Física

Una lagrangiana social (Análisis lógico de la sociedad)

Hasta qué punto existe el libre albedrío es una gran cuestión de todos los tiempos. ¿Somos realmente libres a la hora de tomar cada una de nuestras decisiones o a grandes rasgos nos vemos empujados por algo que no podemos controlar a tomarlas? ¿Cuando se nos cae un billete de 100 € y lo vemos realmente tenemos la opción de no recogerlo? ¿Cuándo estoy aquí sentado escribiendo realmente es posible que coja y salte por una ventana? Cuestiones como estas resultan de especial interés para aquellos que somos incapaces de contestar con un «sí» absolutamente convencidos, y serán el objeto (tangencialmente) de esta entrada. ¿Es posible establecer un postulado elegante y sencillo que describa y prediga nuestras acciones?

No obstante, antes de comenzar me veo en la obligación de hacer al lector una advertencia de responsabilidad científica aclarando que lo que aquí voy a poner no está en general considerado una verdad absoluta, y por tanto no se debe usar esta entrada como tal.

Por otra parte, si te lías con el primer apartado puedes obviarlo por completo, aunque es la base de la entrada.

El Principio Variacional Social

Hace tiempo, en esta entrada planteé ya la pista fundamental para tratar técnicamente las acciones humanas. Considerando que la Civilización Tipo I sería la que optimizase la energía del planeta, el principio variacional que rigiese su sociedad restringiría por lógica un montón de acciones (belicistas, nacionalistas, religiosas…) que no ayudan a la sostenibilidad sino que la dificultaban al frenar la cooperación internacional.
Sin embargo, dado que es una realidad que no vivimos en una Civilización Tipo I y hay todo tipo de conflictos en el mundo es evidente que la gente no actúa buscando optimizar el consumo de nuestros recursos energéticos.  Sea lo que sea lo que motive a las personas a tomar sus decisiones está lejos de ser la regla que a priori nos permitiría avanzar tecnológicamente a la máxima velocidad, y para dar con ella vamos a tener que pensar muy poco.

En esta otra entrada sobre la felicidad, que es básica para desarrollar esta, llegamos a varias conclusiones interesantes a partir de hipótesis bastante razonables:

  • La felicidad no depende sólo del estado en el que uno se encuentra, sino de cómo ha llegado hasta él.
  • Si bien no tenemos un sistema de unidades de felicidad, podemos «medirla» en tanto que podemos comparar muchas veces si una persona es más o menos feliz que otra o si somos más o menos felices que en un momento anterior.
  • La variación de felicidad con el tiempo sí  que depende básicamente del estado del que uno se encuentra y cuánto rato lleve con él.
  • Todas las personas varían su felicidad de forma análoga, sólo que esta depende de tantos parámetros entrelazados que los efectos que son más notorios para uno pueden no serlo tanto para otros.
  • Debido a la inmensa cantidad de parámetros que definen la variación de felicidad, tenemos que conformarnos con aproximaciones para casos concretos y personas determinadas.
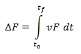
  • Si «F» es la felicidad y «vF» la velocidad con la que varía se cumple la ecuación integral:

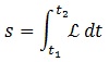
, que podemos comparar con la definición de la acción «s» como integral de una lagrangiana:

Una Lagrangiana Social:

Si asumimos que cada persona actúa de forma que en un intervalo de tiempo pequeño su felicidad propia incremente de forma máxima tendríamos un principio variacional análogo al que nos dice que la acción de un sistema es mínima al realizar un proceso. Consecuentemente, la lagrangiana social, que también deberá ser máxima, será la variación de felicidad en el susodicho intervalo de tiempo. Y esta será la única hipótesis de esta entrada.

Fijémonos que estamos suponiendo sencillamente que cada persona actúa buscando la felicidad instantánea, que no implica ni de lejos que sea lo que le traiga mayor felicidad a largo plazo.

Ejemplos evidentes:

Cuando una persona tiene que decidir lo que va a hacer, léase cómo variar los parámetros de los que va a depender su variación de felicidad, en general la decisión será más fácil cuantos menos parámetros tenga que variar.

