En la anterior entrada sobre cuántica vimos la forma de la ecuación de interacción del campo de probabilidad de Schrödinger ψ con otro genérico V, viendo que implicaba una cuantización en los posibles valores de la energía que se perdía a escala macroscópica. En esta entrada veremos el campo de Schrödinger sometido a un campo potencial oscilador y veremos que reproduce la energía de Planck de la luz, además de los operadores de creación y destrucción, que son fundamentales tanto en teoría cuántica de campos como en teoría de cuerdas.
La ecuación de Schrödinger armónica:
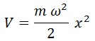
Desde la ley de Hooke, sabemos que la energía potencial en 1 dimensión que repercute en el sistema al que afecta haciendo que oscile armónicamente tiene la forma:
Aquí m es la masa del campo oscilante, ω su frecuencia de oscilación y x su distancia respecto a la posición de equilibrio. El hecho de que esté elevado al cuadrado implica que el potencial tira hacia dentro con la misma intensidad en ambas direcciones.
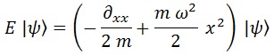
Esto deja la ecuación de Schrödinger en interacción del siguiente modo:
Donde el estado ψ tiene la dependencia temporal habitual al ser el potencial independiente del tiempo, de modo que nuestra duda es su dependencia espacial:
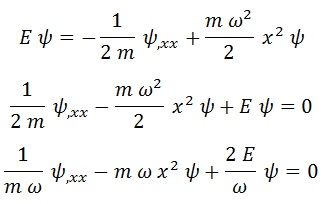
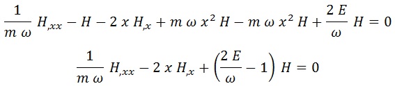
Aquí recordamos que el 1 final sólo se pone para recordar que tenemos un estado, sin que afecte a nada. Sustituyendo esta expresión en la ecuación de Schrödinger y representando las derivadas con una coma, tenemos:
En el último paso se ha multiplicado por 2 y dividido por w. Esta ecuación diferencial no tiene solución en término de funciones habituales, por lo que tenemos que recurrir a técnicas y expresiones alternativas.
La ecuación diferencial oscilante, los polinomios de Hermite y la cuantización de la energía:
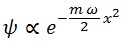
Para resolver la ecuación diferencial expuesta se puede empezar por el caso extremo en el que x es arbitrariamente grande. Cuando eso sucede el segundo término hace que el tercero sea obviable y se llega a que más o menos:
Esta ecuación diferencial tiene 2 soluciones: la exponencial de m w x^2 con signo positivo y negativo. No obstante, una exponencial elevada a infinito nunca puede representar una probabilidad, con lo que nos quedamos con la solución negativa. No obstante, esta no es la solución que buscamos, sino sólo la forma que debe tomar en los extremos de x, con lo que sólo diremos que nuestro campo es proporcional a:
Esto implica que a distancias arbitrariamente alejadas del centro del potencial oscilador la probabilidad de encontrar el campo de Schrödinger es 0. Suponiendo cierta esta proporcionalidad, podemos denominar por H a la parte del campo que nos falta y decir que:
Como necesitamos sus derivadas, podemos obtenerlas y ver que dan:
Sustituyendo en la ecuación de Schrödinger que queremos resolver:
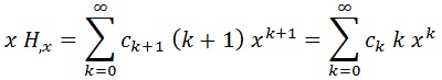
Y esta es la ecuación diferencial de Hermite, motivo por el que hemos llamado H a la función que queríamos obtener. Para resolverla, suponemos que H es expandible como una serie de potencias de x de la siguiente forma (como hicimos para calcular la precesión de Mercurio):
Para obtener su derivada, primero tenemos en cuenta que el caso k=0 desaparece y después redefinimos k para que aparezca de nuevo:
De forma análoga obtenemos la derivada segunda:
Y, como lo vamos a necesitar, obtenemos también:
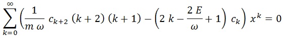
Técnicamente, en este paso tendríamos que haber ascendido a 1 el primer valor de k, pero como en el caso de 0 se anula tanto da. Sustituyendo todo de nuevo en la ecuación de Schrödinger:
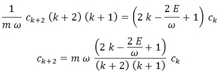
Como queremos que la igualdad se cumpla para cualquier valor de x, necesitamos que los coeficientes que acompañan a todos los x^k se anulen. Esto nos lleva irremediablemente a:
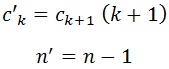
El coeficiente k+2 está relacionado con el coeficiente k según la relación obtenida y cualquier serie de potencias en la que los coeficientes la cumplan será solución a la ecuación de Hermite. No obstante, como no queremos una serie de infinitas potencias porque la probabilidad sería divergente, nos vemos obligados a fijar algunas cosas.
En primer lugar, se puede hacer que el coeficiente k+2 se anule (y consecuentemente el k+4, el k+6…) para un valor de k igual a n siempre que:
Esto implica que según el valor de n elegido tendremos una energía concreta, es decir, que la energía está cuantizada según el número en el que cortemos la serie de potencias. No obstante, si n es par con este método hemos amputado todas las potencias pares superiores, pero no las impares. Viceversa en el caso de que n sea impar. Consecuentemente, para n par fijamos el coeficiente 1 igual a 0 y para n impar anulamos el coeficiente 0. Esto va a implicar que según la paridad de n será la paridad de la función, y tenemos 2 conjuntos de funciones según esta:
Llegados a este punto es importante recapitular: no estamos diciendo que las condiciones impuestas sean necesarias para resolver la ecuación diferencial, sino que son necesarias para que la solución pueda representar una probabilidad.
