Carrera

Ampliación del sólido rígido: matrices de rotación, ángulos y transformaciones de Euler, velocidad angular, momento angular, tensor de inercia, teorema de Steiner generalizado.

Tiempo después de publicar la entrada introductoria al sólido rígido conceptualmente y para casos sencillos de poca complicación matemática al fin me he decidido a profundizar un poco más en las matemáticas subyacentes a toda esta mecánica de especial complicación (pocos casos se pueden resolver). Vistos ya los conceptos de centro de gravedad y momento de inercia, así como velocidad y momento angular veremos cuánto se pueden complicar al considerar las 3 dimensiones espaciales y todas las posibilidades que estas ofrecen. No usaremos en esta entrada en ningún momento los conceptos comentados de mecánica analítica, por lo que todo el desarrollo será puramente tensorial (vectores y matrices).

Repaso de Conceptos:

En esta entrada vamos a hablar del sólido rígido, cuyas propiedades podemos resumir rápidamente:

  • Se define como el conjunto de puntos materiales o partículas con la peculiaridad de que la distancia relativa entre todos ellas es constante:
  • En caso de que el sólido rígido esté compuesto de un número finito de partículas será discreto, en caso de que el número de partículas sea infinito y no tenga puntos aislados será continuo (en la versión clásica, por supuesto, sabemos bien que no hay sistemas continuos en la realidad cuántica).
  • El centro de gravedad del sólido rígido es la posición media de todas las partículas, ponderada según la masa de cada una. En un sistema discreto:, mientras que en uno continuo:
  • Decimos que el cuerpo está en movimiento sólo si el centro de masas se desplaza, y la suma de las velocidades relativas a este siempre es nula. Tan sólo fuerzas externas pueden alterar dicha velocidad.

En esta entrada analizaremos matemáticamente los distintos giros que puede tener un sólido rígido, llegando a conclusiones mucho más generales que en la anterior entrada sobre este tema.

Giros en el Espacio:

¿Cuántos giros son necesarios como mucho para dejar un sólido rígido orientado de una forma concreta en otra distinta? Para dar respuesta a estar pregunta aparentemente ingenua deberemos recurrir a la matemática combinatoria. En un espacio de 2 dimensiones es evidente que mi sistema físico lo puedo girar hacia un lado o hacia el otro, lo que me garantiza que cualquier rotación la podré hacer mediante un único giro, pero al aumentar las dimensiones este concepto pierde intuitividad.

En un espacio de 3 dimensiones, que será el que usemos en esta entrada, el número máximo de giros necesarios para dejar mi sólido rígido en una nueva orientación es exactamente 3. Intuitivamente, se puede pensar que como existen 3 ejes de coordenadas {x,y,z} cada giro representa la rotación en torno a uno de ellos. Sin embargo, esta lógica vemos que fracasa en 2 dimensiones, donde no por haber 2 ejes hay 2 giros máximos necesarios, y del mismo modo fracasaríamos estrepitosamente si dijésemos que en un espacio de 4 dimensiones cualquier forma de reorientar un cuerpo se puede descomponer en 4 giros más sencillos. Así pues este problema, aunque es sencillo una vez que se entiende, cuando uno lo ataca por primera vez no es de lo más intuitivo que hay en la física.

El número de giros que independientes que se puede dar en un espacio de «N» dimensiones no se obtiene del hecho de que tenga «N» ejes de coordenadas (como acabamos de demostrar), sino del número de combinaciones que podemos hacer entre ellos. La peculiaridad del giro en torno al eje «z» no es que se gire en torno al eje «z», sino que los ejes «x» e «y» están intercambiando componentes. En un espacio de cuatro ejes {x, y, z, t}, no puedo hablar de girar el eje «z» porque carecería de sentido. Interpretar cada giro como la rotación de un eje es una ventaja que sólo nos da el espacio tridimensional. Matemática y físicamente, un giro es el intercambio organizado de las coordenadas entre dos ejes dados, dejando todos los demás constantes.

En 2 dimensiones puedo cambiar el eje «x» con el eje «y», a lo que denominaré «rot(x,y)», lo que me da 1 giro.

