Durante Enero varios periódicos se hicieron eco de que Stephen Hawking había declarado que los agujeros negros no existen, al menos como se solía pensar en ellos. Días después, también se hablaba de que le había copiado la teoría a un becario español que lo desarrolló 4 años antes. Escribo este mini-artículo técnico para explicar qué ha pasado, qué no ha pasado, y si hay alguna relación entre ambas cosas como opinión personal. Seré muy muy breve en los pasos técnicos, con lo que sólo hay que quedarse con las ideas.
Nociones sobre geometría avanzada:
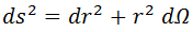
Es bien sabido que si tenemos un triángulo rectángulo de catetos infinitesimalmente pequeños dx e dy, su hipotenusa ds tomará el valor:
Esto es consecuencia de que estamos considerando un espacio euclídeo. Sin embargo, es posible considerar un caso más general según coeficientes g por definir tales que:
Con este enfoque, el espacio euclídeo sería el caso particular en el que los 2 primeros coeficientes serían 1 y el tercero sería 0. Al conjunto de todos estos coeficientes se le denomina métrica g del espacio, porque nos define el concepto de distancia.
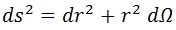
La métrica depende del sistema de coordenadas empleado para describir posiciones del espacio, y en particular en coordenadas polares euclídeas tendríamos:
Esto es consecuencia de que si uno avanza en la dirección radial la distancia que recorre es dr, mientras que si uno avanza en la dirección angular la distancia que recorre es r dσ, como se ve durante la educación secundaria al estudiar movimientos circulares uniformes.
Es muy importante señalar que ds, siempre que esté definido así, con una métrica g de por medio, será un invariante para cualquier sistema de coordenadas.
Los dos casos vistos se extienden a 3 dimensiones como coordenadas cartesianas y esféricas, y el cálculo de distancias pasa a tener la siguiente apariencia:
Por comodidad, solemos introducir dΩ para reescribir en esféricas:
Para ver si una métrica dada en unas ciertas coordenadas es plana en principio estamos bastante indefensos, con lo que es necesario estudiar cómo varía esta por el espacio.
Las pequeñas variaciones de la métrica (primeras derivadas) están caracterizadas por un objeto llamado conexión afín Γ. Sin embargo, Γ tiene una propiedad nada deseable y es que siempre podemos encontrar un sistema de coordenadas equivalente que la anule donde la calculamos, es decir, que siempre podemos plantear un problema en un espacio curvo de forma que parezca plano para pequeños desplazamientos.
Así pues, para ver si un espacio no es euclídeo recurrimos a desplazamientos un poco más grandes (derivadas segundas) y definimos la curvatura R según estas. En esta ocasión ya no hay fallo posible: si existe curvatura el espacio no es euclídeo, pues esta es invariante al igual que ds.
En 1905, Einstein propuso introducir el tiempo como una coordenada más dotando a su componente de la métrica del valor -c2, siendo c la velocidad de la luz en el vacío. Esto, en coordenadas esféricas, implica:
Esto implica que para objetos que se muevan radialmente (se alejan o se acercan al origen de coordenadas):
Si un objeto se mueve a c, ds resultará ser nulo y diremos que sigue una trayectoria tipo luz. Si se mueve más despacio ds resultará ser negativo y diremos que sigue una trayectoria tipo tiempo. Si se mueve más rápido ds resultará ser positivo y diremos que sigue una trayectoria tipo espacio.
El hecho de que sea un invariante de la teoría le da mucha importancia, y en particular se le llama longitud propia de la trayectoria (o tiempo propio, si la dividimos por -c). El tiempo propio de la luz, como hemos visto y seguramente os suene, es nulo. Para trayectorias tipo tiempo, a mayor velocidad menor tiempo propio.