Una persona A va paseando por la calle y aparece otra B que le ofrece 1000 €. B no parece haber robado el dinero ni tener intención de engañar o manipular a A, y a A le viene bien el dinero. Podemos asegurar que A cogerá el dinero sin temor a equivocarnos, pues en caso de que nos equivoquemos estaríamos ante una anomalía (por ejemplo, podríamos estar ante una persona a la que le haga más feliz rechazar dinero para hacer gala de que no lo necesita o alguien que pensase que están experimentando con su reacción y prefiere no participar, ya que sin la duda de saber si le están manipulando estará más feliz).

Una persona está cocinando en su casa cuando de repente el aceite de la sartén empieza a arder. Salir corriendo del lugar le hará más feliz en tanto que se salvará del fuego, pero sin duda apagarlo y salvar su hogar le hará más feliz todavía con lo que podemos descartar que abandone la sartén (a menos que no sepa apagar el fuego). Opciones como avivar el fuego o meter la mano serían anomalías en esta ocasión, ya que en general a la gente eso no le hace feliz (requieren un estado de los parámetros de esa persona muy extraños).

Una persona está disfrutando de una gran borrachera en la que cuanto más bebe mejor se lo pasa, con lo que decide seguir bebiendo maximizando su incremento de felicidad instantáneo. Sin embargo, al día siguiente cuando se despierta descubre que ha perdido la chaqueta,  las llaves y la cartera resulta que a lo mejor su felicidad absoluta estaría más alta de no haber bebido la noche anterior. Como comentaba, la lagrangiana social, que maximiza la felicidad instantánea, no tiene por qué maximizarla a largo plazo.

Contraejemplos que no lo son:

¿Pero entonces, si alguien decide no beber para evitar acabar peor de lo que está, no está incumpliendo la lagrangiana social?

Asumamos que esta persona no bebe por ese motivo y que además la lagrangiana social es cierta. Tenemos que justificar que lo que maximice su felicidad instantánea sea no beber en ese momento (Que no le guste el alcohol no es una justificación válida, ya que entonces la explicación es evidente). Si esta persona cuando bebe está pensando que puede acabar peor, su felicidad va a disminuir seguramente, con lo que resulta que salimos de la aparente paradoja sin problema. Cuando las ganas de beber se ponen por encima de las consideraciones de cómo puede acabar la persona es cuando la cosa se va de las manos (la felicidad que suma cada copa es superior a la que resta replanteársela). Si ambas consideraciones se cancelasen mutuamente, entrarían en juego otras variables que podemos estar despreciando.

Análogamente, una persona puede decidir no comprar algo que quiere para ahorrar según la oposición de «fuerzas» de este criterio, o no ser infiel y conservar una relación. La multitud de ejemplos posibles es abismal, el caso es que para no hacer lo que podría considerarse más placentero es necesaria una moral que se oponga a dichas acciones. (Que no se entienda esto como una crítica a ninguna de las cosas que menciono, ojo. No considero que sean acciones que estén bien o mal genéricamente.)

Moral:

Y esta es la primera conclusión, que no hipótesis: la felicidad no va de la mano del placer, o al menos no si interfiere una moral contraria al mismo. La moral sería algo así como una fuerza mental encargada de frenar o potenciar según qué decisiones, y por ello es tan clave en nuestra sociedad. Dominar la moral supone dominar grosso modo la toma de decisiones, y ahí radica la importancia que la mayoría de la gente da a enseñar/imponer al resto la moral que les gusta.

Podemos definir entonces la moral como el conjunto de parámetros de los que depende la variación de felicidad y que no son externos ni fisiológicos (lo cual no es una hipótesis sino una definición alternativa que no entra en conflicto con la oficial). Esto es, si una persona no realiza una acción por miedo a una represalia, o sí la realiza por un bien que considera mayor pero que no le beneficia muy directamente, su moral está interfiriendo.

Una vez que a partir de una hipótesis empezamos a derivar otras cosas que podemos asumir ciertas, la cosa empieza a tomar relevancia.

Orígenes de la Moral:

Cuando un bebé nace, en principio podemos decir sin temor a equivocarnos que carece de moralidad alguna. La moral no se hereda de los padres como tantos otros atributos.

Dado que el bebé carece de moral, no tendrá esta «fuerza» interfiriendo en uno u otro sentido en su toma de decisiones. Es la experiencia la que hace que surja la moral: la repetición de situaciones que uno aprende a analizar. La moral parece surgir naturalmente tras asimilar que determinadas acciones/decisiones pueden repercutir negativamente en la felicidad de uno mismo.

