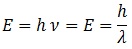
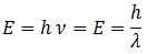
En 1905, Max Planck cuantizó la energía de los haces de luz asegurando que siempre era un múltiplo de una constante diminuta, que conocemos como la constante de Planck:

Desde ese momento, cuando los experimentos confirmaron la ecuación, se asumió que la luz poseía una naturaleza ondulatoria, pues su energía dependía de su frecuencia de oscilación «ν». No obstante, con la llegada de la teoría de la relatividad especial de Einstein analizada en la última entrada, se tuvo que reconsiderar la posibilidad de que la luz también fuese una partícula.
Si una partícula no tiene masa, se mueve a la velocidad de la luz:
La idea de que la energía de la luz fuese energía cinética era inconcebible antes de la relatividad debido a que la energía y la masa estaban asociadas linealmente, y no se podía obtener una sin la otra. Dado que la luz no tenía masa, se asumía que su energía no era cinética.
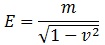
En cambio, las ecuaciones de Einstein, que siguen relacionando ambas magnitudes, permitían la obtención de energía sin masa. Veamos la expresión general de la energía relativista:
*en el sistema de unidades en el que la velocidad de la luz vale 1.
Si expresamos esto en función de la velocidad:
, ciertamente cuando la masa es nula parece ser que la energía también lo es. No obstante, si la velocidad fuese 1, es decir, igual a la de la luz, el denominador también se anula y obtenemos una indeterminación. El único modo de que la energía de la luz no se anule automáticamente es que se mueva a la velocidad de la luz.
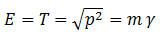
En este caso, toda su energía sería cinética:
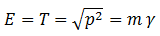
Asimismo, dada la otra ecuación de la energía relativista:
, como la masa es nula, toda la energía se deberá al momento lineal «p«. En conclusión, para el fotón se cumple:
, donde expresamos el módulo del momento como la raíz del producto escalar consigo mismo.
En base a estos artificios matemáticos, era razonable pensar que la luz, pese a la ecuación de Planck, podría ser una partícula. La dificultad entonces era demostrar que estas ecuaciones eran ciertas. ¿Qué se podría hacer?
Efecto Compton:
Cuando la luz colisiona con la corteza de un átomo, más concretamente con un electrón de la misma, se desvía y su frecuencia ondulatoria es alterada. El modo en que esta frecuencia cambiaba era algo completamente desconocido a principios del siglo XX, hasta que a Arthur Compton se le ocurrió intentar calcularlo combinando las ecuaciones de Einstein con las de Planck del siguiente modo:
Al hacer esto, Compton asumió que la luz era a la vez una onda y una partícula, el fotón, y que su energía se podía obtener a partir de cualquiera de sus dos naturalezas.
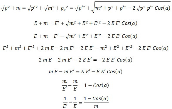
Si consideramos el choque del fotón con el electrón:
vemos que la trayectoria del electrón se desvía un ángulo dado «α», perfectamente medible en el laboratorio, alterando su frecuencia y por tanto su longitud de onda en una cantidad también medible. Asimismo, Compton también disponía del valor teórico de la masa del electrón y de la longitud de onda inicial del haz de luz.
Con estos datos, es posible analizar el problema como un choque relativista de partículas y después analizar los resultados ondulatorios con la energía resultante.
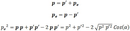
Así pues, enfocaremos el problema como un choque elemental, con la conservación del cuadrimomento relativista, que incluye en él la conservación de la masa, la de la energía y la del momento lineal. Denotaremos por «p» al momento lineal inicial del fotón incidente, a «me» la masa del electrón, a «p’» al momento del fotón tras el choque, y «pe» al momento del electrón tras el choque.
Si recordamos que el cuadrimomento de una partícula se definía como:
Si consideramos las componentes vectoriales del cuadrimomento, podemos obtener el módulo cuadrado del momento del electrón en función de los momentos del fotón antes y después del choque:
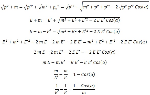
Si ahora igualamos las primeras componentes del cuadrimomento, cambiamos los módulos del momento por su energía de Planck asociada y simplificamos la ecuación obtenemos:
Ahora, si nos remitimos a Planck, la frecuencia puede ser cambiada por la inversa de la longitud de onda entre la velocidad de la luz. Asimismo, como estamos en el sistema de unidades en el que la velocidad de la luz vale 1:
Y si aplicamos esto en la ecuación obtenida:
Este desfase en la longitud de onda de la luz en función del ángulo de desviación del fotón pudo ser comprobado experimentalmente montones de veces con exitosos resultados, por lo que desde entonces se asume como correcto.
La conclusión, como veníamos anunciando, es que la luz es a la vez una onda y una partícula (dualidad onda corpúsculo), pues posee propiedades de ambas.
Categorías:Carrera, Física, Relatividad



Esta mala la demostración, falta la variable c.
sólo hace perder el tiempo
en la entrada sobre relatividad en la que me refiero al principio explico que no la uso!
nadie pone la «c», por el amor de dios
Ademas de que «c» por definicion no es variable, sino una constante
La longitud de planck no era: 6,63 x 10 a la menos 34? Js
Sí, se ha colado el 6,67 de la constante G, aunque no afecta a la demostración.