En la última entrada sobre física cuántica definimos el espín de un campo como el momento angular intrínseco con respecto a su sistema en reposo. Vimos además que dado un momento angular l, en principio el campo puede girar siguiendo 2l+1 patrones diferentes. En esta entrada comentaremos los espines de los dos campos cuánticos más básicos, uno fermiónico y otro bosónico, y en la siguiente entrada veremos con detalle la diferencia sustancial entre ambos casos.
El espín del electrón:
Este número cuántico fue descubierto en 1922 por los físicos Stern y Gerlach, y su experimento consistía en lo siguiente: cogemos electrones (en realidad átomos de plata, pero con las mismas implicaciones), les hacemos atravesar una zona con un campo magnético vertical cuya intensidad depende de la altura y miramos con qué ángulo salen despedidos al final del trayecto.
En su momento vimos que la lagrangiana de una partícula de masa m, carga q y cuadrivelocidad V sometida a un campo electromagnético A tenía la siguiente forma:
Si queremos trabajar con el campo magnético B, debemos recordar su relación con el campo electromagnético A. Concretamente, que es su rotacional:
Recordemos que estamos expresando derivadas con punto y coma. Las letras latinas barren solo coordenadas espaciales. La ε es el símbolo alternante de Levi-Civita.
Para despejar esta ecuación en el sentido inverso siempre resulta útil conceptualmente acordarse del movimiento circular uniforme. En este, la velocidad angular ω es el rotacional de la velocidad V:
Para invertir esta relación geométricamente recurrimos a que, como es bien sabido, la velocidad es el producto vectorial de la posición respecto al eje de giro X y la velocidad angular:
De modo que, análogamente, es cierto que:
Esto nos permite reescribir la lagrangiana del siguiente modo:
Pero si estamos haciendo esto es porque va a estar involucrado el espín o momento angular intrínseco del electrón, de modo que veamos cómo le damos protagonismo. En mecánica clásica, el momento angular es el el producto entre la masa y el producto vectorial de la posición y la velocidad:
Teniendo en cuenta las propiedades de permutación de índices del Levi-Civita podemos establecer, por tanto, la siguiente igualdad:
El signo menos al final procede de estar trabajando con métrica espacio-temporal.
Sustituyendo en la lagrangiana:
Vemos que la energía potencial magnética surge como un producto escalar entre el momento angular y el campo magnético. Habitualmente no afectaría en absoluto, dado que ambos suelen ser constantes y una energía potencial constante carece de utilidad. Sin embargo, dado que estamos suponiendo campo magnético variable aparecerá una fuerza relacionada dada por las ecuaciones de Euler-Lagrange:
Y dado que el campo magnético solo depende en el experimento de la coordenada vertical z, tenemos una fuerza vertical:
Cabe destacar que a mucha gente le hace ilusión desarrollar estas ecuaciones considerando una magnitud definida ad hoc llamada momento magnético μ, pero no es mi caso:
El nombre de «momento magnético» procede de que es el momento conservado del campo electromagnético cuando en la lagrangiana no aparece A explícitamente, pero sí su rotacional B.
Ahora bien, en la ecuación de la fuerza se ve claramente que esta es proporcional al momento angular L, de modo que si la componente Bz del campo magnético fuera monótonamente creciente o decrecente, cabría esperar que para valores positivos y negativos del número cuántico de Lz desviase el campo hacia arriba y abajo, y que para valores nulos lo dejase intacto.
Si el electrón fuese un campo bosónico de momento angular entero, el número de giros posibles según Lz serían tantos positivos como negativos y otro nulo. Sin embargo, al realizar este experimento vieron que las trayectorias de momento angular nulo no aparecían, habiendo sólo una trayectoria en la que el electrón era elevado por el campo magnético y otra en la que era descendido. Consecuentemente, su spin s tenía que ser semientero para poder dar lugar solo a dos tipos de giro y que no hubiese ausencia de este:
Recordemos que esto implicaba que girar el campo cuántico de un electrón 360º en torno al eje de giro no era equivalente a dejarlo quieto, sino que lo invertía de signo. Esta propiedad extraña hasta día de hoy ha sido verificada una y otra vez, y por tanto el electrón es un campo fermiónico.