La primera consecuencia es que, sobre todo en sus orígenes, la moralidad se puede imponer. Si haces sufrir a un niño cada vez que realice una acción la asumirá como mala y seguramente la deje de hacer, siendo este método menos efectivo cuanto más mayor se hace. Por supuesto, el sufrimiento debe ser tal que la felicidad que pudiera obtener el niño haciendo dicha cosa no le compense. Destaco concretamente el caso sangrante de una niña estadounidense que tenía un amigo (6 años ambos) ateo, y que cuando murió en un accidente su familia y el cura le dijeron que ardería eternamente en el infierno. Según testificó años más tarde, la tortura psicológica que le supuso la imagen de su amigo ardiendo hizo que siempre tuviese miedo de Dios y no se atreviese a dudar de él.

Si bien es de esperar que es una relativa minoría la gente que considera que su moral ha sido impuesta, lo cierto es que muchas de las cosas que asumimos como parte de nuestra moral han sido fruto de la interacción con otras personas y no las habríamos asimilado si viviésemos en una burbuja.

Pero claro, a todos nos gusta creer que nuestra moral es fruto nuestro propio criterio… Pero, ¿de dónde viene nuestro criterio si no es de la moral?

Evolución de la Moral:

Recapitulemos: cada persona extemiza su felicidad instantánea y la moral nos ayuda a potenciar o abandonar determinadas decisiones, alterando nuestro concepto de felicidad. Después de esto, nuestra felicidad pasa a depender de nuestra moral, con lo que nuestra moral seguirá siendo la misma en tanto que sea la que mejor nos conviene con nuestros otros parámetros. En conclusión, nuestra felicidad acaba dependiendo tanto de nuestra moral que utópicamente alcanzaríamos un equilibrio entre ambas, una simbiosis (mi felicidad es máxima en este instante con esta moral, y mi moral es esta porque maximiza mi felicidad en este instante). Si consideras que tu moral procede de algún otro tipo de proceso, en principio supondré que te mientes a ti mismo o que no has comprendido en su generalidad el proceso.

Supongamos que alguien es en su moral nacionalista de su país. Puede suceder que de repente se de cuenta de que dentro de su propio país también siente que antepone la región en la que vive él a las demás, y después su ciudad a su región, y así progresivamente hasta llegar a considerarse a sí mismo su nación. Asimismo, puede advertir que debido a su nacionalismo en varias ocasiones ha menospreciado a alguien ajeno a su país y que de hecho su país está en guerra con otros que desde su sistema de referencia pueden verle a él como él les ve a ellos. Si estos pensamientos le hacen sentirse mal e incoherente, puede ser que su moral se transforme y se vuelva antinacionalista o anacionalista. En caso de que esto suceda la transformación no será debida en última esencia a su superioridad de raciocinio sino a que su moral anterior pasó a hacerle menos feliz. Si hubiese seguido el mismo razonamiento, pero no se hubiese sentido mal por ello, sin duda seguiría siendo nacionalista.

Ya que la moral se retroalimenta (cuanto más tiempo pasa con nosotros, más se agarra a nuestras ideas), en principio cuanto más mayor es uno menos probable es que padezca perturbaciones en ella salvo experiencias fuertes que le obliguen a replanteársela (para bien o para mal).

Consecuentemente, podemos hablar de evolución ya que la meta siempre es clara: maximizar la felicidad del individuo. La moral según nuestro modelo no debería alterarse aleatoriamente sino siempre en esa dirección, y como la forma en que varía la felicidad de cada persona es un mundo tenemos un enorme espectro de morales a priori diferentes para cada persona del planeta.

Fenómenos a Gran Escala:

Pero aunque cada persona sea un mundo y siempre exista un matiz discriminante, podemos encontrar patrones. Los más fáciles de pensar (si bien los más falaces a veces) son los regionales: la probabilidad de que tu moral sea parecida a la de tu vecino se presupone mayor que la de que sea parecida a la de quien vive en la otra punta del mundo. Este efecto es debido a la interacción: tu moral no te afecta sólo a ti, sino que puede ser imitada si da buenos resultados o traerte problemas si el resto de la gente la rechaza. Desde otro punto de vista, siempre sueles estar subconsciente o conscientemente adaptando tu moral para obtener los beneficios  que obtienen otros o dejar de perder los que te está haciendo perder.