En 3 dimensiones puedo hacer «rot(x,y)», rot(x,z)» y «rot(y,z)», lo que nos da un total de 3 giros.

En 4 dimensiones puedo hacer «rot(x,y)», «rot(x,z)», «rot(x,t)», «rot(y,z)», «rot(y,t)» y «rot(z,t)», lo que nos da un total de 6 giros distintos.

Para sacar el número de giros independientes general no tenemos más que fijarnos en que el número de giros en «N» dimensiones es el número de giros que teníamos en «N-1», sumándole «N-1» giros más:

  • En 1 dimensión tenemos 0 giros.
  • En 2 dimensiones tenemos 0 + 1 = 1 giros.
  • En 3 dimensiones tenemos 1 + 2 = 3 giros.
  • En 4 dimensiones tenemos 3 + 3 = 6 giros.
  • En 5 dimensiones tendremos 6 + 4 = 10 giros.

En resumen, el número de giros de «N» dimensiones es la suma acumulada de todos los números hasta «N-1»:

Matrices de Rotación:

Ahora bien, ¿cómo podemos representar cada uno de estos distintos giros matemáticamente? Centrándonos en 2 dimensiones, podemos representar cualquier punto del espacio a una distancia «R» del origen en coordenadas polares como:

Si ahora yo quiero girar este punto un ángulo «φ», lo que estoy buscando es cambiar su expresión vectorial por:

De aquí concluimos que la matriz de rotación que nos da las componentes del nuevo vector respecto a nuestra base original es la matriz:

En caso de haber querido girar en la otra dirección, sencillamente querría tendríamos que cambiar el signo de «φ», y tenemos la ventaja de que como el coseno es una función para le da absolutamente igual, mientras que el seno por su parte al ser impar simplemente cambia de signo:

Hasta aquí tenemos lo que sucede con un vector cuando lo rotamos. Ahora bien, ¿qué sucedería con las componentes de nuestro vector si lo que rotásemos fuese la base que le da las coordenadas? Aplicando los razonamientos de covarianza y contravarianza, sabemos que las componentes de un vector siempre se transforman con la matriz inversa que transformó al vector. Es decir, si consideramos «ROT(x,y,φ)» a la variación de las componentes de un vector por medio de la matriz «rot(x,y,φ)» tenemos la garantía de que ambas matrices son inversas. Y en este caso, la matriz inversa de «rot(x,y,φ)» es «rot(x,y,-φ)», ya que si giro un vector «φ» en un sentido y luego otra vez «φ» en el sentido contrario me quedo como estaba (las matrices se cancelan y por tanto son inversas). En conclusión la matriz contravariante «ROT(x,y,φ)» cumple:

, y esta es la matriz que se conoce como matriz de rotación porque en general es la variación de las coordenadas y no las del vector las que nos interesan. Es interesante comprobar que la única discrepancia que hay es de un signo en los senos.

Una vez que hemos visto esto es fácil convencerse de que el concepto se puede extrapolar rápidamente a 3 dimensiones, que serán las que nos ocupen en esta entrada:

, donde es importante apreciar que siempre dejamos intacta la componente del vector del eje que dejamos quieto. Para componer varios de estos giros sucesivamente tan sólo hay que multiplicar sus matrices pertinentes en orden opuesto (la primera matriz debe ser la última en actuar). El resultado final de estas multiplicaciones son las componentes del vector original en la nueva base de vectores.

Ángulos y Transformaciones de Euler:

En general, para rotar un sólido rígido se usan los 3 ángulos de Euler «φ», «σ» y «Ψ», que consideran 3 movimientos importantes que podemos apreciar como ejemplo típico en una peonza, si suponemos que el eje perpendicular al suelo es el eje «z».

Ahora bien, supongamos que la peonza no está recta, sino que forma un ángulo que ahora mismo nos da igual con el eje «z». Es decir, el eje de simetría de la peonza no se encuentra perpendicular al suelo.

