependen del tensor T, de la presión y de la viscosidad. Esta ecuación no es exactamente análoga a la de Navier-Stokes porque en ella habíamos considerado divergencia nula, y en esta es evidente que no porque nos ha quedado en la expresión final.
Bernoulli:
Retomemos ahora para concluir una de las ecuaciones más elementales de la física de fluidos, y mientras lo hacemos veremos todas las aproximaciones que es necesario hacer.
.-1ª aproximación:
Comencemos partiendo de la ecuación de Navier-Stokes, en la que la divergencia es nula:
Asumamos que en el sistema no hay viscosidad para obtener la ecuación de Euler:
Esta ecuación es interesante porque nos dice que idílicamente si en el fluido no hay aceleraciones toda la fuerza de presión es puramente gravitatoria. De aquí obtendríamos el principio de Arquímedes y semejantes.
.-3ª aproximación:
Si consideramos que la densidad es constante a lo largo del fluido (no compresible), podemos reescribir la ecuación de Euler de la forma:
, en la que hemos expresado a como la derivada temporal de v.
.-4ª aproximación:
Si el sistema no dependiese explícitamente del tiempo (sistema estacionario, siempre igual), podemos escribir la derivada total de v como una derivada sustancial para eliminar la parte que depende del tiempo:
, y este término que nos ha resultado lo podemos modificar sumando y restando por conveniencia de forma que aparezca el tensor antisimétrico β visto un poco antes:
Ahora tenemos que considerar que si el fluido gira, v tiene rotacional no nulo, y de hecho el rotacional de v es la velocidad angular ω. Esto quiere decir que la velocidad angular es el producto vectorial del gradiente con v, y para expresar productos vectoriales con notación tensorial recurríamos al símbolo de Levi-Civita:
Hemos concluido que la velocidad angular es generada exclusivamente por la no nulidad del tensor β en el fluido. Podría centrarme más en esta idea pero mejor será dejar la ortogonalidad de tensores para posteriores entradas. Lo importante es que si asumimos que nuestro fluido no está girando, la aceleración nos resulta de la forma:
Llegados a este punto no hace falta considerar más aproximaciones.
.-Conservación de la energía:
Cambiemos en la ecuación de Euler la aceleración por la expresión que hemos obtenido:
Después de esto nos fijamos en la siguiente igualdad:
Y si llevamos esta última relación a la ecuación de Euler, es evidente la relación:
El gradiente de B, comúnmente llamado el término Bernoulli es nulo, lo que implica que permanece constante en toda la línea de corriente que queramos considerar bajo todas las aproximaciones consideradas. Si nos fijamos, el término Bernoulli representa (dividido entre la masa) la suma de la energía cinética, la potencial gravitatoria y la debida a la presión, por lo que equivale directamente al teorema de conservación de la energía de la física de fluidos.
Categorías:Física














