Recientemente vimos la ecuación del campo de Schrödinger libre y que este se comportaba como una onda. En esta ocasión reformularemos la teoría de Schrödinger añadiendo un término de interacción genérico con otro campo y usando el formalismo de Dirac para generalizarla. Además analizaremos con algo de detalle la interacción con campos constantes.
Las diversas formas de escribir la ecuación de Schrödinger:
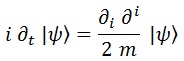
Antes de empezar con la meta de la entrada es importante recapitular lo visto hasta ahora y algunas de las formas más frecuentes de escribir la ecuación de nuestro campo ψ libre. En particular, si m era su masa teníamos, en notación de índices:
Aquí las i etiquetan índices espaciales. Esta misma expresión en forma vectorial sería:
Por otra parte, si usamos el hecho de que el autovalor de las derivadas son sus momentos asociados tenemos:
Aquí, donde E es la energía y p el momento lineal del campo, vemos que la energía del campo libre es igual a su energía cinética. En forma vectorial, por su parte, tendríamos:
Además, habíamos visto el operador hamiltoniano H:
De la última ecuación se puede deducir la siguiente expresión para la derivada temporal del campo:
Y que, por tanto, podemos decir que el campo evoluciona temporalmente siguiendo una exponencial compleja:
Aquí hemos indicado entre paréntesis que el resto de la función que describe el campo sólo depende de las coordenadas espaciales. La ecuación expuesta será cierta siempre que ningún campo externo con el que actúe el de Schrödinger dependa del tiempo, que será lo habitual en estas entradas.
La ecuación de Schrödinger generalizada:
En el caso libre, la lagrangiana L de nuestro sistema libre era:
Esto puede ser reescrito mediante el formalismo de Dirac como:
Podemos añadir un término de interacción con un campo escalar V externo «ensandwichándolo» entre coestado y estado:
Este campo nuevo tendrá que ser hermítico para que la lagrangiana lo siga siendo, lo que implica que además será real. Esto nos dejaría una lagrangiana, en conjunto, tal que:
El criterio para decir si un término de una lagrangiana es libre o de interacción es bastante simple: es de interacción si en él aparece más de un campo.
Las ecuaciones de Euler-Lagrange que debemos considerar entonces son:
El primer miembro de la ecuación, para coordenadas temporal y espaciales es:
El segundo miembro, por su parte, es:
Sumando las partes del primer miembro e igualando al segundo tenemos:
Y reagrupando llegamos al fin la ecuación de Schrödinger generalizada:
En particular, si el campo de interacción no depende del tiempo, en el miembro de la izquierda podemos sustituir directamente por la energía:
Como era de esperar, vemos que la energía del campo pasa a ser la cinética más la del potencial/campo de interacción.
El campo de interacción constante:
Supongamos en la última ecuación que el campo V es constante. Podemos despejar la derivada segunda para llegar a la ecuación diferencial:
Las soluciones a esta ecuación obviamente dependerán de la relación entre la energía E y el potencial V. Si la energía es mayor que el potencial, la derivada segunda es proporcional negativamente al propio campo (en sumación de índices la derivada segunda incluía un -). Esa es una propiedad de las funciones armónicas y por tanto la solución será una combinación de las dos habituales:
Aquí hemos introducido el término temporal del campo y al final hemos puesto un 1 para recordar que seguimos teniendo un estado, pero no afecta de ningún modo a lo demás.
En el caso de que la energía sea menor que el potencial en lugar de k es conveniente usar q para resolver la ecuación diferencial:
De este modo el número empleado sigue siendo real. En cualquier caso, en la ecuación diferencial ahora el campo es directamente proporcional a su derivada segunda y eso es una propiedad de las funciones hiperbólicas, de modo que la solución será:
Tanto el coseno como el seno hiperbólicos son funciones exponenciales altamente divergentes, de modo que este campo interpretado como una probabilidad no cumpliría los axiomas de Kolmogorov en ningún caso, ya que podría ser mayor que uno. La conclusión es que la energía no puede ser menor que la energía potencial porque implicaría una energía cinética negativa y este campo no puede existir.
Por último, si la energía es exactamente igual al potencial, la derivada segunda del campo es nula y eso es una propiedad de los polinomios de primer grado:
Este campo tampoco podría existir.