En primer lugar, la peonza girará siempre «φ» alrededor del eje vertical en lo que se conoce como precesión. En caso de que este giro no se realice, la peonza caerá inmediatamente. El hecho de que haya un giro «φ» en torno al mencionado eje garantizará, a su vez, una fuerza centrípeta que comprimirá la peonza al centro del giro, es decir, hacia arriba. Esta oscilación que hace la peonza mientras se decide si sube o se desploma es el ángulo «σ», y se conoce como nutación. Finalmente, el giro «Ψ» de la peonza sobre su propio eje de simetría es lo que se conoce como rotación, aunque corrientemente asociamos rotación a cualquier otro giro sin pensar en el significado técnico.

Otro ejemplo de los ángulos de Euler lo tenemos en La Tierra. La traslación en torno al Sol sería nuestra precesión, las oscilaciones que tiene el eje que une los dos polos sería la nutación y la rotación es bien sabido por todos que es el giro que realiza sobre sí misma.

Si queremos expresar estos tres giros en una ecuación tenemos entonces que recurrir a las matrices que hemos visto anteriormente y componerlas.

En primer lugar, la precesión es un giro sobre el eje «z», por tanto la representamos como:

En segundo lugar, la nutación puede interpretarse como un giro en el nuevo sistema de coordenadas sobre el eje «x», así que:

Para terminar, la rotación es una vez más un giro sobre el nuevo eje «z» tras nutar:

Finalmente, la rotación completa es la composición de las 3 matrices, en la que para simplificar escribiremos coseno como «C» y seno como «S»:

Velocidad Angular:

Podemos ahora intentar introducir la variable temporal en este sistema para tener una dinámica, que al fin y al cabo es lo que veníamos buscando, y para ello tendremos que referirnos a la ecuación que define la velocidad angular «ω«:

Si queremos obtener el vector velocidad angular nos encontramos con el problema de que no podemos despejar vectores, asi que hay que realizar el producto vectorial y resolver el sistema de ecuaciones. Pero antes de nada necesitamos el vector «r» y su derivada temporal para conocer «v«.

Empezaremos pues expresando «r» después del giro:

, y a partir de ahí ya sólo es cálculo. Como las ecuaciones que surgen de ahí son extremadamente grandes optaré por omitirlas y poner directamente el resultado para «ω«, usando el criterio de representar las derivadas temporales con un puntito sobre la variable:

Momento Angular:

A partir de la velocidad angular, en la entrada introductoria habíamos llegado a la conclusión de que el momento angular «L» se podía obtener a partir de la relación:

Sin embargo, esta relación que introducía el momento de inercia «I» llevaba asociado el grave error de suponer que dicho momento de inercia era un escalar, ya que en realidad el momento de inercia veremos enseguida que debe ser un tensor de rango dos.

Tensor de Inercia:

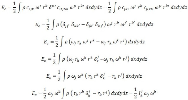
Supongamos que queremos calcular la energía cinética de nuestro sólido rígido. Sabemos que si se mueve y rota su velocidad relativa a un sistema fijo externo es:

Si ahora queremos a partir de aquí calcular su energía cinética clásica, con notación tensorial necesitamos obtener:

El primer término de la suma representaría la energía cinética debida a la traslación, el segundo la debida exclusivamente a la rotación y el tercero sería el efecto interferencial de ambas. Si consideramos ahora que el cuerpo simplemente gira la energía cinética es exclusivamente de rotación, es decir, nos ubicamos en el sistema de referencia del centro de masas, obtendremos toda la energía de rotación de golpe:

Si sumamos este término a la velocidad de centro de masas que mide un observador externo trasladamos perfectamente la energía de todo el sistema.

