En la física es frecuente aprender resultados aproximados, y algunas veces aunque lo sepamos no nos damos cuenta y acabamos perdiendo horas peleándonos con una tontería hasta que nos damos cuenta de por qué nos sale mal. Ese es el principal motivo por el que decidí escribir esta entrada tan breve.
Integración de las Ecuaciones de Maxwell Inhomogéneas:
En esta entrada ya analizamos las ecuaciones de Maxwell en medios materiales, considerando que tan sólo las inhomogéneas, que dependían de las fuentes, se veían alteradas por ellos. Respectivamente, la Ley de Gauss y la de Ampere resultaban así:
, donde E era el campo eléctrico, B el magnético, ρf la densidad volúmica de carga libre, jf la densidad superficial de corriente libre, ε la permitividad dieléctrica del medio, y μ la permeabilidad magnética. Consideraremos aquí los campos constantes en el tiempo y la permitividad y la permeabilidad constantes en general.
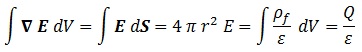
Veamos qué sucede si las integramos, empezando por la Ley de Gauss en una esfera de radio r, en la que aplicaremos el Teorema Integral de Gauss para cambiar una integral de volumen por una de superficie y consideraremos que la integral de la densidad volúmica de carga en el volumen es igual a la carga Q total:

Resultado que más de uno reconocerá como la Ley de Coulomb, que nos dice que el campo eléctrico creado por una carga decae con el cuadrado del radio si lo consideramos constante sobre la superficie de cualquier esfera centrada en la carga y en la dirección perpendicular a esta (si no se cancelaría el producto escalar dentro de la integral).
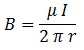
Ahora integraremos la Ley de Ampere en un círculo de radio r, en el que aplicaremos el Teorema Integral de Stokes para cambiar una integral de superficie por una de línea, y análogamente al caso anterior consideraremos que la integral de la densidad superficial de corriente en la superficie es la intensidad I total. Obviaremos el término debido a la derivada temporal de E, como ya se mencionó, por suponerla nula:

En esta ocasión llegamos a la expresión de la Ley de Biot-Savart para un hilo conductor infinito, que nos dice que el campo magnético creado por este decae con el radio si lo consideramos constante sobre cualquier circunferencia centrada en el eje del hilo y en la dirección tangencial a esta (de nuevo, si no se cancelaría el producto escalar en la integral).
Obtención de las Fuentes:
Ahora bien, podríamos querer volver atrás y calcular ρf o jf (las fuentes de campo) a partir de estas expresiones, pero enseguida veremos que topamos con un gran problema con el que uno no cuenta si nunca ha pensado en ello.
En primer lugar intentaremos aplicar la Ley de Gauss para obtener la densidad volúmica de carga (considerando la divergencia en coordenadas esféricas):
En el último paso tenemos la derivada de 1 respecto a r y evidentemente se cancela, y el sombrerito sobre el vector r indica que lo hemos hecho de módulo unitario. Algo grave pasa, ¡porque no puede ser que la ecuación de un campo que hemos obtenido a partir de una densidad de carga nos diga después que no tiene ninguna fuente!
Probemos ahora suerte con la Ley de Ampere para obtener la densidad superficial de corriente (considerando el rotacional en coordenadas cilíndricas):
Otra vez el mismo problema.
Pudiera pensarse si uno está poco acostumbrado a derivar en coordenadas esféricas y cilíndricas que el cálculo está mal hecho, pero pasándolo todo a coordenadas cartesianas surje el mismo problema. ¿Cómo lo solucionamos? Muy fácil, recordando algo que ya sabíamos y que estamos pasando por alto (quizás por no ser matemáticos).
La Delta de Dirac:
Básicamente, la gran burrada que hemos hecho ha sido decir que dividir r entre sí mismo da 1 siempre, ¡porque en el origen de coordenadas, donde r vale 0 eso es completamente falso! Así que resulta que el problema es que nuestras fuentes son extremadamente pequeñas, ¡como ya sabíamos!
Si asumimos que la ley de Coulomb tiene validez para cualquier valor de r, al tomar valores de r extremadamente pequeños encerramos la carga en una esfera diminuta, y consecuentemente tenemos una carga puntual de densidad infinita ubicada en el origen de coordenadas. Por eso las ecuaciones ahí explotan.
Por otra parte, al hacer r pequeño en la ley de Biot-Savart encerramos la corriente en un cilindro muy pequeño, y la fuente es un hilo unidimensional de densidad de corriente infinita ubicado sobre el eje z.
¿Entonces cómo podemos expresar analíticamente las fuentes de campo, si evidentemente no son continuas y hacen un cambio brusco? Con la función delta de Dirac, que cumple:
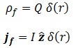
Y gracias a esto resolvemos nuestro problema para expresar las fuentes electromagnéticas idealmente pequeñas:
, ya que de este modo resulta evidente que al integrarlas dan lo que tienen que dar.
Pero es importante quedarse con el detalle de que no son fórmulas que se deriven de ninguna otra ecuación, sino que nos vemos obligados a definirlas para este caso.
Categorías:Carrera, Electromagnetismo, Física









Me temo que tu definición de delta a pesar de no ser la más correcta (que sería con un límite), pero la mejor como explicación sencilla,eso hay que reconocerlo, es erronea. deta(x), para x=0 diverge, no es que valga 1. El area bajo la curva, efectivamente es 1. Integrate[delta(x),{x,-infinito,infinito}]==1. Supongo que habrá sido un despite y te has acordado de la delta de kronecker. :)
Hola, efectivamente ha sido un fallo por las prisas. Gracias por avisar.