Hace 200 años era muy criticable que las mujeres pudiesen votar en unas elecciones. Sin embargo, eventualmente la moral de algunas personas evolucionó hacia verlo como algo legítimo, y la idea se extendió (lentamente) hasta el punto de llegar a ejercer una gran presión en la moral de quienes se oponían. El resultado es que hoy en día existe una gran fuerza moral colectiva que dificulta en muchos ámbitos que alguien pueda vivir con una moral de discriminación al voto femenino.

En el caso contrario, cuando la moral de alguien evoluciona a secuestrar y matar gente lo más probable es que nadie la copie y además acabe siendo rechazado, con lo que la susodicha moral en principio perecerá con su dueño, del mismo modo que un fallo genético como engendrarse sin pulmones  moriría con el feto que lo tuviese (selección moral). Podemos tener la tranquilidad de confiar en que las morales evidentemente dañinas no llegan lejos.

Pero no hay que malinterpretar el término evolucionar. Que la moral colectiva de un grupo (promediada, no se tiene que corresponder con todos ellos) evolucione hacia lo que les hace más felices no significa ni de lejos que evolucione hacia el bien. Tampoco hacia el mal. Evoluciona simplemente hacia donde surja.

Si una persona de un barrio pobre roba y enseña a robar a otra gente para subsistir y les sale bien, la moral colectiva de la zona evolucionará más hacia el robo (que se considera malo), y si en el medio de una mafia aparece alguien que propone dejar las acciones del grupo y entregarse a la policía será asesinado y su moral (que se consideraría buena) morirá con él. Una regla moral sobrevive en un colectivo o muere por motivos que poco o nada tienen que ver con la lógica de la misma.

Para que una moral muy extendida en un grupo evolucione drásticamente se requiere un gran agente que les haga sentirse infelices con ella o por el contrario que les proporcione una evidente felicidad mayor. Se puede transformar una sociedad misógina en igualitaria con una pequeña fuerza de oposición con capacidad de replicarse rápidamente en el tiempo o se puede transformar una sociedad consumista en ahorradora retirándoles el 90% de su dinero, pero lo que en ningún caso va a funcionar es una crítica racional por sí sola, por que la moral, como ser que se retroalimenta, tiene armas con las que evadir un golpe y prolongar su parasitismo.

Mecanismos de Defensa:

Como ya hemos dicho antes, la felicidad y la moralidad llegan a hacer simbiosis, y como cada persona busca extremizar su felicidad instantánea, en principio se mostrará reacia con mayor o menor fuerza a dejar indefensa su moralidad. Exponer a debate la moralidad puede ser equivalente a exponer la propia felicidad, con lo que la mayoría de la gente se mostrará (nos mostraremos) reacia a ello y se antoja evidente que frases insultantes como «respeta mis creencias sean las que sean» hayan calado tan bien en la sociedad. «No me toques mi moral y yo no tocaré la tuya. Vivamos felices» sería la filosofía.

Cada persona está dispuesta a asumir que su moral es la mejor (si no es así, está dispuesta a asumir que no asumirlo es la mejor moralidad y topamos con una paradoja), y su mente la defenderá de diversos modos antes de exponerla al enemigo. Extraídos directamente algunos de wikipedia tenemos los siguientes mecanismos con los que podemos chocar al atacar la moral de alguien:

  • Disociar ideas desagradables obviándolas por completo (como ignorar una crítica negándonos a reflexionar si nos tiene o no lógica).
  • Proyectar fuera de uno mismo problemas que uno mismo tiene (como asumir que si hemos calado mal en algún grupo es sin duda porque no nos han sabido valorar y nunca porque hemos hecho algo mal).
  • Formar reactivamente pensamientos agradables a partir de algo que en esencia debería resultarnos desagradable (como ponerse contento por ser más inteligente que una de cada veinte personas).
  • Desplazar mentalmente la causa del problema a algo más fácil de tratar (como asumir que si te han despedido es por culpa de que tu pareja te estresa y disctutir con ella).

Hay varios mecanismos más, pero no resultaban tan interesantes en esta entrada. Todos estos mecanismos naturales tienen como única meta evitar la infelicidad de la gente, y no hay que sentirse culpable por ellos porque no creo que nadie se salve de haber caído en la mayoría. Su propia existencia vemos que se puede derivar de nuestra hipótesis, con lo que si la asumimos intentar luchar contra los mecanismos sería análogo a intentar luchar contra la naturaleza, y no sé de nadie que haya tenido éxito en ese cometido.

