Carrera

Una ley universal: principio de Hamilton, ecuaciones de Euler-Lagrange, simetrías y teoremas de conservación, hamiltoniano, ejemplos.

Desde que Newton formuló sus leyes allá por el siglo XVII se asumió que los problemas físicos debían de tratarse con el cálculo vectorial básico y las derivadas. Más tarde, con la aparición de la teoría de campos, se pudo tener una visión más global desde el análisis de magnitudes escalares como la energía y el potencial. (El campo electromagnético se analiza mediante esta herramienta a partir del tensor de Maxwell que veremos mucho más adelante). Una conclusión importante que ya extrajimos de la teoría de campos fue que las fuerzas conservativas derivan del gradiente de un campo de energía escalar:

Sin embargo, analizar los sistemas físicos interpretando todas las fuerzas vectoriales que intervenían en ellos era algo poco atractivo, y siempre se ha intentado buscar una ley más cómoda para describir el movimiento que la 2ª ley de Newton:

Principio de Hamilton:

La Naturaleza debía de establecer las ecuaciones del movimiento de los sistemas a partir de un principio más sencillo y elegante, quizás minimizando algo. Y es bastante intuitivo por las experiencias cotidianas que la naturaleza ahorra energía potencial: los cuerpos se «caen» cuando son sometidos a un potencial gravitatorio, los cuerpos cargados tienden a descargarse (las cargas opuestas se unen para anular su carga neta), los muelles buscan su posición de equilibrio…

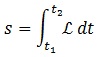
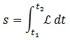
La magnitud que Hamilton decidió que se debía de minimizar fue la acción «s» de todos los sistemas de partículas, definida como la integral de una función lagrangiana «L» desconocida entre dos instantes de tiempo dados:

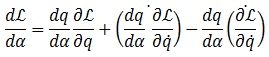
Esta acción, con unidades de Julio*segundo, representaría la magnitud fundamental de la mecánica clásica, en sustitución de la 2ª Ley de Newton. La lagrangiana «L», con unidades de energía (Julios), podría depender de las coordenadas de posición de las partículas y de sus derivadas temporales, así como del tiempo (para cualquier sistema coordenado), pero nunca de las aceleraciones, pues entonces para analizarla ya sería necesario conocer previamente las mismas del sistema, que en realidad es lo que buscamos con este principio. Si denotamos las derivadas temporales con un punto encima, esto es lo mismo que decir:

, donde «q» representa las coordenadas de posición que desconocemos cómo evolucionan con el tiempo. Si consideramos la trayectoria de una partícula sobre una determinada ruta, estará parametrizada según la teoría de curvas por el tiempo.

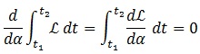
Asimismo, si queremos considerar todas las posibles curvas (trayectorias) que puede seguir la partícula durante el intervalo de tiempo analizado, podemos parametrizarlas según un nuevo parámetro «α», de modo que, según el Principio de Hamilton, nos interesará el valor de «α» cuya curva asociada minimice la acción, es decir:

Teniendo en cuenta esto, podemos expresarlo también como:

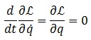
Ecuaciones de Euler-Lagrange:

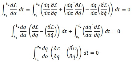
Es importante ver que en los extremos de integración la derivada de «q» con respecto a «α» debe anularse, pues todas las trayectorias posibles deben comenzar y acabar en el mismo punto sin desviaciones.

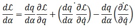
Veamos qué sucede si llevamos esta suposición a la derivada de la lagrangiana:

El tiempo no depende de «α», por lo que su derivada será nula. Como nos estorba la derivada de la derivada temporal de «q» respecto de «α», tenemos que recurrir al siguiente cambio:

 Y ahora ya podemos reexpresar la derivada de la lagrangiana como:

Donde el sumando del medio nos estorba. Para eliminarlo podemos considerar que como «dq/dα» se anula en los extremos de la integral, ese término se anulará y el Principio de Hamilton resulta ser:

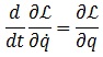
, que como debe cumplirse para cualquier función de desviación «dq/dα» es equivalente a las ecuaciones de Euler-Lagrange para cada coordenada libre «q»:

, que personalmente prefiero escribir de la siguiente forma:

Este conjunto de ecuaciones (una por cada «q» libre distinto) deben ser cumplidas siempre por la lagrangiana si queremos extremizar la acción tal y como especifica el principio de Hamilton.

Euler-Lagrange es un formalismo que ya a simple vista tiene la ventaja de que trabaja con ecuaciones escalares (no vectoriales) y que procede de un principio mucho más elegante que la 2ª Ley de Newton como ya comenté antes.

Así pues, ¿cuál es la lagrangiana de un sistema?

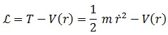
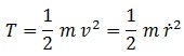
En general, en mecánica clásica, se puede igualar la lagrangiana de un sistema a la diferencia entre la energía cinética «T» y la potencial «V»:

Si relacionamos esto con el principio de Hamilton, lo que estamos diciendo es que toda partícula que va desde un punto hasta otro lo hace siguiente la trayectoria que extremiza la diferencia entre ambas energías a lo largo de sí misma.

