Hace algunos años, mientras comía, tenía el vaso de agua sujetado con mi mano y comencé a girarlo lentamente describiendo una trayectoria circular alrededor del centro de la mesa. El agua en su interior subía, bajaba y giraba por su interior, y enseguida hubo unas cuantas preguntas que necesité contestar: ¿se conservaba el centro de gravedad de toda la masa de agua?; ¿si giraba el vaso más rápido llegaría el agua todo lo arriba que quisiese (en un vaso infinitamente grande) o existiría un límite a partir de el cual siempre estaría predestinada a bajar?; ¿en qué partes del vaso era más fácil que el agua subiese y en cuáles que bajase?
Pese a que conocía toda la teoría de las fuerzas centrífugas y la ley de la gravedad, el sistema me parecía demasiado complicado como para intentar abordarlo. De hecho no sabía ni cómo empezar, dados mis escasos conocimientos por aquel entonces en la física de fluidos. Hoy en día sé que tendría que tener cosas como la viscosidad y conceptos semejantes que restan belleza al problema, así que mi interés pasó a ser el de resolver un problema análogo, aunque no idéntico. Podía calcular simplemente cómo se movería una partícula puntual sobre la superficie interior del vaso, y a partir de ahí tener mi aproximación a la mecánica del agua. Una aproximación bastante mala, pero suficientemente sencilla para satisfacer mi curiosidad.
Finalmente, cuando aprendí las ecuaciones de Euler-Lagrange me di cuenta de que ya tenía una herramienta matemática elegante y relativamente sencilla para solucionar mi problema. Así pues, en esta entrada expondré cómo obtuve dos ecuaciones diferenciales con las que explicar la física fundamental de mi fenómeno.
En primer lugar, necesitaba darle una estructura matemática aproximada a la forma del vaso curvo. Las únicas tres superficies que me parecieron convenientes para tal fin fueron, respectivamente, una semiesfera, un paraboloide de revolución y un hiperboloide de revolución de 2 hojas. Decidí quedarme con el paraboloide porque la semiesfera alcanzaba la pendiente infinita muy pronto y el hiperboloide tenía una pendiente muy rectificada. Así pues, el vaso que conseguí representar con este modelo matemático sería un vaso cilíndrico con una cavidad simétrica respecto al centro con forma de paraboloide.
Para dar más estructura al problema, presentaré ahora datos que consideré en el sistema. El vaso centro del vaso giraría a una distancia «d» del centro de la mesa, a una velocidad angular «ω» constante. Así pues, el vaso siempre estaría girado un ángulo «φ» desde su posición inicial que podríamos expresar como el producto de «ω» por el tiempo.
Dentro del paraboloide, por su parte, la partícula tendría una altura «z» y un ángulo respecto al centro de giro del vaso en principio distinto de «φ». Es decir, ya que el agua puede girar más rápido o más despacio que el propio vaso, esta tendrá un desfase «σ» con el giro de este, de tal forma que se cumpla:
- σ=0: la partícula se encontrará en el lado del vaso más alejado al centro de la mesa.
- σ=π: la partícula estará en el lado del vaso más próximo al centro de la mesa.
- σ=π/2: la partícula estará en el frente del vaso según el sentido giro.
- σ=3π/2: la partícula estará en la parte de atrás del vaso según el sentido de giro.
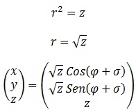
Así pues, dado que la ecuación del paraboloide de revolución es:
, y podemos expresarlo en las coordenadas cilíndricas adaptadas al problema:
, de donde aplicando la condición del paraboloide de revolución podemos obtener el vector que parametrizaría nuestro paraboloide con las coordenadas libres «z» y «σ»:
, al que debemos sumar el vector que lo une al centro de la mesa para obtener la posición «r» relativa a este:
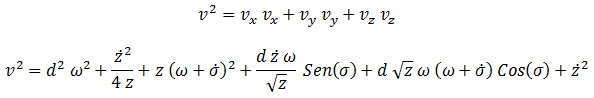
Ahora, para construir la energía cinética en la lagrangiana necesitamos el cuadrado de la velocidad. Al derivar tendremos en cuenta que la derivada temporal de «φ» es «ω» y expresaremos las demás con un puntito sobre la variable:
, donde a la hora de sumar las componentes del producto escalar se han tenido en cuenta todas las propiedades trigonométricas necesarias, a destacar el seno y el coseno de la resta de ángulos.