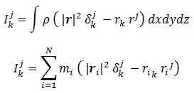
Ahora, usando el tensor de Levi-Civita para expresar los productos vectoriales en el espacio euclídeo y tenemos en cuenta que la densidad volumétrica de masa es «ρ» y depende de «r» llegamos a la expresión buscada que introduce el tensor de inercia:

Aunque hemos supuesto aquí que el sólido rígido era continuo el razonamiento habría sido igualmente válido con sumatorios, por lo que tenemos la fórmula del momento de inercia en ambos casos:

Es importante observar que el tensor de inercia es simétrico en sus índices, y que por tanto, al ser de rango 2 y dimensión 3, sólo posee 6 componentes independientes. Asimismo, por el hecho de ser un tensor, para girarlo es necesario multiplicarlo por la matriz de giro correspondiente y por la matriz inversa, en virtud de la formulación de la transformación de tensores:

El hecho de que sea simétrico, más importante aún, supone que se puede diagonalizar, y que por tanto siempre existe una base de autovectores con respecto a la cual el tensor de inercia es diagonal. Dicha base de autovectores, por construcción, la forman (en caso de que los haya) los 3 ejes de simetría del sistema. En caso de que la figura no tenga tantos ejes de simetría como dimensiones (esto sólo se cumple en el caso de la esfera), los ejes propios maximizarán la simetría del sólido rígido.

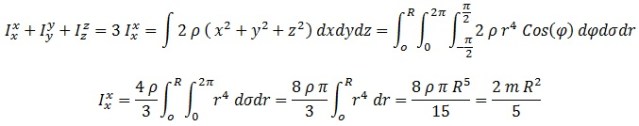
Calcularemos ahora para comprobar que el tensor funciona los momentos de inercia de una varilla respecto a su centro, de un cilindro respecto a su centro, de una esfera respecto a su centro y de la misma varilla respecto a su extremo.

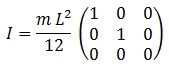
.-Tensor de inercia de una varilla respecto a su centro:

Supongamos la varilla colocada sobre el eje «z» y que tenga una longitud «L» centrada en el origen de coordenadas, de forma que haya media varilla hacia arriba y media varilla hacia abajo. Es importante tener en cuenta que al tener la varilla sólo longitud, debemos integrar sobre una línea y no sobre un volumen, además de trabajar con la densidad lineal «λ» en vez de la volumétrica. Sus ejes de simetría serán los propios ejes {x, y, z}, por lo que deberá quedar diagonal. Las componentes del tensor de inercia serán en este caso:

Podemos observar que efectivamente el tensor está diagonalizado y su tercer autovalor es 0 puesto que la varilla no puede girar respecto al eje «z».

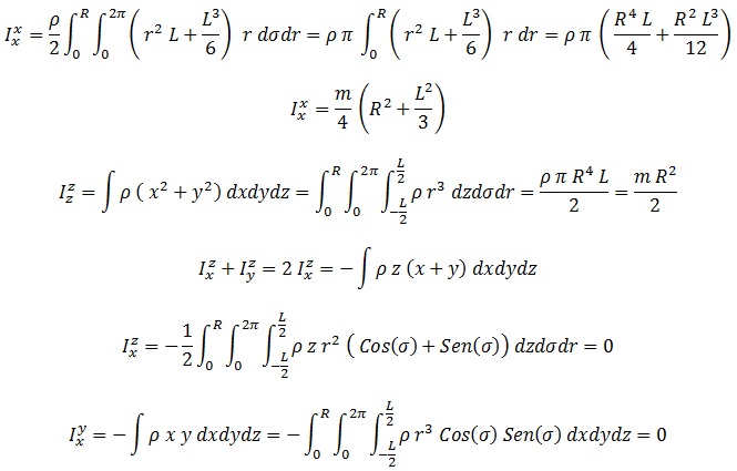
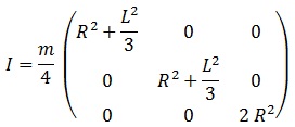
.-Tensor de inercia de un cilindro respecto a su centro:

Supongamos ahora que la varilla anterior tiene un radio «R» de grosor con el que se expande hacia los lados. Su nuevo tensor de inercia se complica un poco y utilizaremos las coordenadas cilíndricas para obtener sus componentes. Por simetría podemos asumir directamente que la componente «xx» será idéntica a la «yy», y que la componente «xz» será idéntica a la componente «yz»:

Aquí una vez más podemos apreciar que el tensor está diagonalizado por referirlo a sus ejes de simetría, y además se puede comprobar que si suprimimos los términos dependientes de «R» recuperamos el tensor de inercia de la varilla obtenido antes. Las integrales trigonométricas se cancelaron todas por estar integradas dentro de un periodo.

