Carrera

Las lagrangianas relativistas para la fuerza de Lorentz y las ecuaciones de Maxwell.

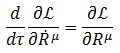
En una entrada anterior introdujimos las ecuaciones de Maxwell axiomáticamente como la base del electromagnetismo. Sin embargo, sabemos que técnicamente ese es un modo poco elegante de introducir a día de hoy una ley física, puesto que queda mucho más profesional deducirlas del Principio de Hamilton, que nos decía que la acción de todos los sistemas debe minimizarse, o lo que es lo mismo, que su Lagrangiana debía cumplir las ecuaciones de Euler-Lagrange:

, donde las q representaban las coordenadas asociadas a los grados de libertad del sistema, y los puntos sobre cualquier parámetro sus derivadas temporales.

En mecánica clásica, la lagrangiana tenía una forma tan sencilla como la diferencia entre la energía cinética T  y la potencial V:

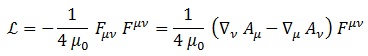
Sin embargo, cuando vimos la lagrangiana de la onda electromagnética tenía una forma muy diferente:
, donde F era el tensor de campo de Faraday, A el cuadrivector potencial del campo y μ0 la permeabilidad magnética del vacío. Asimismo, las ecuaciones de Euler-Lagrange se transformaban en el espacio de Minkowski para dar lugar a:

Si bien no le dimos mucha importancia en su momento, esto evidenciaba que la lagrangiana de un sistema no tiene una definición precisa, sino que más bien se escoge la de por ensayo y error, y a medida que complicamos la física complicamos también su forma. En esta entrada analizaremos otras 3 lagrangianas, para  ver cómo se deducen y si se consideran válidas o no.
Repaso a la Lagrangiana Relativista:
En anteriores entradas, habíamos considerado la lagrangiana relativista de la partícula libre como:

, donde el punto representaría la derivada respecto al tiempo propio del cuerpo τ, que no tiene por qué coincidir con el del observador. Pero esta consideración sólo es válida en el caso de partículas libres en el sentido relativista del término en el que se mueven inercialmente afectadas sólo por la gravedad.
Si la exprimimos un poco vemos que es equivalente a la energía relativista del cuerpo en reposo:

(cosa que evidencia, como ya sabíamos, que representa una partícula libre). Como además sabemos que:

, lo más frecuente es reexpresar toda la lagrangiana como:

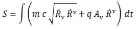
, y esta elección en la forma de expresarla no es por comodidad, ¡sino que como veremos a continuación es el único modo de que la definición sea consistente con las ecuaciones de Euler-Lagrange! Pero escribamos primero la acción de este sistema:
Aquí hay que resaltar una primera evidencia, que es que sigue siendo invariante relativista, en tanto que sólo depende del producto escalar de dos cuadrivectores, la masa y el tiempo propio. La otra propiedad importante es que es invariante frente a reparametrizaciones, porque si hubiésemos elegido otro tiempo para trabajar que no fuese el propio llegaríamos a una ecuación análoga (el tiempo propio aparece integrado y derivando dentro de la raíz, así que se cancela el haberlo elegido). Consecuentemente, en realidad la acción sólo depende de la masa y la cuadrivelocidad.
Considerando ahora las ecuaciones de Euler-Lagrange propias a este espacio:
Obtenemos la conservación del cuadrimomento relativista:
, cosa que por otra parte ya podíamos deducir de que el cuadrivector R no apareciese en la lagrangiana.
Lagrangiana de Lorentz:

Ahora queremos acoplar a nuestra acción (o a nuestra lagrangiana) un término que, al aplicársele las ecuaciones de Euler-Lagrange junto con el anterior, nos de una ecuación de balance de fuerzas. Es decir, que nos indique qué es lo que puede hacer que el cuadrimomento no sea constante.
Actualmente sólo conocemos dos fuerzas que podamos acoplar a la lagrangiana: la gravedad (para la que tendríamos recurrir a Relatividad General y aún no ha sido tratada) y el electromagnetismo. Obviamente, probaremos aquí a acoplarle a nuestra partícula un campo electromagnético.
Para introducir dicho campo, puede ser que tengamos que recurrir al cuadrivector potencial A o al tensor de Faraday F. Hagamos lo que hagamos, el nuevo término deberá ser invariante relativista (por ejemplo, la contracción total de cada uno de estos tensores consigo mismo), y además invariante frente a reparametrizaciones. El problema nos lo da esto último, o más bien nos lo arregla, porque descarta la mayoría de los casos que deja plausibles la otra condición (en concreto los dos que comenté entre paréntesis).
¿Por qué la contracción de A con A o la de F con F no cumplen con la segunda condición? Porque ninguno depende del tiempo propio y por tanto no cancelan su aparición en la integral para obtener la acción. Es estrictamente necesario que aparezca un elemento que haya sido derivado con respecto al tiempo propio como, igual que en el caso anterior, la cuadrivelocidad V (hasta aquí denotada como R con un punto arriba).
Y dado que la cuadrivelocidad es un tensor de rango 1, lo único con lo que tiene sentido contraerla por probar es con el cuadripotencial:
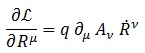
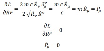
, donde hemos incluido la carga q del electrón por consideraciones de unidades y además tiene mucho sentido. La obtención del nuevo cuadrimomento es evidente:
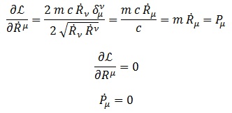
Ahora, para derivar respecto a τ, introduciremos una nueva notación de derivadas parciales que definiré directamente usándola:

