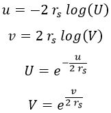
Publicado a las 162 × 165 en Diagramas espacio-tiempo de Carter-Penrose para agujeros negros: coordenadas Kruskal y extensiones analíticas máximas del agujero negro de Schwarzschild y el de Reissner-Nordström.
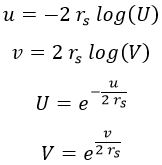
Publicado a las 162 × 165 en Diagramas espacio-tiempo de Carter-Penrose para agujeros negros: coordenadas Kruskal y extensiones analíticas máximas del agujero negro de Schwarzschild y el de Reissner-Nordström.
