La existencia de distintos sistemas de unidades es uno de los principales lastres para muchos estudiantes de física. Personalmente, en más de una ocasión me las he deseado en medio de un examen en el que no me acordaba de la relación entre atmósferas, bares y pascales, o entre candelas y vatios, o entre curios y becquerelios. Si esto ya es frustrante de por sí, para los que no somos muy de hacer cuentas numéricas es mucho peor. En esta entrada veremos 2 sistemas de unidades teóricos con los que incluso se reducen las unidades del internacional, y algunas curiosidades relacionadas con ellos.
El sistema de unidades natural básico:
Como ya vimos en la entrada de la relatividad especial y derivadas, es habitual que en física teórica se obvie por completo la presencia de la velocidad de la luz en las ecuaciones, siendo su valor:
Si además de no escribirla, hacemos como si fuese igual a la unidad todo el rato, tenemos el sistema de unidades natural básico, con el que implícitamente asumimos:
Esto implica que podemos expresar los metros como segundos sin ambigüedad y viceversa:
-¿A qué distancia está esa estrella? -A 5 años.
-¿Cuál es la vida media de esa partícula? -Unos 12 milímetros.
Y que consecuentemente podemos expresar todas las magnitudes habituales suprimiendo uno de los dos, por lo que veremos algunos ejemplos a continuación.
En la siguiente tabla la primera columna indica la magnitud que analizamos, la segunda indica las unidades que suele tener en sistema internacional (L es longitud, T es tiempo y M masa), y la tercera y la cuarta cómo quedarían en unidades naturales básicas si pasamos segundos a metros (3ª columna) o metros a segundos (4ª columna):
Vemos que consecuencias lógicas de este sistema son que la velocidad deja de tener unidades y que masa, momento y energía se expresan con las mismas. Esto es de hecho lo que sucede en la relatividad especial.
El sistema de unidades geométrico:
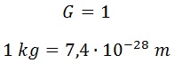
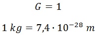
En el ámbito de la gravedad y la relatividad general, aún habiendo suprimido la velocidad de la luz, las ecuaciones siguen estando invadidas por otro término obviable que no es otro que la constante de gravitación universal:
Expresándola tras pasar los segundos a metros dividiendo por la velocidad de la luz al cuadrado:
Y si la igualamos a la unidad generamos automáticamente el sistema de unidades geométrico:
Su nombre procede lógicamente del hecho de que las 3 magnitudes fundamentales se expresan en metros.
En este caso la tabla toma la siguiente forma:
En este caso vemos que además de la velocidad, la fuerza y la potencia dejan de tener unidades.
Sistema de unidades natural:
En el ámbito más directamente enfrentado con la relatividad, la física cuántica, hay otra constante que inunda mucho las ecuaciones y es la de Planck, que en sistema internacional y natural básico es, respectivamente:
Hacer esta constante en lugar de la gravitatoria igual a la unidad genera el sistema de unidades natural, y deja sin ellas al momento angular:
El hecho de que el momento angular se quede sin unidades ya se hace durante los primeros cursos de física cuando uno puede hablar de los niveles de giro orbitales y el spin de los electrones sin hacer ninguna referencia a las unidades de lo que miden:
-¿Cuál es el momento angular vertical / número cuántico l de ese electrón? -3 (constantes de Planck).
Sistema de unidades de Planck:
Los sistemas anteriores se basaban en asumir una cierta constante igual a la unidad por convenio para relacionar otras magnitudes a través de ella. Sin embargo, uno suele acabar preguntándose por qué estas 3 y si realmente hablamos de constantes importantes a nivel fundamental o si son el resultado de otras más básicas.
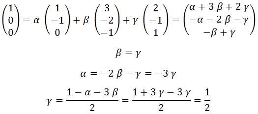
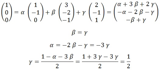
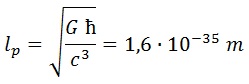
Surge así el intento de obtener una unidad de longitud a partir de ellas conocida como longitud de Planck:
Para obtener los coeficientes α, β, y γ simplemente creamos un «vector» que tenga por componentes la potencia a la que tienen elevados los metros, los segundos y los quilos cada uno y planteamos el sistema de ecuaciones:
Esto implica:
Uno podría preguntarse: ¿y por qué debería depender sólo de esas constantes sin ningún otro factor numérico de por medio? La respuesta es «porque habría que buscarle alguna justificación y olvidar que esto surge de forma gratuita, es decir, por probar«.
Pese a esto, no son pocas las teorías que consideran seriamente la longitud de Planck como un ente primordial apoyándose en ella. En alguna entrada venidera veremos que el intento de calcular con ella la constante cosmológica falla en nada menos que 120 órdenes de magnitud, siendo el mayor fracaso teórico (No obstante, antes de eso habrá que ver lo que es la constante cosmológica).
Otras magnitudes obtenibles a partir de esta idea son el tiempo de Planck que le lleva a la luz recorrer dicha distancia:
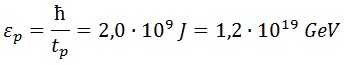
O la energía de Planck asociada a un haz de luz de periodo igual al tiempo de Planck:
O la masa de Planck asociada a esa energía mediante la ecuación de Einstein:
Algunas pseudoaplicaciones de la teoría de Planck:
Lo más habitual disponiendo de las unidades de Planck es intentar deidificarlas otorgándoles roles de la más elevada importancia. En particular, es muy frecuente asumir que su longitud y su tiempo son los más pequeños posibles y que su energía y masa las más elevadas posibles para una partícula. Esto da pie a varias cosas más o menos justificadas:
- La relatividad especial de escala. Es una variante de la relatividad especial que asume que para energías muy elevadas son necesarias correcciones que eviten que la energía aumente por encima de la de Planck. Esto explicaría por qué ningún rayo cósmico de los muchos que llegan tiene energías demasiado grandes.
- La fijación de las condiciones iniciales del Big Bang. Actualmente los modelos cosmológicos no consideran que puedan pronunciarse sobre lo que pasó antes del tiempo de Planck. Esto además está apoyado por el hecho de que se supone que antes de la explosión las 4 fuerzas de la naturaleza eran iguales y la masa de Planck es casi la que hace que la gravedad de una partícula sea más fuerte que su electromagnetismo.
- La teoría de cuerdas. Se asume que las estructuras vibrantes que generan las partículas del universo tienen una longitud y tensiones relacionas con los parámetros de Planck.
Categorías:Física
















¡Me ha encantado! Ha sido muy educativo ya que nunca se me había ocurrido igualar esas constantes a la unidad. Gracias por este post y sigue así!
Gracias por la información, ha sido de gran ayuda para simplificar las ecuaciones relativistas.
Por fin una explicación clara y simple sobre este tema. Gracias Adrián.