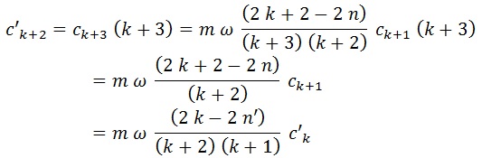
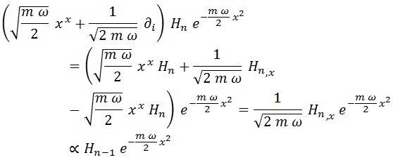
Es posible pasar derivando de un polinomio par/impar de Hermite a su impar/par de orden inmediatamente inferior derivando (como era de esperar). En particular, para un polinomio par derivado sucede que:
Donde se ha redefinido:
Se puede demostrar fácilmente que los coeficientes redefinidos cumplen entre ellos la relación de Hermite:
Consecuentemente, hemos demostrado que la derivada de un polinomio de Hermite par es proporcional a su impar inferior, y la demostración es análoga para el caso de la derivada del polinomio impar:
El motivo por el que escribimos proporcionalidad y no igualdad es que el primer coeficiente (del que dependen los demás) no lo hemos fijado.
El operador número y los operadores de escalera o creación y destrucción:
A partir de todo lo visto, tenemos que el campo oscilatorio en su estado n tendrá la forma:
Aquí, una vez máz, el 1 del final no significa nada más que que tenemos un estado. El coeficiente suelto del polinomio de Hermite se define de tal forma que la probabilidad total del campo sea 1, como vimos en el caso de la interacción constante. Como no es rápido ni necesario, obviaremos ese cálculo y consideraremos directamente que está correctamente definido (porque sabemos que se puede definir).
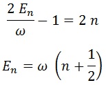
Un aspecto importante de los autoestados de la energía vistos es que para ascender de un nivel energético al siguiente siempre hace falta una misma cantidad de energía igual a la frecuencia de oscilación:
Esta es la ecuación de Planck, como ya comentamos. No obstante, hay que destacar el hecho de que en el estado fundamental, de n nulo, tenemos una energía de vacío igual a la mitad de la frecuencia. Es la mínima que puede tener el campo oscilante.
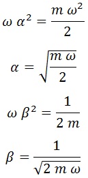
Visto que para ascender/descender de un nivel a otro sólo hay que sumar/restar la energía de Planck al campo, estaría bien tener un par de operadores que tuviesen ese efecto sobre cualquier estado. Para encontrarlos, buscamos un operador a tal que se pueda redefinir el hamiltoniano del siguiente modo:
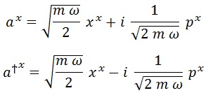
Podemos probar suponiendo que a es una combinación lineal de los operadores espacio y momento tal que:
Las x arriba indican la coordenada espacial a con la que estamos trabajando. Esto implica que su adjunto tendrá la forma:
Donde es importante recordar que:
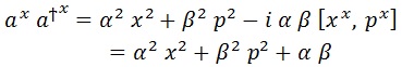
El producto de a con su adjunto da:
Aquí hemos usado el conmutador canónico entre x y p. Por otra parte, el producto inverso es:
Sustituyendo esto en el hamiltoniano propuesto:
E igualándolo al hamiltoniano habitual se obtienen los coeficientes:
Esto deja al operador a y su adjunto de la forma:
Su conmutador, por otra parte, resulta dar la unidad:
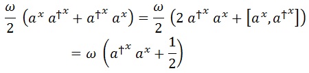
Consecuentemente, podemos expresar el hamiltoniano del siguiente modo:
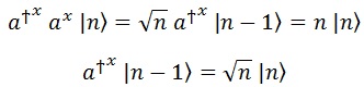
Y, teniendo los autoestados de energía, debe cumplirse que:
Esto implica que el adjunto de a por a es tal que aplicado sobre un estado n devuelve como autovalor n. Se define así el operador número N, de fundamental importancia en física de partículas:
Para finalizar, veremos cómo actúan a y su adjunto solos sobre los estados. En el caso de a, tenemos:
Una vez más, el 1 no significa que sea el estado 1 de oscilación. Sólo que tenemos un estado. Despreciando la parte temporal, obtenemos que el resultado es proporcional al estado n-1:
El factor de proporcional, desconocido, en todo caso sabemos que será real y lo denominaremos por α, cumpliéndose:
Y si esto es cierto, en el caso conjugado tendremos:
Combinando ambas cosas, y el hecho de que el promedio del operador número debe ser n, tenemos al fn el valor de α:
Y sabiendo esto podemos obtener cómo actúa el adjunto de a sobre un estado:
Por motivos obvios, a es denominado el operador de destrucción de estados, ya que reduce el valor de n que tienen, mientras que su adjunto es denominado el operador de creación de estados. El conjunto de los 2, además, se denomina el de operadores escalera, ya que permiten subir y bajar en niveles energéticos.
En particular, aplicar el operador de destrucción al estado fundamental destruye el campo oscilatorio:
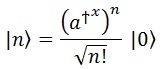
Por el contrario, aplicar n veces el operador de creación al vacío resulta en:
Consecuentemente, una forma válida de definir el estado n es:
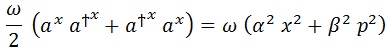
Ampliación a más dimensiones:
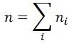
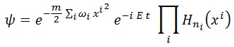
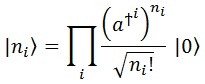
En el caso de tener más dimensiones, cada una tendría su propio número de oscilación ni (donde i etiqueta las coordenadas espaciales) y todos sumarían el total:
El campo tomaría la forma:
Y finalmente los estados podrían representarse como:
En la próxima entrada veremos el campo de Klein-Gordon y cómo todo esto está relacionado con cuantizar la acción.
Categorías:Carrera, Física, Física cuántica, Teoría de Cuerdas

















