Al final de esta entrada, expondré algunos ejemplos que podéis bajar a mirar ya si esto resulta confuso.

Simetrías y Teoremas de Conservación:

Una propiedad importante de la Lagrangiana es que lleva implícita mucha más información de la que puede parecer a simple vista. Un sistema físico puede tener tantos grados de libertad como se quiera, pongamos «N», de los cuales, algunos de ellos estarán sujetos a condiciones de ligadura (ecuaciones que se deben cumplir al margen del principio de Hamilton) que reducen los grados de libertad iniciales, del mismo modo que en un espacio de «N» dimensiones al imponer ecuaciones reducimos las dimensiones del problema (en el espacio con una ecuación determinamos una superficie y con dos una curva). Así pues, el número de coordenadas libres de una lagrangiana es el número de variables que aparecen en ella menos el número de ligaduras asociadas.

Un ejemplo que veremos luego puede ser el movimiento circular uniforme, que en principio tiene dos grados de libertad, el radio de giro y el ángulo, pero tras imponer la condición de que el radio sea constante sólo nos quedamos con el ángulo.

Los parámetros con los que describiremos un sistema físico serán, en general, longitudes, ángulos y el tiempo, que pueden aparecer en la lagrangiana directamente o derivados una vez respecto al tiempo (obviamente el tiempo nunca va a aparecer derivado respecto a sí mismo porque daría 1). La energía cinética «T» siempre dependerá de las derivadas temporales de cada una de las coordenadas libres (a excepción de la del tiempo), mientras que el potencial puede depender sólo de las coordenadas en sí.

En caso de que alguna variable no aparezca explícitamente en la lagrangiana (pero sí su derivada) diremos que es un parámetro simétrico o despreciable, es decir, que da igual cuanto valga y sólo importa su variación. En el caso del movimiento circular uniforme el ángulo recorrido es una magnitud despreciable, pues el movimiento del sistema no depende de él sino de su derivada, la velocidad angular.

Las magnitudes simétricas son de vital importancia para la física teórica (hay una rama de supersimetría encargada de analizar las relaciones entre las partículas subatómicas), ya que llevan asociados teoremas de conservación.

Supongamos que en una lagrangiana la coordenada «q» es simétrica (sólo aparece su derivada). A través de Euler-Lagrange concluimos que:

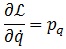
, y por tanto, si integramos respecto al tiempo, vemos que la derivada de la lagrangiana respecto a la derivada temporal de nuestra coordenada simétrica es constante:

Debido a la relevancia de esta derivada, cuyo teorema de conservación en caso de que «q» sea simétrica es tan fácil de demostrar, definimos como momento canónico conjugado de una variable «pq» a dicha derivada:

que NO es constante si la coordenada de la que procede no es simétrica. Según cual sea la coordenada que no aparece explícitamente en la lagrangiana, este momento representará una cosa distinta:

  • Si la coordenada simétrica es el tiempo, su derivada temporal es 1, y su momento asociado tendrá unidades de energía. Si el tiempo no aparece en la lagrangiana se conserva la energía.
  • Si la coordenada simétrica es una distancia, su derivada temporal es la velocidad, y su momento asociado tendrá unidades de momento lineal. Si la distancia no aparece en la lagrangiana se conserva el momento lineal.
  • Si la coordenada simétrica es un ángulo, su derivada temporal es la velocidad angular, y su momento asociado tendrá unidades de momento angular. Si el ángulo no aparece en la lagrangiana se conserva el momento angular.

Todas estas conclusiones se pueden escribir al revés si parametrizásemos la lagrangiana según los momentos conjugados (si no apareciese el momento lineal la distancia sería constante, etc). De aquí concluimos que todas estas magnitudes están relacionadas 2 a 2 de un modo bastante profundo. En la última entrada sobre relatividad especial ya se podía apreciar con la cuadriposición y el cuadrimomento que el tiempo derivava en la energía y que la distancia derivaba en el momento. Asimismo, en mecánica cuántica, el principio de incertidumbre de Heisenberg relacionará las incertidumbres de medida de dichas magnitudes entre ellas, que además serán transformadas de Fourier unas de las otras.

Hamiltoniano:

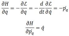
Existe otra forma analítica de obtener las ecuaciones de movimiento de un cuerpo a través de una magnitud numérica «H» llamada Hamiltoniano, pese a que se cree que Lagrange la había descubierto ya antes, y que se define como la suma de productos de cada derivada temporal por su momento asociado menos la lagrangiana del sistema:

El Hamiltoniano tiene la propiedad de que si la energía se conserva (no aparece el tiempo), es idéntico a ella, y por tanto, si el tiempo es una magnitud simétrica:

Esta simple ecuación definirá la ecuación de Schrödinger de la mecánica cuántica, en la que la energía de una partícula subatómica vendrá asociada al hamiltoniano del sistema.