Si la gente reacciona así no es porque sea estúpida, tonta u orgullosa, sino que está actuando con naturalidad. Conocer las leyes que rigen a las personas, que vistas de este modo se antojan bastante sencillas, es una gran ayuda para dejar de tener en cuenta para mal actitudes de este tipo (lo que no implica que siempre estén bien, sino que sólo quita peso al asunto). Cuando alguien actúa de un modo que te parece ilógico contigo, antes de criticar deberías pensar en si está siguiendo un patrón lógico y si pudiste haberte anticipado. A mí al menos me funciona y me sirve para no alterarme. Enfadarse porque la gente siga unas leyes bastante sencillas es como enfadarse porque al soltar una piedra caiga al suelo: inútil.

Conclusiones:

Si bien no podemos predecir en tiempo real lo que hará exactamente cada persona, es bastante fácil acotar la libertad de acción de cada individuo mientras que no padezca algún cambio radical de personalidad (que requerirá una situación inusual para ello), e incluso anticipar con gran seguridad lo que hará tarde o temprano. Los ejemplos van desde intuir que dos personas van a disctutir por un motivo insignificante tarde o temprano hasta saber que una pareja va a romper incluso antes de que empiece, pasando por saber que si le dices según qué cosa a alguien reaccionará de determinado modo.

Controlar en cierto modo nuestro entorno es tan difícil como lo sea garantizar las circunstancias que harán que la gente sea feliz haciendo lo que te interesa que hagan, y por ello cosas como la buena empatía (ser feliz haciéndolo a los demás y si los demás lo son) son clave para que las cosas resulten a nuestro gusto en un entorno social. Tenemos los claros ejemplos de empresas que funcionan mal porque el jefe trata fatal a sus empleados aunque tengan buen potencial y empresas que funcionan bien pese a tener no tan buenos empleados porque están felices con lo que hacen en equipo. Si alguien que tiene que verte todos los días y con el que cooperas se ve en la tesitura de hacerte una faena en su propio beneficio probablemente titubee más (o incluso desista) si ve que pierde más de lo que gana (confianza, apoyo, tranquilidad… y sus aportes a la felicidad, claro).

Si queremos alcanzar algún día el estatus de Civilización Tipo I, como me consta que anheláis igual que yo muchos lectores, es preciso que nuestra felicidad se maximice instantáneamente contribuyendo a ese proyecto, y consecuentemente que nuestra moral sea completamente afín con el mismo. De lo contrario, si tenemos una moral pensando en otro modelo distinto, nunca surgirá la «fuerza moral» que, como están haciendo diversos grupos como los ecologistas que cada vez consiguen más reservas y acuerdos, impulse el cambio. Las cosas evolucionan poco a poco, y ninguno deberíamos esperar morir con un mundo radicalmente cambiado, pero con no ir hacia atrás ya es bastante (por supuesto, habrá quien piense que la evolución seguirá otro rumbo y que esto es una utopía, y no seré yo quien se lo discuta).

Relación entre Acción y Felicidad:

En esta entrada hemos derivado los aspectos más importantes de la conducta humana a partir de un único principio de maximizar la felicidad análogo al principio físico de minimizar la acción de un sistema. Si asumimos que esta hipótesis ha sido correcta (sentido lo tiene) y además que el mundo social forma parte del mundo físico, resulta muy seductor intentar buscar una explicación que diga que minimizar la acción de la física del cerebro equivale a maximizar la felicidad del sujeto.

Buscar esta relación supone concluir también que la felicidad, así como sus parámetros, tienen que depender del sistema físico del que surjen, pero no me pienso meter en un tema del que no sé nada y del que tampoco he leído. Os invito a reflexionar sobre ello, no obstante.

Categorías:Física

6 respuestas »

  1. Interesante reflexión, aunque la tuya es mucho más desarrollada, me recuerda, sobre todo en la base, a esto:

    http://sosnovsky.blogspot.com/2011/08/felicidad-1-definicion-e-introduccion.html

    y

    http://sosnovsky.blogspot.com/2011/09/felicidad-2-del-egoismo-absoluto-y-la.html

    Imagino que cuando dices » la moral colectiva de la zona evolucionará más hacia el robo (que se considera malo)», te refieres a que es considerado malo por alguna sociedad, no es que es en sí algo malo.

    Y una cosa sin importancia pero que llama la atención: » empresas que funcionan bien pese a tener buenos empleados».