Ahora ya podemos construir la lagrangiana teniendo en cuenta que la energía potencial «V» es la gravitatoria y la cinética «T». Por comodidad, suprimimos la masa de la misma ya que aparece multiplicando a todo:
Y a partir de esta lagrangiana ya concluimos una cosa importante, que es el hecho de que se va a conservar la energía porque no aparece el tiempo, lo que implica que las fuerzas del sistema, tanto la gravitatoria como la que gira el vaso, son conservativas. Si la partícula sube por la superficie del vaso ganando velocidad necesariamente tiene que perder energía potencial del giro, por lo que intuitivamente ya se puede decir que cuanto más lejana esté la partícula al centro de la mesa (menor energía potencial de giro) mayores alturas alcanzará.
A partir de aquí, ya sólo queda aplicar las ecuaciones de Euler-Lagrange para obtener las ecuaciones del movimiento:
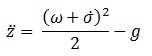
Como lo único que me interesa es saber de qué depende que el agua suba o baje consideraré sólo las ecuaciones que proceden de la variable «z» para obtener la aceleración vertical:
Obtenida esta ecuación diferencial que no tendría sentido intentar ponerse a resolver (sobre todo teniendo en cuenta que nos falta su compañera debida a «σ»), únicamente hay que analizar las conclusiones que pude extraer de aquí. Para ver las cosas más claras, lo más práctico es someter la ecuación a distintas condiciones y ver cómo se comporta.
Por ejemplo, en el límite en el que «z» tiende a infinito:
descubrimos que los únicos efectos relevantes son la gravedad y las velocidades de giro de la partícula dentro del vaso y la del vaso en sí, ya que el vaso está muy vertical. Llegados a este punto, es evidente que a grandes alturas el hecho de si el agua va a subir o no sólo depende de si las velocidades angulares son suficientes para vencer a la aceleración gravitatoria. Extrapolándolo al terreno que nos ocupa, llegamos a la evidente conclusión de que cuanto más rápido giremos el vaso y más rápido gire el agua en su interior más alto llegará esta, independientemente de su ubicación en el vaso.
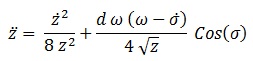
Por otra parte, en el límite en el que «z» tiende a cero:
descubrimos por parte del primer término que nuestra partícula asciende con la velocidad de ascensión que pudiese llevar, si bien este efecto decae con el cuadrado de la altura. Es decir, la velocidad con la que esté subiendo es tanto más irrelevante cuanto más alta esté la partícula para determinar su aceleración (de hecho antes vimos que ni se tenía en cuenta). El segundo término, por otra parte, es el más rebuscado de toda la ecuación. Cuando el coseno es positivo (la partícula se encuentra en la parte del vaso opuesta al centro de la mesa) la velocidad de giro del vaso contribuye a que la partícula suba, mientras que el propio giro de la partícula la tira hacia abajo. Cuando el coseno es negativo (la partícula se encuentra en la parte del vaso próxima a la mesa) la velocidad de giro del vaso hace descender a la partícula, mientras que su giro sobre este la hace subir. Este término, igual que el primero, se va disipando con la altura, aunque algo más despacio porque decae con la raíz de ésta y no con su cuadrado.
En resumen, mirando todo esto en retrospectiva, el problema del movimiento de una partícula dentro de un vaso mientras lo giras tiene 4 ideas clave que se pueden resumir rápidamente:
- A muy bajas alturas lo que más hace subir a la partícula es la velocidad que lleve.
- Con un poco más de altura predomina el efecto de la aceleración centrífuga que comprime a la partícula contra el lado del vaso opuesto al centro de la mesa.
- Las velocidades angulares de giro del vaso y de la partícula sobre este son importantes cuando los anteriores efectos decaen, y siempre contribuyen juntas a ascenderla por el vaso. Es importante apreciar que en el efecto anterior de la aceleración centrífuga una luchaba contra la otra.
- La gravedad, que parecía ser una fuerza relevante, es despreciable hasta grandes alturas en las que sólo tiene que hacer frente a la aceleración debida a la composición de velocidades angulares.
Por último, en caso de que las velocidades angular y lineal de la partícula sean pequeñas el primer y el segundo efecto son prácticamente inexistentes y todo el movimiento queda determinado por la velocidad angular de giro del vaso y la gravedad. Sin más, espero que la entrada os haya parecido tan interesante como a mí.
Categorías:Física









Increíble.