Cabe destacar que el hecho de que el electrón tenga espín implica que debería estar hecho de cargas girando, pero la física actual no se pronuncia sobre este hecho, quedando relegado a teorías de nueva física.
El espín del fotón:
El fotón representa a un campo bosónico. Si lo giras en torno a su eje 360º se queda como estaba. Sin embargo, pese a poseer espín 1, no puede girar de tres formas sino solo de dos. Esto es debido a las ecuaciones electromagnéticas a las que está sometido.
El fotón, como ya comentamos, representa una alteración de campo electromagnético en forma de onda. Y las ondas electromagnéticas, a su vez, representan oscilaciones de los campos eléctrico E y magnético B. La lagrangiana electromagnética imponía sobre dichas ondas las siguientes condiciones:
- La diferencia entre los módulos de ambos campos debe ser nula a lo largo del tiempo y el espacio.
- Las divergencias de ambos campos deben ser nulas. Ley de Gauss en ausencia de carga en el primer caso y ley de no existencia de monopolos magnéticos en el segundo.
- El rotacional del campo magnético debe ser igual a la variación temporal del campo eléctrico. Ley de Ampére-Maxwell en ausencia de corrientes.
- El rotacional del campo eléctrico debe ser opuesto a la variación temporal del campo magnético. Ley de Faraday.
Partamos de que sabemos que el campo eléctrico oscilará en el tiempo, que su módulo será siempre E0 y que puede haber desfases varios ΔE entre las oscilaciones de sus componentes. Comparando todos los desfases con la componente x, diremos que el desfase de esta es nulo. Impongamos además que la onda se propaga a lo largo del eje z con vector de onda y frecuencia k (coinciden dado que la velocidad de propagación de la luz en unidades naturales es 1):
ΔE no es un vector. La i solo indica que toma valores diferentes dependiendo de la componente.
Si obtenemos la divergencia espacial del campo planteado, dado que solo depende de la coordenada z, llegamos a lo siguiente si imponemos la ley de Gauss:
Para que se pueda cumplir el teorema de Gauss, por tanto, o el número de onda es nulo (no tendríamos onda), o el campo eléctrico es nulo (no habría propagación de nada), o la componente Ez del campo eléctrico propagado es nula. Por sentido común, elegimos esta última opción, lo que nos lleva a una conclusión de vital importancia: las ondas electromagnéticas no pueden transportar campos eléctricos a lo largo de su eje de propagación. Es decir:
Las otras dos componentes, sin embargo, se quedan como estaban.
Ahora si intentamos obtener el módulo del campo eléctrico obtenemos lo siguiente:
Vemos que aparecen sumados los senos de propagación de la componente x y la componente y elevados al cuadrado. Como queremos que el módulo sea solo E0, sin nada de lo que hay entre paréntesis, es necesario que lo del paréntesis valga exactamente 1. Esto se consigue imponiendo que el seno de la componente y sea el coseno asociado a la oscilación de la componente x:
¿Y qué necesitamos que esto se cumpla? Pues que el desfase de la componente y sea de 90º con respecto a la componente x:
El signo queda sin fijar debido a los cuadrados.
Así pues, llegamos a la conclusión de que las dos componentes del campo eléctrico oscilan con un desfase de un cuarto de ciclo en lo que se conoce como polarización circular. Cuando el campo se anula en el eje x es máximo en el eje y, y viceversa. Las ecuaciones de Maxwell dejan como único grado de libertad saber en cuál de los dos ejes va adelantado.
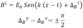
En lo que respecta al campo magnético, sabemos que para que su diferencia de módulos se anule también tiene que tener por módulo E0, y solo habría que investigar qué sucede con sus desfases ΔB, que por cumplir las mismas condiciones que en el campo eléctrico también tendrán una diferencia relativa de un cuarto de ciclo:
Para obtener el valor exacto de los desfases podemos recurrir a la ley de Ampére-Maxwell. Para ello, obtenemos la derivada temporal de E y el rotacional de B:
Igualándo las expresiones y simplificando después obtenemos lo siguiente:
Fijando i igual a x, y por tanto k igual a y, obtenemos que el desfase en y del campo magnético tiene que ser nulo para que ambas expresiones coincidan:
Es decir, que la componente By del campo magnético oscila en fase con la componente Ex del campo eléctrico.
