Hace mucho tiempo vimos como ejemplo de relatividad general la solución de Schwarzschild a la ecuación de Einstein sin haber visto siquiera dicha ecuación. Además, vimos cómo usarla para calcular la precesión de Mercurio en su órbita. Ahora que ya tenemos presentada la ecuación de la relatividad, veremos como caso práctico la forma correcta de obtener el campo gravitatorio de Schwarzschild.
Resolviendo la relatividad general (RG):
En primer lugar, antes de empezar a hacer cuentas, es muy importante tener claro lo que tenemos y a dónde queremos llegar. La RG no nos da la trayectoria de ningún cuerpo, sino la forma del campo gravitatorio g cuando introducimos una cierta cantidad de energía en el espacio. Esto quiere decir que resolverla no es equivalente a describir la trayectoria de partículas, sino conocer la deformación a la que tendrán que adaptarse. g es la protagonista de la RG, así como el campo electromagnético lo es de las ecuaciones de Maxwell.
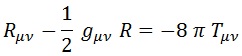
Así pues, partiremos de tener un tensor de energía momento T caracterizado por una densidad de energía infinita en un punto que nos facilita las ecuaciones diferenciales:
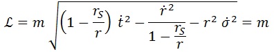
Donde estamos usando unidades geométricas. Esto nos permitirá conocer la métrica g, que será importante en aras de construir la lagrangiana relativista del sistema para una partícula inercial (libre) de masa m y cuadrivelocidad U:
Aquí t será el tiempo del observador que analiza la trayectoria de la partícula, r la distancia de esta a la masa concentrada y σ su ángulo de desviación con respecto a algún eje previamente fijado que atraviese la masa. Los puntos sobre estas variables representan derivadas respecto al tiempo propio de la partícula. Es muy importante darse cuenta que como parte del principio de la relatividad general consideramos partícula libre no a la que se mueve sin perturbaciones sino a la que lo hace adaptada a la gravedad. Finalmente todo el término de la raíz se «puede» anular porque el módulo de U es 1. «Puede» va entrecomillado porque a efectos de derivadas no podemos ignorarlo.
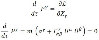
El cuadrimomento de nuestra partícula P puede introducirse perfectamente acorde al modelo lagrangiano:
Finalmente, las ecuaciones de Euler-Lagrange nos garantizan que las componentes del momento se conservarán al no depender la lagrangiana de las coordenadas en sí, garantizándonos que las trayectorias serán «rectas»:
Resolver esta última ecuación facilitaría finalmente la trayectoria de la partícula deseada en función de su posición y velocidad iniciales.
Cálculo de g:
La métrica del espacio libre de energía en coordenadas polares es la habitual de Minkowski:
Como la métrica es un tensor simétrico siempre es diagonalizable, por lo que podemos asumir sin pérdida de generalidad que la afectada por la masa en algún sistema de coordenadas tomará la forma:
Donde A, B y C serán parámetros exclusivamente dependientes de r porque la simetría angular del problema exige que no dependan de σ y la simetría temporal (esperamos que sea estático) impide que dependan de t. Asimismo, redefiniendo r de forma que absorba C podemos asegurar que la métrica será expresable como:
Teniendo esto, el siguiente paso es construir la conexión afín Γ:
Para ello necesitamos la métrica contravariante:
Así como todas las derivadas posibles de la covariante, que por construcción sólo serán no nulas aquellas que la deriven respecto a r:
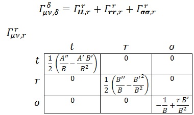
Donde las primas indican derivadas. Como resultado, Γ toma la forma:
Donde evidentemente (por la simetría de los otros 2) los 3 índices superiores representan los distintos valores del índice superior de la conexión. Teniendo esto, podemos calcular el tensor de Riemann R:
Sin embargo, sale mucho más rentable calcular directamente su contracción de Ricci:
En lugar de hacer toda las 8 cuentas posibles por orden, calcularemos todos los términos de la ecuación por separado y después los juntaremos.