La relatividad general y el agujero negro:
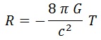
En 1915, Einstein fue más allá y decidió decir que el campo gravitatorio no existía como un ente nuevo, sino que era la métrica g, que dependía de la energía ubicada en el espacio. En particular, relacionó la curvatura R con la “ densidad de energía” T (involucra más cosas pero no viene al caso) en su ecuación:
Para los puristas: esta no es la ecuación de la relatividad general, sino una consecuencia de ella que involucra cálculo de trazas.
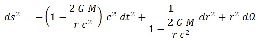
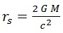
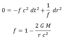
Un mes después de que Einstein propusiese esto, Schwarzschild resolvió el modelo para el caso más sencillo: una masa puntual encerrada en un punto. Esto implicaba que tanto T como R debían ser infinitas en el origen de coordenadas, ya que la densidad de un punto diverge. En el resto del espacio, ambas deberían ser nulas. El resultado fue el siguiente:
Se puede observar fácilmente que existen dos distancias particulares al origen de coordenadas que dan problemas de cálculo. El radio de Schwarz se define como la distancia:
La parte temporal de la métrica se anula (por mucho que avance el tiempo del observador no avanza el tiempo propio del cuerpo que está a esa distancia) y la parte radial se hace infinita (cualquier desplazamiento radial del cuerpo aumenta infinitamente el tiempo propio). A esta distancia se la conoce como horizonte de sucesos por estas extrañas propiedades.
En el origen de coordenadas sucede justo lo contrario, y es donde se encuentra la singularidad en la curvatura.
Nótese que por construcción, como dijimos antes, el horizonte no tiene curvatura R. De hecho, en el sistema de coordenadas del cuerpo que cae, que es “próximo” y en particular “igual” al del mismo, la conexión afín Γ también se anulará y no verá nada raro.
Lo que Stephen Hawking dijo:
Su artículo se llamaba “Preservación de la información y predicciones metereológicas para agujeros negros”, y está disponible aquí: http://arxiv.org/pdf/1401.5761.pdf
Hay un gran problema en compatibilizar un horizonte de sucesos con la física cuántica, y es que no se cumple que el sistema se tenga que poder invertir temporalmente. Si cuando un cuerpo atraviesa el horizonte al invertir el tiempo no puede salir fuera ambas ramas de la física son incompatibles.
Recientemente se plantea la posibilidad de que el horizonte de sucesos tenga temperatura y radie, y una forma de justificar esto es decir que las partículas que lo atraviesan son incineradas, aumentando su entropía y haciendo el proceso irreversible. Esta es la teoría del “muro de fuego”.
El “muro de fuego” tenía un problema, sobre todo para un contexto determinista, y es que buscaba la pérdida absoluta de la información que entra por el horizonte de sucesos al descomponer una partícula bien definida en una superposición de otras posibilidades.
Así que básicamente su “opinión”, porque no plantea ninguna cuenta en el artículo, es que el horizonte es incompatible con una fusión razonable con las teorías cuánticas y es más razonable aunar esfuerzos para derribar los conceptos de horizonte de sucesos y de muro de fuego.
Dado que un agujero negro está caracterizado por tener un horizonte de sucesos, suprimirlo supone que deja de ser el concepto impactante que era y simplemente pasa a ser una gran cantidad de masa extremadamente concentrada que, si bien seguiría siendo arbitrariamente elevada, permitiría salir a las cosas de su interior sin suprimir información como cualquier otra estrella, o al menos suprimiéndola sólo “de forma efectiva”, porque sería igual de caótico que la atmósfera.