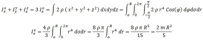
.-Tensor de inercia de una esfera respecto a su centro:

En este caso, por ser un sólido perfectamente simétrico centrado en el origen y de radio «R», las componentes «xx», «yy» y «zz» serán indénticas, del mismo modo que lo serán «xy», «xz» e «yz». Las coordenadas que usaremos serán parecidas a las esféricas, con la particularidad de que el ángulo polar «φ» irá entre [-π/2,π/2] y no entre [0,π]. Por ser todos los ejes que salen por el centro simétricos, asumimos directamente que los términos cruzados son nulos para evadir integrales complicadas:

La perfecta simetría se manifiesta como matriz diagonal de idénticos autovalores.

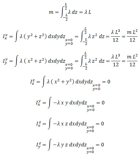
.-Tensor de inercia de una varilla respecto a su extremo:

Veamos ahora qué sucedería con el tensor de la varilla inicial si toda la varilla estuviese contenida en la parte positiva del eje «z». Las únicas componentes que cambiarán, lógicamente, serán la «xx» y la «yy», por ser las demás nulas. Como además por simetría sabemos que serán iguales:

En este último ejemplo vemos que al estar la varilla descentrada del origen de coordenadas el tensor de inercia aumenta en módulo desde un factor de división entre 12 hasta uno de 3, lo que implica que será 4 veces más costoso girarla respecto a su extremo que girarla respecto a su centro.

Pero, ¿podríamos haber obtenido este nuevo tensor a través del anterior? Si simplemente hubiésemos rotado la varilla tendríamos que haberlo girado según la regla de transformación tensorial, pero en este caso nos encontramos ante un desplazamiento. Lo último que nos queda por ver, entonces, es cómo se transforma el tensor de inercia frente a traslaciones.

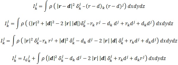
Teorema de Steiner Generalizado:

Si consideramos el tensor de inercia con respecto al centro de gravedad de un cuerpo, podemos considerar cualquier desplazamiento respecto de este siguiendo un vector «d» que deberemos restar constantemente a «r» para efectuar la traslación matemática. Esto nos lleva a:

, donde «IG» representa el tensor de inercia respecto al centro de gravedad, ya que en él nos ubicamos para demostrar este teorema. Por su parte, los últimos tres sumandos se anulan al ser vectores impares integrados en un intervalo simétrico (el número de veces que aparecen a un lado del centro de masas con un signo compensa al otro y se anula el total). Así, obtenemos el Teorema de Steiner Generalizado:

, que en su versión discreta sería:

Concluiremos esta entrada demostrando que el Teorema de Steiner se verifica en el caso de nuestra varilla, donde «d» sería un vector que descendería «L/2» en la dirección «z»:

Categorías:Carrera, Física

14 respuestas »

  1. No sé si has publicado esto en respuesta a mi petición, pero gracias igualmente, estoy estudiando física y a veces un poco de ayuda viene bastante bien.

    • Fue como respuesta, sí. De hecho te respondí al comentario preguntando qué querías exactamente y como no contestaste improvisé. Espero que haya tocado todos los puntos que necesitabas.
      Saludos!

  2. Hola. Disculpa, tiene 2 errores en las matrices de rotación con respecto a Z y X en Matrices de Rotación, error por matriz ( error por copiar y pegar supongo yo). Un saludo, gran fan de su página.

