
En la entrada «Una ley universal» resumí en su momento los conceptos más relevantes de la función lagrangiana, y cómo esta puede ser empleada para calcular los diferentes momentos físicos asociados a cada coordenadas y analizar si se conservarían o no. Para todos los fines para los que suele emplear un físico una lagrangiana, incluidos problemas en relatividad o física de partículas, con eso es suficiente. Sin embargo, la teoría te Lagrange tiene algunos extras que tienen cierta utilidad ocasionalmente, como son los multiplicadores de Lagrange. Dedicaremos a ellos esta entrada.
Resumen de la mecánica lagrangiana:
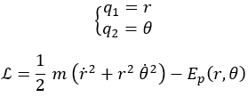
La función lagrangiana, en un contexto general no necesariamente físico, es una función que depende de una serie de parámetros qi, enumerables como q1, q2, etc., de las derivadas de dichos parámetros con respecto a otro parámetro t, las cuales representamos con un punto encima, y del propio parámetro t:

La lagrangiana, además, es una función que tiene que intentar alcanzar un valor extremo. En el caso de un problema físico, se obtiene como la diferencia entre la energía cinética y la energía potencial y el parámetro t es el tiempo. Si trabajamos con coordenadas cartesianas, se cumple:

Mientras que en coordenadas polares:

El momento asociado a una coordenada se calcula como:

Y su derivada temporal se obtiene mediante la ecuación de Euler-Lagrange:

Ligaduras:
Pongamos por caso que tenemos un cuerpo sometido a la acción de la gravedad en la superficie de La Tierra mediante la energía potencial:

La lagrangiana tendría el siguiente aspecto:

Si dejamos a esta lagrangiana obrar, nos describirá el movimiento de una partícula en un sistema donde la energía potencial aumenta con el eje y. No obstante, podríamos estar interesados en analizar el movimiento de dicha partícula sabiendo que está anclada a un cable sobre la recta que pasa por el origen y tiene una inclinación α, respondiendo a la ecuación:

Esta condición impuesta al problema supone lo que denominamos una ligadura. Las ligaduras son igualdades que se le exigen al problema como complemento a su lagrangiana, y siempre permiten suprimir una variable, reduciendo los grados de libertad del problema. Por ejemplo, de esta ligadura que hemos escogido podemos derivar que:

Y, sustituyendo, la lagrangiana toma la siguiente forma:

Tras este cambio, la variable y desaparece de la lagrangiana y tan solo depende de x. Cada ligadura impuesta, en suma, reduce en una la cantidad de coordenadas a analizar.
A partir de aquí, podemos calcular el momento x y emplear Euler-Lagrange para obtener su derivada segunda y relacionarla con la de y:

Se puede comprobar que los resultados tienen sentido. No se produce aceleración en el eje x si el ángulo es de 0º (ya que la gravedad no afecta a cuerpos que solo se puedan mover en horizontal) ni tampoco si es de 90º (ya que sería una caída libre sin aceleración en horizontal). Por otra parte, la aceleración vertical en el eje y solo se anula si el ángulo es de 0º.
Pero aquí tenemos que hacernos una pregunta. ¿Por qué la gravedad, que en principio solo actúa en vertical, afecta a la aceleración horizontal en todos los ángulos intermedios? La respuesta es el efecto de la ligadura. Aunque la gravedad solo actúa en vertical, la ligadura que hemos impuesto entre las coordenadas x e y hace que el efecto de la gravedad sobre una repercuta sobre la otra. La cuestión no es trivial: nuestra ligadura está representando, implícitamente, la existencia de fuerzas extra (las que ligan el cuerpo en movimiento a la barra) cuyo valor y efecto concreto hemos ignorado. Pero, ¿habría alguna forma de obtener el valor de dichas fuerzas y su expresión matemática? Obviamente sí.
Multiplicadores de Lagrange:
Existe otra forma de trabajar con ligaduras mucho más tediosa, la cual en general no interesa salvo que haya mucho interés en analizar los pormenores de un problema. En el análisis anterior obtuvimos tan solo el momento y la ecuación Euler-Lagrange de la coordenada x al emplear la ligadura para suprimir y. Análogamente, si hubiésemos suprimido x tan solo habríamos obtenido la ecuación Euler-Lagrange de y. Sin embargo, podemos complicarnos un poco la vida para preservar ambas y la ligadura.
Comenzamos escribiendo la ligadura como una función f cuyo valor tiene que ser 0, como por ejemplo:

Es muy importante que esta función valga 0. Cualquier otra forma de expresar la ligadura no será rigurosa.
Una vez escrita la ligadura como una función, se la sumamos a la lagrangiana multiplicada por el multiplicador de Lagrange λ:

El multiplicador de Lagrange es un número cuyo valor se puede calcular posteriormente. Lo importante es tener en cuenta que cada ligadura tiene que añadirse con su propio multiplicador sumando, de modo que si, por ejemplo, hubiera tres ligaduras, habría tres multiplicadores. Y al ser cada ligadura f nula, la lagrangiana nueva será tan extrema como lo sea la original.
Por otra parte, los multiplicadores de Lagrange entran en la lagrangiana como una coordenada extra, de modo que también verifican la ecuación de Euler-Lagrange. Dado que sus derivadas temporales nunca van a aparecer, el momento de los multiplicadores siempre será nulo:

Y, al aplicar esto a Euler-Lagrange, la conclusión es que la ligadura es nula, como debía ser por definición:

Y con esto ya estamos preparados para analizar las fuerzas ignoradas previamente.
Fuerzas de ligadura:
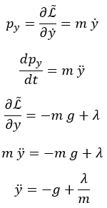
Al reescribir la lagrangiana del problema anterior con un multiplicador de Lagrange, queda del siguiente modo:

Al analizar la coordenada x, obtenemos las siguientes ecuaciones:

Como se puede observar, la aceleración en el eje x es proporcional al multiplicador y, por tanto, es una aceleración / fuerza debida a la ligadura impuesta por la barra.
En lo referente a la coordenada y, tenemos:

En esta ocasión, vemos que en vertical la aceleración es en esencia la de la gravedad, pero que la ligadura de la barra se opone a ella, traspasando parte de la misma al eje horizontal.
A través de la ligadura, podemos reescribir la aceleración en y como:

E, igualando las dos formas de calcular la aceleración horizontal, ya estamos en condiciones de calcular el multiplicador:
El cual, sustituyendo en las fórmulas de las aceleraciones, nos permite ver la expresión concreta de las aceleraciones de ligadura (y de la gravedad en el caso vertical, que ya estaba):

Que son exactamente los mismos resultados que obtuvimos de primeras con el método sencillo.
En resumen, podemos ver que al utilizar multiplicadores de Lagrange llegamos a la misma conclusión, pero por el camino podemos ver qué términos proceden como consecuencia de la ligadura impuesta y cuáles no.
