Dado que de la mayoría de los temas que me han presentado hoy ya han aparecido por este blog, voy a pasar de los repetidos y centrarme en las cosas nuevas de la conferencia de astronomía de hoy.
Tras una presentación sobre la historia de la mecánica celeste, de la cual ya hablé en el enlace de arriba, los datos nuevos e interesantes que tengo que añadir son el modelo cosmológico de Tycho Brahe y las elementos keplerianos para determinar la órbita seguida por un astro, que son perfectamente calculables a partir tan solo de tres observaciones del mismo (aplicando después las leyes de geometría elemental, Kepler y Newton).
El modelo de Brahe, que debemos ubicar entre el de Copérnico y el de Kepler (fue tutor del segundo) tenía la pecualiaridad de seguir siendo Geocéntrico, pese a las anteriores aportaciones de Copérnico. Según Brahe, La Tierra era el centro del Universo, y en torno a ella giraban la Luna y el Sol, girando todos los demás planetas en torno al Sol, con órbitas lo suficientemente grandes o pequeñas como para no chocar nunca con La Tierra. Este modelo, pese a lo rebuscado que pueda parecer, tenía bastante lógica, pues respetaba el Geocéntrico y además concordaba con las observaciones del movimiento de los otros planetas en el firmamento. Sin embargo, tal vez hubiese sido demasiado evidente que si La Tierra también es un planeta debería de girar también en torno al Sol.
Una vez estuvo instaurado el modelo Heliocéntrico y las mencionadas leyes de Kepler y Newton, llegaron los elementos keplerianos de las órbitas, llamados así en honor a Kepler.
Para comprenderlos mejor, primero asegurémonos de que sabemos bien lo que es una elipse tanto teórica como matemáticamente, y para ello partiremos del círculo.
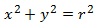
El círculo tiene infinitos ejes de simetría, como todos sabemos, y es por eso que siempre podremos escoger dos de estos ejes que sean perpendiculares para considerarlos nuestros ejes de coordenadas en 2D. Respecto a estos ejes aparecen cuatro fragmentos de círculo que tendrán la misma forma, y por tanto la misma superficie. Dado que si tomamos dos ejes y analizamos el fragmento del eje «x>0» y del «eje y>0» observaremos que la longitud de ambos semiejes es el radio del círculo, y que a medida que avanzamos en uno decrecemos la componente en el otro. Es decir, tienen una relación inversa, que se expresa mediante la siguiente suma:
El cuadrado del radio del círculo será siempre igual a la suma de los cuadrados de las componentes del punto referentes a nuestro sistema. Así pues, si avanzamos «r» en el eje «x», observamos que «y» tiene que valer «0», como efectivamente hace.
Ahora bien, en la elipse ambos ejes se pueden prolongar, y no necesariamesme en la misma proporción, lo que acaba con la simetría infinita y nuestros ejes serán ya los únicos ejes de simetría. Al más grande lo denominamos eje mayor, y al más pequeño lo denominamos eje menor. Si «a» y «b» son las nuevas longitudes de los ejes:
El punto donde se cortan los dos ejes sigue siendo el centro de la elipse, y si analizamos los ejes desde el obtenemos dos semiejes mayores y dos semiejes menores tras dividir los grandes a la mitad en este punto. Si desde cada uno de los extremos del eje menor tomamos la distancia de uno de los semiejes mayores y la llevamos sobre ambos formando un triángulo, obtenemos dos puntos sobre el eje mayor llamados focos, que por construcción cumplen la propiedad de que si a cualquier punto en la elipse se le calculan las distancias a ambos los focos y se suman, el resultado es la longitud del eje mayor.
En conclusión, podemos construir cualquier elipse conociendo al menos dos de los elementos anteriores, pues solo hemos necesitado dos datos (los ejes) para construirla entera. Sabiendo estos detalles, ya podemos comprender mejor los elementos keplerianos.
Supongamos que nosotros, desde La Tierra, queremos calcular la elipse de traslación de otro astro en el cielo, conociendo la posición del astro en torno al cual gira. Para mayor comodidad supondremos que estamos calculando la elipse de Marte en torno al Sol.
El primer dato necesario será la Longitud del Nodo Ascendente. Imaginemonos La Tierra rotando en torno al Sol sobre una elipse contenida en un plano (como siempre), donde el Sol es uno de los focos. Al estar el Sol en un foco, asumimos que si trazamos una paralela al eje menor sobre él cortaremos a la elipse en dos secciones, siendo una mucho mayor que la otra. En lo referente a los puntos de corte, uno será el que lleve a La Tierra a la parte grande de la elipse, y el otro el que la lleve a la parte pequeña (teniendo en cuenta su sentido de traslación). El punto que la lleva a la parte grande podemos definirlo como el Nodo Ascendente o Punto de Aries, y al otro el Nodo Desdendente o Punto de Libra. Recordemos el símbolo «γ» como el Punto de Aries de de La Tierra. Consideremos ahora el plano de traslación de Marte «p1», dentro del cual también podremos calcular el Punto de Aries marciano, al que denominaremos «Ω». Si ahora consideramos los puntos del Sol, «γ», «Ω», sabiendo que son tres determinan un plano, al que llamaremos plano «p2». Dentro de este plano, si desde el Sol trazamos dos vectores, uno que lo una con «γ», y otro que lo una con «Ω», el menor ángulo que formen los vectores será conocido como el ángulo «Ω» también, y será nuestro medio de trasladar cuentas desde «γ» en nuestra órbita hasta «Ψ» en la órbita de Marte, medida en radianes. La Longitud del Nodo Ascendente será la distancia del Sol al punto «Ω».
El segundo elemento, la Inclinación, no es más que el menor de los ángulos de intersección del plano «p1» de Marte con el plano «p2» antes mencionado.
Si consideramos el vector que une el Sol con el Perihelio de Marte (punto más próximo al Sol en órbita) y trazamos su ángulo desde el vector que unía al Sol con el Punto de Aries «Ω», siguiendo el sentido de la ruta del planeta, obtenemos el ángulo «ω», que será nuestro tercer elemento, el Argumento del Perihelio.
Dado que la órbita marciana, como todas, será una elipse, otro elemento será evidentemente el Semieje Mayor, aunque el eje mayor entero, por motivos más que evidentes, también valdrá.
El quinto elemento, la Excentricidad, mide el grado de desnivel entre los ejes de la elipse. Si retomamos la ecuación de la elipse mencionada anteriormente:
, el Excentricidad mediría la relación entre los coeficientes «a» y «b».
Por último, la Anomalía Media de la Época es la que hace referencia a la dinámica del planeta: grados recorridos en torno al Sol, arco desplazado…
En lo referente a los relojes solares se ha tratado la problemática de que según la región en la que se vaya a usar su orientación y sus elementos deben adaptarse a la incidendia de la radiación lumínica, ya que si usamos el mismo reloj solar en el ecuador o en el polo obtendremos resultados dispares.
Así pues, podemos sacar algunos datos a tener siempre en cuenta a la hora de hacer un reloj solar, que son la latitud del punto donde se va a implantar, esto es, su grado de inclinación con respecto al ecuador, y la estación del año, pues el mismo reloj dilataría las horas en verano y las comprimiría en invierno, según el tiempo de Sol diario.
Orientarse con sombras era un buen método de cronometrar en la antigüedad, pero hoy en día los relojes solares ya no son realmente útiles a no ser que alguien esté perdido, puesto que tienen el gran problema de que no aportan información alguna por la noche.
Categorías:Astronomía, Carrera, Física