Y por la otra parte de Euler-Lagrange tenemos:
Ahora, igualando:

, donde hemos recurrido a las definiciones de F y la del cuadrivector de corriente electromagnética J como carga por cuadrivelocidad (con un cambio de signo debido a que la carga que estábamos poniendo era negativa). En la anterior ocasión J tenía unidades de densidad de corriente, así que hemos cambiado un poco la nomenclatura porque ahora está integrado en todo el volumen. Expresando todo en componentes, y denominando e a la carga del electrón cambiada de signo:

Aquí w representa la potencia neta ejercida sobre la partícula, f la fuerza en 3 componentes (junto con la potencia forma la  cuadrifuerza), E el campo eléctrico, B el campo magnético, y j la corriente en 3 componentes.
Si miramos el principio y el final de la ecuación vemos que hemos obtenido dos ecuaciones de balance:

  • La primera nos dice que la energía relativista de la partícula cargada sólo se puede alterar (obviando radiación) si el campo eléctrico es paralelo al de corriente. El campo magnético en ningún caso puede alterar la energía neta del sistema (su fuerza es perpendicular a la velocidad, como veremos justo abajo).
  • La segunda, conocida como la Fuerza de Lorentz, nos dice que las fuerzas que ejercen los campos obre la partícula son una paralela y proporcional a la carga, y la otra perpendicular y proporcional a la corriente.

Debido a que la fuerza de Lorentz era ya bien conocida de antes, tenemos que llegar a la conclusión de que hemos empleado la lagrangiana correcta y que ya tenemos una forma de acoplar el campo electromagnético a una partícula.
Lagrangiana de Maxwell:

La cosa se complica un poco si queremos una lagrangiana que nos de las ecuaciones de Maxwell. Como éstas no dependen en absoluto de la masa de nada, el término relativista básico deberíamos obviarlo, y una buena idea sería juntar al término de Lorentz el término de la lagrangiana de la onda electromagnética:
Ahora, podemos considerar que las coordenadas, en vez de ser las posiciones, son las componentes de A, y llegar así a otras ecuaciones de Euler-Lagrange (ya vistas al principio de la entrada):

Aplicándolas retomamos sin problema la ecuación tensorial inhomogénea (dependiente de fuentes) de Maxwell:
, que en la otra entrada nos salió con un signo diferente porque contrajimos el segundo índice de F en lugar del primero y F es antisimétrico.
La otra ecuación tensorial homogénea sale gratis haciendo el proceso ya explicado en su momento, puesto que se cancela por razones algebraicas y no físicas, del mismo modo que de esta última ecuación podemos deducir la de continuidad (divergencia nula de J) sólo teniendo en cuenta que un tensor antisimétrico como F contraído dos veces con el mismo cuadrivector se anula:
Conclusiones:

Las lagrangianas se eligen de forma que den lo que tienen que dar y quedan más elegantes, pero ser no son necesarias.
Esta entrada es un preludio al tratamiento de la Relatividad General, en la que buscaremos la lagrangiana más adecuada para el campo gravitarorio en base a las mismas consideraciones que aquí: que sea invariante escalar y frente a reparametrizaciones.

1 respuesta »

  1. Una duda. ¿Tienes algún post en el que se explique por qué la acción debe ser invariante ante reparametrizaciones?
    Esto viene de que en la Lagrangiana de Lorentz lo mencionas como justficación para elegir el término del cuadripotencial por la cuadrivelocidad, pero después con la Lagrangiana de Maxwell coges la contracción de F con sí mismo, que en la Lagrangiana de Lorentz dices que no puedes coger porque no dejaría la acción invariante ante reparametrizaciones.
    ¡Muchas gracias!

Preguntas, correcciones y debate son bien recibidos.