Física

Una dualidad en el movimiento circular de dos cuerpos en torno a un tercero.

venus tierra

«Si mides la posición relativa entre La Tierra y Venus durante un periodo de 8 años este es el patrón resultante.»

El otro día circuló por Facebook la siguiente imagen de la derecha, que asegura representar el patrón de las posiciones relativas entre La Tierra y Venus tras una medición de 8 años.

No obstante, tal y como está la imagen sin unidades en los ejes ni nada, deja a gusto de cada uno interpretar lo que en ella se representa.

Observándola un poco uno enseguida nota que en ella no hay ninguna línea curva y son todo rectas. El conjunto de todas esas rectas genera la curva interior mediante el método de envolventes.

Dicha curva representa algo que aumenta y disminuye de tamaño mientras gira de forma periódica.

Como físico, lo primero que me vino a la cabeza es que representaba la distancia entre La Tierra y Venus (posiciones relativas) y cómo la línea que los unía iba girando con respecto a algún eje en reposo con el Sol.

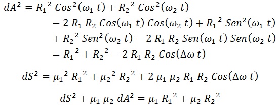
La frecuencia de traslación de La Tierra es de 1 revolución por año y la de Venus es aproximadamente 1,6 revoluciones por año. Eso hace que tras 8 años La Tierra haya dado 8 vueltas y Venus 13. Asimismo, hace que durante ese tiempo ambos planetas hayan estado alineados con el Sol 10 veces (5 con el Sol en medio y 5 con Venus en medio). Durante el primer caso la distancia entre ambos astros es máxima y durante el segundo es mínima. Teniendo esto en cuenta, parece evidente que la gráfica representa lo dicho anteriormente, dado que la distancia tendría 5 mínimos y 5 máximos.

No obstante, minutos después me pasaron este enlace que decía que la circunferencia exterior representaba la posición de La Tierra y la que envolvía toda la curva la posición de Venus, unidas ambas mediante rectas durante 8 años. De ahí que de cada punto exterior salgan 8 rectas (La Tierra ha pasado por ahí 8 veces).

Más tarde todavía, me pasaron otro enlace en el que se veía que la curva que estábamos viendo representaba el movimiento del centro de masas del sistema Tierra-Venus alrededor del Sol. Esta última versión, obviamente cierta también, era incompatible con la anterior, pues el centro de masas llega más lejos del Sol que Venus.

En ese mismo enlace, haciendo clic en «Venus» o en «Tierra» se ve que mi interpretación también era correcta, con lo que en menos que canta un gallo me vi con una imagen que podía interpretarse de 3 formas y que todas eran correctas.

En esta entrada pretendo demostrar matemáticamente de la forma más breve que se me ha ocurrido de primeras que la figura representa todos esos casos dado que carece de ejes, centrándome en la relación entre la primera y la tercera.

Los astros se mueven en un plano. Diremos que La Tierra, A1, se mueve circularmente alrededor del Sol a una distancia R1 y con velocidad angular w1. Análogamente, Venus sería A2 y se movería alrededor del Sol a una distancia R2 y con una velocidad angular w2. Expresado en coordenadas cartesianas según el tiempo, y asumiendo que al principio los tres estaban alineados con Venus en el centro sobre el primer eje, tenemos:

astros

El vector que une ambos astros, dA, se obtiene restándole a uno el otro, de modo que sin pérdida de generalidad le restamos A2 a A1:

dA

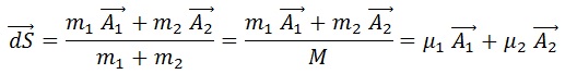
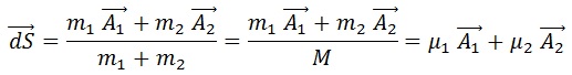
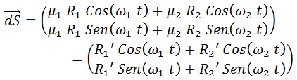
Por otra parte, el centro de masas (y consecuentemente el vector que lo une al Sol) de ambos astros se define como la suma pesada de sus posiciones asignando a La Tierra la masa m1 y a Venus la masa m2:

dS

Obviamente, M es la suma de las masas. Por otra parte, los coeficientes μ introducidos sólo son la fracción de masa de cada astro respecto del total y lógicamente cumplen:

suma fracciones

En suma, tenemos que el vector de la posición del centro de masas es:

dS 1

Aquí hemos definido las distancias primadas absorbiendo las μ para no andarlas copiando todo el rato.

Si dA y dS fuesen representados por la misma curva sus expresiones (obviando constantes externas) deberían tener la misma forma, pero dA tiene un signo – para Venus mientras que en dS aparece con un signo +.

Para ver que esto no es un problema, en primer lugar podemos recordar que aumentar la fase de un seno o un coseno en π es equivalente a cambiarlo de signo:

cambio signo

Consecuentemente, si podemos demostrar que dA y dS simplemente están desfasados un ángulo π será evidente que son la misma curva.

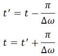
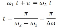
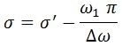
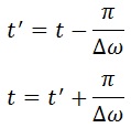
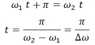
Para empezar, teniendo en cuenta que Venus gira más rápido que La Tierra alrededor del Sol, podemos dar por hecho que pasado un cierto tiempo t habrá girado π radianes más cumpliendo:

desfase

Consecuentemente, podemos desplazarnos al tiempo t’ en el que ambos astros están desfasados al principio usando las ecuaciones:

t'

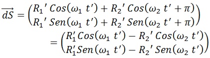
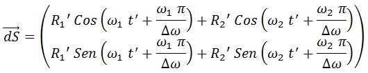
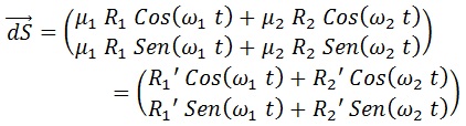
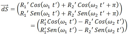
Esto deja dS de la siguiente forma:

dS 2

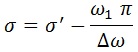
Ahora podemos girar nuestro sistema de coordenadas de forma que La Tierra esté sobre el eje principal en el instante inicial haciendo la siguiente transformación en la fase:

o'

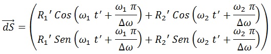
Y, ¡voilà!, con esto demostramos que, salvo factores de escala, es dA desfasado y consecuentemente, representa la misma figura:

dS 3

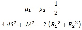
Para ver más claro que son la misma cosa desfasada podemos obtener sus módulos cuadrados y sumarlos para ver que cumplen la ecuación de una elipse:

elipse

Cuando dS crece dA decrece y viceversa. Además, como lo hacen del mismo modo, sus propiedades diferenciales se mantienen y sus envolventes tendrán la misma apariencia.

Ahora bien, la cuenta hecha va más allá de lo que pretendía explicar. Se ha demostrado que la combinación lineal de dos movimientos circulares en torno al mismo punto sea cual sea la naturaleza del giro o el desfase inicial entre ambos representa la misma figura siempre que las frecuencias asociadas al más lejano y al más cercano se mantengan.

El centro de masas es una combinación lineal de las posiciones y la distancia entre La Tierra y Venus también lo es. De ahí que representen la misma figura.

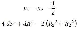
El centro geométrico también se movería representando la misma figura. De hecho, es el caso particular del centro de masas en el que las masas de ambos cuerpos son iguales:

centro geométrico

Categorías:Física

1 respuesta »

Preguntas, correcciones y debate son bien recibidos.