  2. No entiendo el porqué del nombre del artículo. Para decir únicamente que las personas buscan la máxima felicidad instantanea sobra introducir un lagrangiano social del que no se dice nada y del que tampoco se dice qué información se puede extraer de él (¿La evolución temporal de las personas?). Además, cito textualmente

    «Consecuentemente, la lagrangiana social, que también deberá ser máxima, será la variación de felicidad en el susodicho intervalo de tiempo.»

    El lagrangiano no es máximo cuando se hace extremal la acción. No tiene sentido hablar de que sea máximo ya que es un funcional.

    • Muy buenas. Me gusta que vayáis a por los puntos flacos directamente porque es lo que le da vidilla a publicar.

      Cuando digo que es máximo es porque creo que lo garantizan las condiciones. La analogía (dado que lo que está dentro de la integral es vF=dF/dt) sería con el espacio recorrido por un cuerpo moviéndose. Si maximizo el espacio recorrido en un tiempo «t», la velocidad debe de haber sido la máxima posible.

      Efectivamente, podría haber obviado ese concepto (de hecho al principio recomiendo obviarlo), pero decidí incorporarlo a la entrada para engancharla con la otra entrada a la que enlazo, en la que me centré en ese susodicho funcional un poco más. Quería extremizar la felicidad, y en la entrada anterior había visto esa expresión integral, y vi una posible analogía con la acción redactando esta, así que dije «venga, vamos a ponerlo así» (que queda más cool).

      Useasé, la entrada no se llama «una lagrangiana social» porque me centre en ella sino porque reciclo una idea anterior como tal.

      Gracias por comentar.

      • Acción extrema no implica que el Lagrangiano sea extremo también, el Lagrangiano obedece Euler-Lagrange, por lo que vF tendría que obedecer Euler-Lagrange y no un principio extremal que no sale del principio de mínima acción.

        Fíjate que al deducir E-L del principio de mínima acción, lo que extremas es la integral y no el integrando, ya que las condiciones de contorno o límites de integración son fundamentales en el problema.

        http://en.wikipedia.org/wiki/Euler%E2%80%93Lagrange_equation#Statement
        Despliéguese ‘Derivation of one-dimensional Euler–Lagrange equation’.

      • A ver, si, la cosa no está muy bien explicada. Sin embargo, Bhabha (vaya nombre te pusiste ¬¬), lo tuyo no es un contraargumento. Derivemos Euler-Lagrange asumiendo que si S es extremal en «a» L también lo será:

        dS=L*dt
        (dS/da)=0=(dL/da)=(dL/dq)(dq/da)+(dL/dv)(dv/da)=(dL/dq)(dq/da)+(dL/dv)d(dq/da)/dt

        Ahora considero:

        d((dL/dv)(dq/da))/dt=d(dL/dv)/dt(dq/da)+(dL/dv)d(dq/da)/dt

        Y hago este cambio:

        dL/da=(dL/dq)(dq/da)+d((dL/dv)(dq/da))/dt-d(dL/dv)/dt(dq/da)=0

        Si esto es cierto, hemos demostrado que la lagrangiana es extremal. Si esto es cierto, debe darnos Euler-Lagrange. Y efectivamente, si integramos dL/da en el tiempo el segundo término se cancela en los límites de la integral (dq/da)=0, por lo que nos tira de un pié, y a efectos prácticos:

        dL/da=(dL/dq)(dq/da)-d(dL/dv)/dt(dq/da)=0

        que es evidentemente análogo a:

        (dL/dq)-d(dL/dv)/dt=0 (Euler-Lagrange)

        Ergo Euler-Lagrange requiere extremar la lagrangiana en el parámetro a.

        Ahora bien, esto no prueba que deba maximizarla: d(dL/da)/da<0. ¿Cómo llego a esa conclusión? (Nota: maximizarla respecto a "a" significa que tome durante la integral el mayor valor medio posible)

        En el artículo digo que la felicidad instantánea es maximal. Es decir, integrando en una región minúscula de tiempo: dF=vFdt con dFmax implica vFmax, dado que dt siempre es positivo y lo estamos haciendo minúsculo.

        Entonces, como bien decía, lo propio es pensar que tanto la variación de velocidad como la velocidad media con la que ha variado deben ser máximas para el valor de "a" extremal.

Preguntas, correcciones y debate son bien recibidos.