El campo encerrado en un segmento:
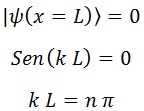
Centrémonos ahora en una dimensión espacial teniendo esto en mente. Podemos definir un potencial que sea infinito en toda la recta real salvo en el segmento [0, L] de longitud L:
Según lo que acabamos de ver, en las regiones de potencial infinito no puede existir campo de Schrödinger, con lo que todo estará confinado en dicho segmento con la forma:
Por lógica, exigiremos que el campo sea continuo, de modo que debe anularse tanto en 0 como en L para adaptarse a las condiciones impuestas por el potencial. El hecho de que se anule en 0 implica que el coeficiente acompañando al coseno sea nulo:
Sabiendo esto, el campo toma la forma:
Por otra parte, que el campo sea nulo en L implica que la fase del seno en ese punto es un múltiplo n de π:
Y esta es la clave de la ecuación de Schrödinger. Al aplicar un campo externo al de Schrödinger vemos que es necesario que su número de onda k tome unos valores muy concretos etiquetados por n. El número de onda no puede tomar cualquier valor, sino los que le permiten adaptarse al campo externo. Comprimir el ratio de acción del campo de Schrödinger es cuantizarlo:
Sustituyendo esto, nuestro campo toma la forma:
Y su conjugado es:
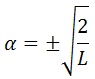
El producto escalar entre ambos, la probabilidad total, debe ser 1, lo que nos lleva a plantear:
Antes de resolver esta integral planteamos el siguiente cambio de variable:
Esto deja la integral del siguiente modo:
Después consideramos la relación entre el seno cuadrado y el coseno del ángulo doble para resolver:
Al final, podemos despejar nuestro parámetro libre para que sea acorde con la probabilidad unitaria:
Con lo que el campo resultante toma definitivamente la forma:
Su derivada temporal, como hemos asegurado, es la energía:
Y su término de segunda derivada espacial es:
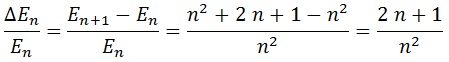
Sustituyendo en la ecuación de Schrödinger, vemos que la energía resultante está cuantizada:
A medida que aumenta el número cuántico n la energía aumenta con su cuadrado, lo que implica los niveles energéticos cada vez están más distanciados entre ellos, puesto que su diferencia aumenta también:
No obstante, aunque subir de un nivel energético al siguiente cada vez requiera más energía para el campo, en escala relativa cada vez el porcentaje de energía extra que tenemos que aportar va tendiendo a cero:
Esto significa que cuando el número cuántico es muy alto y entramos en el dominio clásico es prácticamente imposible apreciar que la energía está cuantizada y por eso la podemos tratar como si fuese continua.
El campo encerrado en una D-caja:
Podemos pensar en el problema anterior como un campo encerrado en una caja de una dimensión espacial. Si el número de dimensiones fuese superior, sólo habría que considerar el producto del campo confinado en cada una de las dimensiones espaciales i de longitud de confinamiento Li y número cuántico propio ni:
Su energía, en este caso, sería la suma de la que aporta cada dimensión:
El efecto túnel:
Consideremos ahora en una dimensión espacial un campo potencial opuesto al caso anterior: superior a la energía cinética sobre el segmento y nulo en el resto del espacio:
Aplicando lo visto, el campo que obtendríamos sería:
En la región intermedia, en la que normalmente diríamos que no puede haber campo, vamos a suponer que es tan pequeña que el hecho de que la definan funciones hiperbólicas no da problemas y que a lo mejor algo se puede propagar por ella. Es importante tener claro que las exponenciales complejas positivas son ondas que se propagan de izquierda a derecha y las negativas al revés. En el caso de las exponenciales reales el criterio es justo el contrario.
Ahora, yendo por términos, supongamos que en la primera región tenemos una onda de amplitud α propagándose hacia la derecha que al llegar al potencial en 0 se divide en otras 2: una que se refleja hacia atrás con coeficiente de reflexión r0 y otra que se propaga hacia adelante con coeficiente de transmisión t0. Supongamos además que la onda transmitida por el potencial al llegar a L también se divide en una reflejada con coeficiente rL y otra transmitida con coeficiente tL. Al otro lado de la barrera no hay onda hacia la izquierda.
Esto deja el campo del siguiente modo:
Por consistencia les exigiremos ser continuos tanto al propio campo como a su derivada espacial, que es:
Esto nos da cuatro ecuaciones con las que fijar los coeficientes de reflexión y transmisión: (1) campo continuo en 0, (2) derivada del campo continua en o, (3) campo continuo en L (4) derivada de campo continua en L:
De la ecuación (4) podemos despejar el coeficiente del reflexión rL:
Y sustituyendo esto en la (3) podemos despejar el coeficiente de transmisión tL:
De la ecuación (2) podemos despejar el coeficiente de reflexión r0:
Y sustituyendo esto en (1) junto con el valor de rL podemos despejar el coeficiente de transmisión t0:
Importante. En la penúltima línea además de sustituir rL se multiplican numerador y denominador por – q e^q L. En la última línea sólo se reagrupa.
A partir de aquí, podemos obtener el coeficiente de transmisión total t como el producto de los otros dos, sustituyendo tL, reagrupando y usando la definición del seno y el coseno hiperbólicos:
Este coeficiente de transmisión, no obstante, por ahora sólo es un factor complejo que multiplica al campo. Para obtener el coeficiente de transmisión que representa la probabilidad de que el campo sea transmitido al otro lado de la barrera hay que obtener el módulo cuadrado del mismo:
Ahora sólo queda recordar las definiciones de k y q:
Y finalmente tenemos una expresión rebuscada para la probabilidad de transmisión:
Vemos que la probabilidad de transmitir el campo disminuye con la magnitud de la barrera y con su longitud, como era de esperar, pero en cualquier caso no es nula. Este efecto no es característico de barreras constantes: siempre que haya una no infinita es posible que un campo con menor energía la atraviese. Esto es posible gracias al principio de incertidumbre, que como vimos en la entrada anterior permite al campo adquirir energía extra durante periodos de tiempo pequeños.
El efecto túnel es el principal causante de que algunos núcleos atómicos se desintegren espontáneamente (un nucleón escapa del núcleo), siendo uno de los efectos que sólo tienen explicación en un contexto cuántico.
En la próxima entrada sobre este tema veremos la interacción con el campo elástico.
Categorías:Carrera, Física, Física cuántica

























