      • Sí, al parecer es un error común, yo acabo de conocer el tema y lo he encontrado en muchas páginas, unas llamadas «recursos oficiales de las matemáticas».
        He leído un par de entradas de tu página, y quiero hacerte una pregunta. Soy mexicano, tengo 20 años y estoy por terminar mi carrera en Ingeniería en Mecatrónica. Sé un poco de Física, me gusta leer y estudiar, sin embargo mi memoria no me ayuda mucho como para recordar ecuaciones, datos, etc. ¿Hay algún consejo que puedas darme para entrarle de lleno al tema? Terminando mi ingeniería quiero seguir con una maestría en Materiales, únicamente para comprender la Física involucrada, y como te digo, me gusta leer a Sears, sobre Relatividad, sobre Física Moderna, a Hawking, etc., pero siento que es más problema eso de no retener información. Y leí que tu página comenzó con los apuntes de tus clases, supongo que eso te ayudo. ¿Cómo ves, algo que puedas decirme? Saludos y gracias por leer.

      • Si no te acuerdas, a priori, es porque no usas esas cosas para nada. En cuanto necesites echar mano de los conceptos varias veces ya te acordarás :)

  3. Hola, muy bueno tutorial ,podrías hacer un tutorial sobre el potencial eléctrico y su aplicación en los circuitos eléctricos , mi duda es cómo interpretar el trabajo y la conservación de energía sobre partículas con carga positiva y negativa en términos de la definición del potencial eléctrico , cuyo signo en su definición en forma integral me causa problemas de interpretación V= – integral(productopunto(E,dl)) , mucha gracias de antemano, soy estudiante de electrónica ,por eso mi duda respecto a este tema.

    • Buenas, Jaime, si tu problema sólo es el signo creo que con esto que ya escribí tendrás suficiente: https://estudiarfisica.wordpress.com/2008/11/29/fisica-general-8-dinamica-de-la-particula-leyes-de-newton-sistemas-de-referencia-no-inerciales-fuerzas-de-inercia-y-de-rozamiento-momentos-lineal-y-angular-teoremas-e-impulso-trabajo-energi/

      No obstante, tu fórmula es errónea (supongo que por algo que ya sabes) en tanto que llama potencial a algo que no es tal. Eso es la variación de potencial a través de una línea, que como ves es exactamente – el trabajo por unidad de carga.

      ¿Por qué pasa esto?

      Imagínate que tienes una partícula positiva y otra negativa al lado. Imaginemos la positiva quieta. La negativa tiene un potencial que debe cumplir algo tan sencillo como ser más pequeño allí donde la partícula se mueva más rápido a energía constante (por conservación de la energía). Entonces es evidente que la negativa se mueve más rápido hacia la positiva cuanto más cerca está: el potencial disminuye con la distancia. Si yo quiero alejar la negativa de la positiva tengo que quitarle energía cinética (trabajo negativo) para aumentar la potencial, y si quiero acercarla aumento su energía cinética (trabajo positivo) disminuyendo su potencial.

      Lo he puesto todo así un poco a prisas, pero combinado con la entrada anterior te debería valer. Si no avisa. No tengo tiempo para hacer ahora una entrada sobre electrónica pero cosas así puntuales se pueden apañar por comentarios :)

  4. Buenas:

    En primera matriz de rotación, en la segunda línea; cuando separas la matriz en dos partes, la segunda matriz quedaría como [[cosσ], [senσ]]. Tú sin embargo; has escrito [[cos(σ+ψ)], [sen(σ+ψ)]]. A lo cual no le veo mucho sentido, porque cuando sustituyes R[[cos(σ+ψ)], [sen(σ+ψ)]] quedaría [[x’],[y’]] y no [[x],[y]], el vector inicial.

    Para que fuera cierto, [[cos(σ+ψ)], [sen(σ+ψ)]] debería ser igual a [[cos(σ)], [sen(σ)]]; a lo cual no le veo mucho sentido tampoco. Si existe esa relación no la veo clara, pues los triangúlos formados por ambos vectores no son semejantes.

    Me gusta tu página web, ánimo con ella. Un saludo.

  5. Necesito saber la definición, en palabras, del tensor de momentos, que no he sido capaz de encontrarla en ningún sitio.
    Algo sencillo, como para un niño pequeño, porque esto de la física me viene un poco grande, la verdad y en clase no explican nada de esto.
    Muchas gracias

Preguntas, correcciones y debate son bien recibidos.