Si queremos obtener las ecuaciones del movimiento a través del Hamiltoniano simplemente hay que obtener sus dos principales ecuaciones de derivación:

, las cuales, salvo una diferencia de signo, serían simétricas en las variables «p» y «q». El cuál de las dos ecuaciones se vaya a usar dependerá de cuál de las dos variables se use para definir el Hamiltoniano.

Ejemplos:

Tras haber visto la teoría, es importante comprobar que este formalismo no rompe con todo lo anterior, y que seguimos obteniendo los mismos resultados.

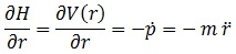
.-Partícula frente a una energía potencial radial:

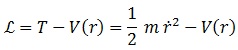
Supongamos una partícula que se mueve sobre una recta y que posee una energía asociada a la distancia a un punto dado de la misma «r». Su posición vendrá descrita por «r», y su velocidad por la derivada temporal de «r». Así pues, su energía cinética será:

, y su lagrangiana:

Como el tiempo no aparece en la lagrangiana la energía se conserva (cosa que ya podíamos deducir de que el potencial era conservativo).

Si aplicamos las ecuaciones de Euler-Lagrange obtendremos que:

, que teniendo en cuenta que la derivada segunda de la posición es la aceleración y que la masa por la aceleración es la fuerza, podemos expresarlo como:

La primera ecuación que mencionamos en esta entrada.

Para obtener el Hamiltoniano de este sistema, tendremos que obtener la expresión del momento lineal:

, y después aplicamos su definición:

Como se puede apreciar, el Hamiltoniano ha resultado ser la suma de ambas energías debido a que la total se conserva. Si ahora queremos obtener las ecuaciones del movimiento, dado que lo tenemos todo expresado según «r», tendremos que usar la ecuación:

, que es la misma ecuación que obteniamos con Euler-Lagrange.

.-Cuerpo en movimiento circular plano:

Podemos determinar un movimiento circular en el plano x-y con radio «R» y ángulo recorrido «σ» como:

, de modo que su velocidad será:

Como para definir la energía cinética necesitaremos el cuadrado de la velocidad, es útil quedarse con el producto escalar de la velocidad por sí misma:

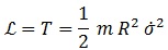
Y como no hay ninguna energía potencial, el lagrangiano será la propia energía cinética:

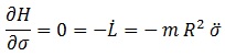
Originalmente, el problema en el plano tendría dos coordenadas libres, la distancia y el ángulo, pero como hemos fijado la primera sólo nos ha quedado el ángulo. Dado que el tiempo no aparece en la lagrangiana, la enegía se conserva, y dado que el ángulo es simétrico (no aparece sin derivar) el momento angular también. Lo mismo se puede decir del momento lineal, pues el radio aparece pero no es una coordenada libre. Si aplicamos Euler-Lagrange:

De esta ecuación deducimos que el momento neto de fuerzas sobre la partícula es nulo, y que por tanto no poseerá ningún tipo de aceleración. El movimiento será circular y uniforme o nulo.

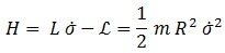
Para obtener su Hamiltoniano calculamos primero su momento angular:

, que debido a que la coordenad angular es simétrica, será constante. Ahora obtengamos el Hamiltoniano:

La conclusión es que el Hamiltoniano y la lagrangiana son iguales, y que además ambos coinciden con la energía del sistema. Si queremos obtener la ecuación del movimiento a partir del Hamiltoniano, nos resulta automáticamente:

De nuevo, obtenemos la misma ecuación que con Euler-Lagrange, con la particularidad de que esta vez pasamos explícitamente por decir que el momento angular no varía, y por tanto es constante.

Conclusión:

En base a lo visto en esta entrada, veremos cómo calcular la trayectoria del agua en un vaso en movimiento y las ecuaciones de movimiento de los planetas según la mecánica clásica. Asimismo, cuando obtengamos la lagrangiana relativista, calcularemos la desviación de los astros debida a la relatividad especial, y en concreto la de Mercurio.

Categorías:Carrera, Física

13 respuestas »

  1. Socio muchas gracias por tu blog… explicas las cosas muy bien. Se ve que todo lo que aprendes en la universidad lo expones aqui. Estoy en segundo de fisica y muchas cosas que se me quedan en el aire les encuentro solucion aqui. Gracias.

  2. Mucho más erótico Hamilton que Heuler en la granja, usted dice que «da lo mismo que se obtenía en la granja», pero no, en esa otra… hay ya senos, cosa que se agradece… y el enlace ese que tiene a la derecha «I fucking love science» toda una trampa, (no se lo perdonaré jamás)

  3. hola, mira ¿sera que úedes hacer una publicación con respecto a los vínculos y coordenadas generalizadas en las ecuaciones de lagrange? seria de gran ayuda

Preguntas, correcciones y debate son bien recibidos.