Lo que el español Miguel Piñol dijo:
Su primer artículo “sobre este tema” se llamaba “Transición desde la visión establecida de los agujeros negros estacionarios hacia el colapso infinito”, y está disponible aquí: http://arxiv.org/ftp/arxiv/papers/1007/1007.2734.pdf
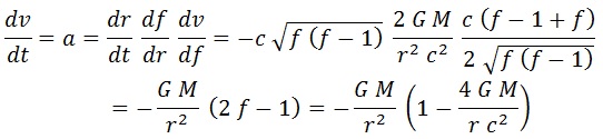
Aunque no haré las cuentas con el mismo nivel de detalle, su razonamiento es el siguiente. Supongamos una trayectoria tipo luz (ds=0) cayendo radialmente a un horizonte de sucesos desde el infinito, que cumple consecuentemente:
De aquí se puede despejar inmediatamente:
Donde hemos usado que la velocidad es equivalente a la variación radial entre la variación temporal y hemos considerado el signo negativo al tomar raíces.
Aquí se puede ver que cuando el rayo de luz está a una distancia infinita su velocidad es negativa (cae) e igual a la de la luz en el vacío, como era de esperar. A medida que se acerca al horizonte su velocidad de caída se aproxima a 0, siendo exactamente 0 sobre el mismo.
Consecuentemente, para un observador externo nunca es posible ver nada atravesar el horizonte de sucesos: las cosas se quedan como congeladas cuando llegan hasta él. Y si no es posible ver nada atravesar el horizonte de sucesos tampoco es posible ver que una estrella colapsante se haga más pequeña que este.
Es decir, nunca podremos ver un colapso estelar que forme un agujero negro porque está prohibido para nuestro sistema de referencia. Como mucho vemos estrellas que casi lo han formado y que cada vez están más cerca de ello, pero en un colapso asintótico sin acabar nunca.
Siendo este el paradigma, los agujeros negros serían “casi-agujeros negros” o, como el autor propone, “valles grises”, y cualquier cuerpo cayendo a ellos podría llegar en tiempo finito porque su superficie está sobre el horizonte, además de poder salir de nuevo por no haberlo cruzado nunca.
El planteamiento de Piñol implica el de Hawking, pero no al revés, con lo que es dudoso que las acusaciones de plagio del segundo sean ciertas y personalmente me declino por pensar que pasó de leerse el artículo de un becario.
Conexión entre la métrica del agujero negro y la gravitación de Newton:
Un cuerpo moviéndose despacio tiene un tiempo propio aproximadamente igual al tiempo del observador que la está analizando (ds2=-c2 dt2). Esto, para la misma caída libre del aparado anterior, implica:
De donde despejamos:
Para obtener la aceleración usamos la regla de la cadena 2 veces:
Finalmente comprobamos que para distancias muy grandes o masas muy pequeñas:
Esta aproximación nos ha indicado cuándo la relatividad general de Einstein debe corregir a la teoría de Newton en caídas libres.
Categorías:Física, Relatividad



















Me ha parecido muy interesante el articulo, tu manejo matemático de la física es envidiable, bueno pero tengo una pregunta, suponiendo que el horizonte de sucesos exista, y vamos poniéndonos en el tal caso, es posible que la gravedad producida por el objeto en si mismo (singularidad), descomponga la estructura espacio-temporal, desarmando dicha estructura, asumiendo que este horizonte sea un limite para el paso del tiempo, así cualquier materia que entre en el mismo, simplemente adquiera estados cuánticos directos, como por ejemplo estados de superposición, o por ejemplo estados mas complejos, como entrelazamiento, que permitan que la materia vuelva al universo mediante estos estados, una especie de llave de salida en el cual la materia que entra, simplemente vuelve a aparecer en algún lugar del universo en forma completamente aleatoria. Convirtiendo asi a los agujeros negros en maquinas recicadoras de energía, teniendo su limite, claramente un limite que desconocemos. ¿Seria posible conjeturar algo así?
El tema no está cerrado y actualmente se trabaja con varias hipótesis que tanto involucran entrelazamientos como no. Por poner un ejemplo, el año pasado Juan Maldacena propuso que el entrelazado podría realizarse siempre mediante agujeros de gusano, de forma que el interior y el exterior del agujero estuviesen siempre conectados. Poco se sabe sobre el tema con certeza.