Carrera

El campo de Schrödinger libre.

schrodinger

Normalmente cuando uno hace mecánica considera los objetos como partículas individuales desplazándose bajo la influencia de fuerzas y calcula, para una cierta posición y velocidad iniciales, su evolución. Es decir, estudiamos un movimiento local. Sin embargo, cuando tratamos con campos que ocupan todo el espacio analizar su evolución es evidente que no podemos usar la misma sistemática. En esta entrada veremos el campo de Schrödinger como ejemplo de objeto no local, veremos que podemos reescribirlo de forma que sus simetrías sean más evidentes.

Trabajando con campos:

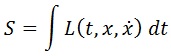
En mecánica de objetos moviéndose definíamos la acción S como la integral en el tiempo de una lagrangiana L que dependía de la posición y la velocidad del objeto, para después usando dicha lagrangiana obtener cómo evolucionaban ambas cosas:

acción general

Aquí x representa la posición y el punto sobre ella una derivada temporal. Nosotros ahora estamos interesados en analizar la evolución no de una posición sino de una función φ definida sobre todo el espacio-tiempo X y dependiente de este:

campo escalar

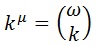
Aquí μ etiqueta todas las posibles coordenadas espacio-tiempo. Esto significa que ahora todas las coordenadas desempeñan la misma labor en la teoría que el tiempo en el caso anterior:

acción campo

Como ahora integramos en más variables, las unidades en sistema natural de la lagrangiana, que antes eran de metros a la menos 1, pasan a ser de metros a la menos 4, de forma que al integrar sobre 1 coordenada temporal y 3 espaciales la acción quede sin unidades.

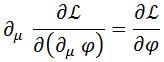
Para deducir las ecuaciones de movimiento exigimos, como siempre, que de entre todas las posibles evoluciones del campo la que acontezca sea la que minimice la acción. Para expresar esto introducimos la derivada funcional δ como la variación de la acción con respecto a cualquier otra posible trayectoria parametrizadas por λ:

derivada funcional

Como queremos una evolución que minimice la acción, exigimos que su derivada funcional sea nula y que no afecte al espacio-tiempo. Vemos inmediatamente que la evolución de la lagrangiana también debe ser extremal:

variación acción

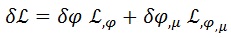
A su vez, la variación de la lagrangiana la podemos expresar usando la regla de la cadena en función de la variación del campo y de su gradiente (derivadas de 1er orden):

variación lagrangiana

Aquí es importante recordar que estamos representando las derivadas respecto a algo como una coma de subíndice junto al nombre de ese algo. Para poder seguir recordamos la derivada del producto:

derivada producto

Esto nos permite sustituir para obtener:

variación lagrangiana 2

Sustituyendo esta expresión en la variación de la acción, que sabemos que debe ser nula, llegamos a:

variación acción 2

El primer término no podemos retocarlo más, pero el segundo podemos decir que es nulo porque la desviación del campo en los extremos debe ser nula por consistencia:

término nulo

Consecuentemente, el término entre paréntesis del primer término debe ser nulo también para poder lograr minimizar la acción, lo que implica:

euler-lagrange

Esta es la ecuación de Euler-Lagrange, que con otro formalismo que no usaré porque ocupa más se podría expresar del siguiente modo:

euler-lagrange 2

Esta ecuación que acabo de deducir aquí ya apareció antes en este blog cuando presentamos el campo electromagnético, aunque en aquella ocasión en lugar de demostrarla aludí a su similaridad con la habitual.

La lagrangiana y la ecuación de Schrödinger libres:

Una vez que dada una lagrangiana podemos calcular el movimiento del campo con Euler-Lagrange ya podemos empezar a ver cómo se trabaja con campos.

En el caso de Schrödinger quería un campo ψ que representase en cada punto del espacio la densidad de probabilidad de que la partícula analizada se encontrase en él. Como la probabilidad no tiene unidades, su campo de densidad debería tener unidades de metro elevado a menos 3.

Además, decidió dotar a su campo, que se podría propagar como una onda, de la propiedad de ser complejo. Es bien sabido que los números complejos pueden reescribirse como combinación de funciones oscilantes según la ecuación de Euler. Sin embargo, dado que un número complejo tiene parte real y parte imaginaria independientes un campo complejo realmente no es un campo, sino que son 2 combinados. Otra forma de verlo es que el número complejo tiene módulo |ψ| y fase α. Es decir, que tenemos:

campo schrödinger

Lo veamos como lo veamos, no nos salvamos de tener que trabajar con 2 campos independientes que determinen un número complejo. No obstante, la evolución de la fase, de la parte real y de la parte imaginaria nos da bastante igual no verla en detalle, de modo que lo razonable podría ser trabajar con el campo y su módulo. De todos modos, no será esa nuestra combinación. El otro campo independiente con el que trabajaremos es el conjugado ψ*:

campo schrödinger conjugado

La razón para elegir esta función como segundo campo es que tiene la misma importancia que el original y habrá bastante simetría entre ambos. En particular, es importante que su producto genera el módulo al cuadrado:

producto campos

Teniendo presentados a los protagonistas, y asignándoles una masa m, la lagrangiana de Schrödinger sería:

lagrangiana schrödinger

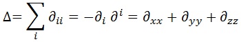
El triangulo que aparece en la ecuación es el laplaciano, que en formulación tensorial sería la suma de las 3 derivadas segundas espaciales:

laplaciano

Es muy importante tener presente que si se va a expresar mediante un índice arriba y otro abajo hay que cambiar el signo. Las i etiquetan coordenadas espaciales.

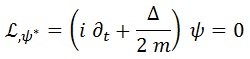
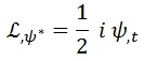
Dado que hay una ecuación de Euler-Lagrange para cada campo, vamos a tener 2 en total. Analizaremos sólamente la del campo conjugado, que será más sencilla por la forma en la que aparece en la lagrangiana. Primero necesitamos conocer su momento canónico p:

momento psi

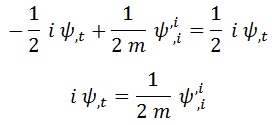
Este momento resulta ser nulo porque la lagrangiana no depende de la derivada temporal del campo conjugado. Como no tenemos momento, tampoco tendremos derivada de momento, de modo que el primer término de la ecuación de Euler-Lagrange es exactamente 0. El segundo término, que es la derivada respecto al campo conjugado, sí que aparece, y lo igualamos a cero por ser igual al primero:

fuerza psibar

De esta expresión, que ya es la ecuación de Schrödinger:

ecuación schrödinger

El término de la derecha, recordemos, no lleva signo – porque había que cambiarlo.

Esta ecuación es a la cuántica no relativista lo que la ecuación de Newton fue para la mecánica no relativista: una buenísima aproximación para bajas energías. Básicamente lo que no está diciendo es que la evolución temporal de nuestro campo es proporcional a su laplaciano, imponiendo una relación muy fuerte entre dichas derivadas.

La onda de Schrödinger:

Tenemos una ecuación diferencial de orden 7 (1 derivada temporal + 2 derivadas espaciales * 3 dimensiones espaciales). Sin embargo, como eso sería demasiado farragoso, vamos a cargarnos 2 dimensiones espaciales y, consecuentemente, reducir el orden de la ecuación a 3. Además, nos cargaremos una de las soluciones que saldrán, con lo que lo reduciremos a 2.

Habiendo una sola dimensión espacial y estando en la ecuación el término de la derivada temporal separado de las espaciales podemos pensar que la solución al problema será el producto de 2 funciones T y X, una dependiente del tiempo y la otra de la posición:

separación variables

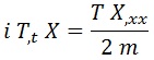
Al sustituir esta hipótesis en la ecuación de Schrödinger tenemos:

sustitución en schrödinger

Ahora dividimos ambos términos por T X y suponemos que cada uno de ellos por separado es constante. Esto, junto con la suposición anterior, puede parecer una burrada, pero sabemos que la solución correcta es única y por tanto si encontramos una está bien. A dicha constante la llamaremos ω porque resultará ser una frecuencia:

constante

Ahora tenemos que resolver 2 ecuaciones diferenciales desacopladas. La primera, de orden 1, es una función cuya derivada es proporcional a sí misma:

diferencial T

La única función que cumple esto es la exponencial, y lo que nos queda sin fijar es su amplitud:

T

La siguiente, de orden 2, es una función cuya derivada segunda es opuestamente proporcional a sí misma mediante un factor real:

diferencial X

Esta es una propiedad de las exponenciales complejas oscilando con frecuencia igual a la raíz del factor de proporcionalidad. Hay 2 grados de libertad: el exponente puede ser positivo o negativo y deberíamos sumar ambas funciones moduladas por constantes arbitrarias. Sin embargo, quitaremos el positivo para que no ocupe tanto:

X

Ahora multiplicamos ambas soluciones:

psi 0

Y aún podemos hacer algunos apaños de elegancia. El primero es juntar las constantes de proporcionalidad y llamarlas |ψ|. Hemos descubierto que el módulo del campo es constante, lo cual es bueno porque indica que puede representar probabilidad (no tendría sentido que la probabilidad total pudiese ser mayor o menor que 1 de repente):

módulo

En segundo lugar, es evidente que tenemos una onda, con lo que como mínimo está bien indicar su velocidad angular ω, frecuencia f, periodo T, número de onda k y longitud de onda λ:

onda

Es importante notar que la solución que descartamos tendría todo igual pero se propagaría en sentido opuesto. También que todos estos parámetros dependen de la frecuencia y de la masa.