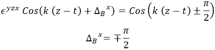
Si por el contrario fijamos i igual a y, y por tanto k igual a x, llegamos a que el desfase en x del campo magnético tiene que ser opuesto al desfase en x del campo eléctrico. Ojo con el signo menos que aparecería por el Levi-Civita:
Es decir, que la componente Bx del campo magnético oscila en fase opuesta con la componente Ey del campo eléctrico.
Combinando todas condiciones, resulta directo ver que para cualquier onda electromagnética mirada desde su cola, el campo magnético siempre está ubicado 90º a la derecha en sentido horario del campo eléctrico, oscilando ambos circularmente en torno al eje de propagación.
El único grado de libertad de giro que tiene un fotón, por tanto, es hacia dónde giran sus campos: en sentido horario o en sentido antihorario. Espín 1 con valores 1 y -1 para m. El momento Lz nulo, que en principio podría estar ahí, es suprimido por las ecuaciones de Maxwell.
Concluimos evidenciando matemáticamente que los campos E y B son perpendiculares:
Los términos se cancelan debido a la imparidad del seno.
¿Y la luz polarizada linealmente?:
Cualquiera que haya estudiado óptica podrá preguntarse cómo es posible que si acabamos de justificar que los fotones siempre tienen campos girando en torno a su eje de propagación existan rayos láser con los campos quietos. Esto es debido a que dos fotones con espín opuesto se pueden propagar juntos dando lugar a un campo resultante donde la oscilación se anula a efectos prácticos, aunque internamente estaría ahí.
Otra justificación para la desaparición de m=0 en el caso del fotón:
La referencia a las ondas de Maxwell es un argumento suficiente para mandar a paseo m nulo, ya que la lagrangiana de la que salen se preserva en mecánica cuántica. El fotón es una onda electromagnética, así que debe estar sujeto a las normas de estas.
Sin embargo, es frecuente recurrir a una justificación alternativa para explicar la ausencia de m nulo. Cuando Lz se anula, el campo estaría oscilando hacia delante y atrás sobre el eje de propagación, dado que tener tiene que oscilar siempre porque el espín del fotón es 1. Solo nos hemos cargado una de sus componentes de giro.
Ahora bien, dado que el fotón se mueve a la velocidad de la luz, esto implicaría campos moviéndose más rápido que esta para poder adelantar a y volver detrás del fotón todo el rato. Dado que la relatividad especial prohibe este hecho, no puede haber fotones con m nulo.
Podemos citar entonces las siguientes causas para que los fotones pierdan un grado de libertad de giro:
- No tienen masa.
- Se mueven a la velocidad de la luz.
- Cumplen las ecuaciones de Maxwell.
Sin embargo, todas ellas se reducen a lo mismo. Si los fotones se mueven a la velocidad de la luz es porque no tienen masa, y si cumplen las ecuaciones de Maxwell es porque ello se lo permite. Si los fotones tuviesen masa las ecuaciones de Maxwell serían incorrectas y se moverían más despacio que la luz.
El rol del espín en la interacción entre electrones y fotones:
Pensemos en lo siguiente:
- El electrón tiene espín 1/2.
- El fotón espín 1.
- El momento angular se conserva en ausencia de fuerzas que lo impidan.
- La fuerza electromagnética conserva el momento angular.
Para compatibilizar todo esto, es necesario que cuando un electrón emite un fotón invierta su espín, de forma que el giro total se mantenga. Análogamente, para que un electrón y un antielectrón se combinen dando lugar a un fotón, es necesario que sus espines estén alineados.
Categorías:Carrera, Física, Física cuántica, Partículas






























