Física

Energía de las ondas, espejo plano y un problema bastante simple.

La energía de las ondas se materializa en la energía de las partículas cuyo movimiento organizado constituye la onda, y hay dos modos de calcularla, de los cuales solo vimos uno en esta clase: el de calcular su energía mecánica:

La energía mecánica es igal a la suma de la cinética y la potencial.

La energía potencial gravitatoria se calcula a través de la Simple ley de Gravitación Universal de Newton:

, y la energía cinética de la más que repetida fórmula:

Dado que la primera fórmula es independiente de las características de la onda, todo que da en función de la energía cinética, y ésta, a su vez, de la velocidad trasversal de la onda.

La densidad de la energía cinética pues, se definirá por el cociente entre la energía en si y el volumen que ocupe la onda:

Sustituyendo por la fórmula de la velocidad del movimiento trasversal de una onda senoidal:

llegamos a:

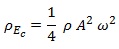
Si se integra la ecuación interior y se divide toda ella entre dos dentro de un periodo T, se obtiene la densidad media:

Si dejamos la velocidad angular en función de la frecuencia:

, se obtiene que:

La energía de la onda es proporcional a los cualdrados de la amplitud y la frecuencia de la misma.

Cuando una persona se mira en un espejo plano, siempre ve la misma cantidad de su cuerpo, esté lo lejos que esté del mismo, siempre y cuando no cambie la altura de sus ojos. ¿Cómo se puede explicar esto?

El sistema de funcionamiento de un espejo plano es simple. Un rayo de luz es emitido por una parte del cuerpo y choca con el espejo en varios puntos, según la inclinación de cada parte del haz. Todos y cada uno de los fotones que hagan esto ebotarán, según la reflexión, con el mismo ángulo que el de incidencia, y alguno de ellos irá a para al ojo después.

Es decir, la distancia y el ángulo desde la rodilla al punto de choque con el espejo tiene que ser igual que la del ojo, y esto solo se cumple si la perpendicular al punto medio entre ambas partes del cuerpo corta al espejo. Consecuentemente, por mucho que te alejes del espejo, si el punto medio entre cualquier parte del cuerpo y el ojo se conserva, la fracción de cuerpo reflejada en el espejo es constante.

La densidad de mosquitos en un estanque es de «ρ» mosquitos/cm3. Si la superficie de la apertura de la boca de un pájaro es de «S» cm2, y éste se desplaza a una velocidad de «v» cm/s, calcular los mosquitos que se tragará en 1 s.

Si suponemos la apertura de la boca del pájaro como circular, el volumen de aire que traga en un segundo vendría dado por:

, el producto de la apertura de la boca por la velocidad y por el tiempo (volumen del cilindro).

Una vez calculado el volumen de aire tragado, el número de mosquitos incluidos en él (nº) se definía por la densidad de mosquitos en el aire:

Categorías:Física, Nivelación

1 respuesta »

Preguntas, correcciones y debate son bien recibidos.