En tercer lugar, definimos el bivector:

propagador onda

Con todo esto, podemos expresar finalmente la onda de Schrödinger unidimensional y propagándose hacia adelante en el eje x de la forma:

campo

Y finalmente verificamos que nuestro resultado tiene 2 grados de libertad: la amplitud y la frecuencia. El 3º ya hemos dicho que nos lo comimos suprimiendo la onda en sentido opuesto. Los otros 4 serían 2 respecto a la amplitud de la onda en las dimensiones que quitamos y 2 para determinar el ángulo de propagación de la onda en el espacio.

El campo conjugado, por su parte, quedaría de la forma:

campo conjugado

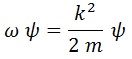
Sustituyendo en la ecuación de Schrödinger obtenemos:

schrödinger sustituida

Esto, comparándola con su expresión según derivadas, nos lleva obviamente a pensar en la relación:

k derivada

El vector de derivadas es equivalente al de la onda. Esto es posible porque la función de onda es una autofunción de la derivada y el vector de ondas es el autovalor asociado. El concepto es análogo al de autovectores con autovalores: la derivada actuando sobre una de sus autofunciones es igual dicha autofunción por su autovalor.

Buscando la simetría:

Hemos obtenido la ecuación y la onda de Schrödinger usando la lagrangiana propuesta, pero es evidente que estaba escrita de forma que ambos campos parecían tener poco que ver. Sin embargo, eso no es cierto, y la forma en la que ambos campos aparecen es perfectamente simétrica. Lo que ha pasado es que reescribimos todo de forma que pareciese que no para que las cuentas fuesen más fáciles.

Ahora escribiremos la lagrangiana de forma manifiestamente simétrica entre los campos. Para ello necesitamos ver unas pocas propiedades de las derivadas sobre ellos. En primer lugar, un campo por la derivada del otro es opuesta a la del segundo por la del primero:

intercambio de derivada

Esta relación es evidente si se tiene en cuenta que sólo difieren en el signo de la exponencial. Gracias a ella, podemos reexpresar el término de la derivada temporal en la lagrangiana como la semisuma del caso en el que derivamos el campo y en el que derivamos el conjugado:

semisuma temporal

En segundo lugar, un campo por la derivada segunda del otro es exactamente igual al caso opuesto:

derivada segunda

Esto es debido a que el signo de diferencia se eleva al cuadrado al aparecer dos veces. Consecuentemente, ambos casos son opuestos a multiplicar las derivadas primeras de los dos campos, ya que aparece otra vez el signo de la discordia:

derivadas cruzadas

De modo que el término del laplaciano se puede cambiar por uno con las primeras derivadas de ambos campos siempre que se cambie de signo. No obstante, como al cambiar de notación laplaciana a notación de índices teníamos ya otro cambio de signo al final se queda con el mismo:

Así pues, la lagrangiana manifiestamente simétrica entre ambos campos es:

lagrangiana simétrica

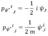
Y para asegurarnos de que no hemos hecho trampa podemos verificar que con ella obtenemos otra vez la ecuación de Schrödinger. Para ello primero obtenemos la componente temporal y la espacial del momento canónico:

componentes momento

Después obtenemos la derivada respecto al campo conjugado:

derivada psibar

Después derivamos cada componente del momento respecto a la coordenada de su componente:

derivadas momento

Y finalmente igualamos la suma de estas derivadas a la de la lagrangiana respecto al campo:

reobtención Schrödinger

Hamiltoniano y energía:

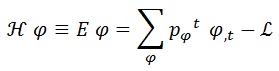
Por último, podemos obtener el hamiltoniano H actuando sobre el campo aplicando su definición, y definiendo que el autovalor que genera al actuar sobre cualquier campo φ es la energía E de este:

hamiltoniano

De modo que buscamos desarrollar el último término y que quede proporcional al campo para poder decir que la energía es el factor de proporcionalidad:

hamiltoniano 2

Vemos que no obtenemos una proporcionalidad con el campo sino con su derivada segunda. No obstante, gracias a que el campo cumple la ecuación de Schrödinger podemos exigir:

energía

Esto es lo mismo que decir que la energía es igual a la frecuencia:

energía frecuencia

Y por extensión vectorial, que el cuadrimomento del campo es igual al cuadrivector de ondas y al de derivadas:

cuadrivectores

Esta estrecha relación entre derivadas y momentos ha sido y es de vital importancia, y en la siguiente entrada veremos hasta qué punto, pues sin ella no habría incertidumbre de Heisenberg.

1 respuesta »

Preguntas, correcciones y debate son bien recibidos.