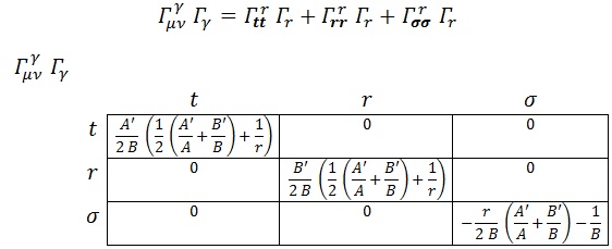
Un elemento que no aparece de forma independiente pero es necesario para calcular el 1º y el 4º es la contracción del índice superior de la conexión con uno de los inferiores:
Los índices en negrita significa que son los únicos no nulos y que por ello nos tomamos la libertad de fijarlos cuando en principio no lo estaban. En este caso, sólo si nos quedamos con el índice r tendremos algo distinto de 0:
Con esta misma idea obtenemos el primer término teniendo en cuenta que sólo puede haber derivadas no nulas respecto a r:
El segundo considerando sólo derivadas respecto a r de elementos de la conexión con el índice r arriba:
El tercero, que incluye un poco de todo:
Y el cuarto, que es multiplicar todas las componentes que tenían r como índice superior por la conexión contraída:
Finalmente, el tensor de Ricci será la suma del 1er y 3er término menos el 2º y el 4º, lo que ya simplificado da:
Ahora que tenemos al fin R, podemos usar la RG para dar algo más de forma a A y B. Como R es suma de elementos proporcionales a componentes de T, y este último por construcción es nulo en todo el espacio menos en el punto donde ubicamos la masa, tenemos que R debe anularse de modo análogo. En particular, anular su componente doblemente angular implica:
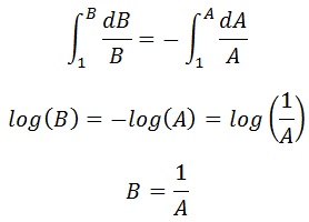
Integrando respecto a r, podemos anular las derivadas de los términos superiores, dejándolas en integrales sobre B y sobre A. Ahora bien, queremos que las integrales sean definidas, con lo que hay que tener un punto de partida. Ese punto será uno en el infinito, donde el campo gravitatorio es prácticamente nulo y por tanto A y B valen 1 para reproducir la métrica de Minkowski:
Vemos que tienen que ser exactamente opuestos. Ahora para determinar A a grandes distancias simplemente damos por hecho como siempre que en campos gravitatorios débiles el término temporal de la métrica tiene que ser, por consistencia con Newton, igual a:
Y ya tenemos g caracterizada a grandes distancias. Es muy natural aquí definir el radio de Schwarzschild de una masa como:
Que sería el valor por debajo del cual tiempo y espacio invertirían sus signos de avance analizando un poco la forma de A, como vimos en la otra ocasión. Este radio requiere mucha densidad para hacerse notar, pues las masas geométricas del Sol y La Tierra son, respectivamente:
Esto significa que para que pudiesen invertir el espacio-tiempo, en su caso, sus masas tendrían que estar concentradas en esferas de 3 km y 1 cm de radio respectivamente.
En resumen, g toma la forma:
Breve caracterización de las geodésicas:
A partir de esto, la lagrangiana del sistema de una partícula moviéndose en ese campo sería:
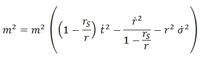
Si elevamos la expresión al cuadrado para fines posteriores:
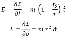
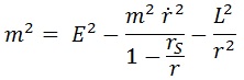
Si en esta ecuación consiguiésemos que la única variable temporal fuese la velocidad tendríamos una buena forma de describir trayectorias integrándola. Esto es posible usando conclusiones extraídas de Euler-Lagrange sin llegar a resolver la ecuación de la geodésica. Dado que el cuadrimomento se conserva, podemos obtener expresiones para la energía E y el momento angular L, que serán constantes del sistema:
Sustituyendo, tenemos la ecuación integrada para una geodésica:
Más detalles sobre qué se puede hacer con ella fueron comentados en la entrada de la precesión de Mercurio.
Energía potencial gravitatoria:
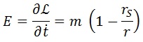
Por último, hay que hacer un comentario sobre la energía de la partícula. Según la ecuación recién expuesta, en el caso en el que la partícula estuviese quieta (tiempo del observador igual a tiempo propio), la energía que vería un observador desde el infinito sería:
Vemos que hay un efecto gravitatorio que hace que la energía en reposo no sea igual a la masa para este observador. Este efecto desaparece, por supuesto, en el sistema de coordenadas inercial de la partícula en cuestión, por lo que depende completamente de si el sistema ve o no el universo curvado.
En la próxima entrada resolveremos el caso en el que todo el universo tiene una densidad de energía constante para obtener las ecuaciones de Robertson-Walker.
Categorías:Carrera, Física, Relatividad
































