Para poder calcular la desviación relativista de la órbita de Mercurio, como vengo anunciado que explicaré, previamente será necesario analizar las órbitas de los planetas desde un punto de vista clásico, pues en el caso relativista aproximaremos en base a la solución clásica, que es exacta. Así pues, en esta entrada analizaremos con el formalismo lagrangiano el movimiento de cuerpos bajo atracción gravitatoria.
Potencial de Newton:
La ley de la gravedad de Newton establece que un cuerpo de masa «m» es atraido por otro de masa «M» según la inversa de la distancia «r» que los separa:
, donde «er» es el vector unitario en la dirección que une los cuerpos y «G» la constante de gravitación universal. Si a partir de esto queremos conocer su energía potencial asociada debemos recurrir a la relación de teoría de campos:
Este será entonces nuestro potencial «V» de la lagrangiana del sistema:
Grados de Libertad:
Si tenemos dos cuerpos quietos en un espacio de tres dimensiones que se atraen con la fuerza de Newton, la única variable será la distancia entre ellos «r». Asimismo, si consideramos que uno de los dos (el de mayor masa) está quieto en el instante inicial, y el otro (de menor masa) se mueve uniformemente desviando un ángulo «σ» la recta que los une, éste será nuestro nuevo grado de libertad.
Dado que la única fuerza será la gravitatoria, si el segundo cuerpo está en movimiento, únicamente lo acercará al primero, y toda la trayectoria estará contenida en un plano, pues no hay ninguna fuerza que empuje al segundo cuerpo de un modo perpendicular a su vector velocidad y a la fuerza gravitatoria.
Matemáticamente, si el cuerpo quiero está en el origen de coordenadas «O«, y el otro está en un punto del plano «xy» con un vector velocidad también contenido en dicho plano, no hay nada que lleve al segundo cuerpo a salirse del plano.
En resumen, todo el movimiento está contenido en el plano que generan el vector velocidad y el vector de la fuerza gravitatoria. Debido a ello, el sistema tendrá 2 grados de libertad que, por comodidad, seleccionaremos en coordenadas polares (la distancia «r» y el ángulo «σ» ya mencionados).
De todos modos, si intentamos describir el movimiento del segundo cuerpo en este sistema resultan integrales irresolubles y nos topamos con un muro imposible de cruzar en nuestro cálculo. Debido a ello, seleccionaremos un sistema de coordenadas más abstracto pero integrable.
Sistema Centro de Masas:
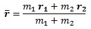
El centro de masas de un sistema de dos partículas de posiciones «r1» y «r2», y de masas «m1» y «m2» se define como la media pesada de sus posiciones:
como queremos expresarlo todo en función de la distancia «r» que separa ambos cuerpos, recurriremos a la fórmula que nos da la distancia entre dos vectores:
Si sustituimos esto en nuestra expresión original obtenemos:
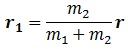
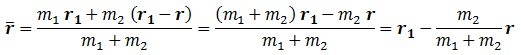
Ahora, estratégicamente fijamos que el centro de masas esté quieto en el origen (sistema centro de masas). De este modo, las posiciones «r1» y «r2» son las posiciones de los cuerpos relativas a su centro de gravedad, y podemos expresar la posición de «r1» en función de la distancia «r» entre ambos cuerpos:

De donde concluimos que la posición de nuestro cuerpo móvil (en realidad respecto al centro de masas ambos están en movimiento) se puede definir en coordenadas polares según «r» y «σ» como:
Apréciese que la posición «r2» tendrá signo opuesto (está diametralmente opuesta por el origen de coordenadas), y en lugar de poseer un «m2» en el numerador llevará un «m1»:
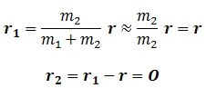
Es interesante también observar que en el caso de que la masa mayor, «m2», sea mucho más grande que la pequeña, «m1», la suma de ambas es prácticamente «m2», y la posición del cuerpo pesado es aproximadamente el propio centro de masas, mientras que «r» coincide prácticamente con «r1«:
O dicho de otra forma, si resolvemos el sistema respecto al centro de masas, y la masa grande es mucho mayor que la pequeña, es prácticamente con si estuviésemos usando el sistema de referencia respecto a la masa grande, y «r1» representa la distancia entre ambos cuerpos, «r», con una fiabilidad muy grande. Éste es el caso del Sol con La Tierra, La Tierra con la Luna, o incluso un agujero negro con una estrella.
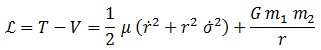
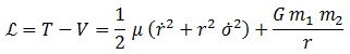
Lagrangiana:
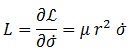
La lagrangiana de un sistema, como ya sabemos, se define como la diferencia entre su energía cinética «T» y su energía potencial «V»:
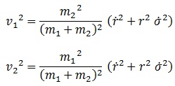
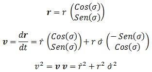
Como para la energía cinética de cada cuerpo necesitamos el cuadrado de su velocidad será necesario derivar sus posiciones «r1» y «r2» y multiplicarlas escalarmente por sí mismas. Como ambas posiciones están parametrizadas según su radio y el mismo ángulo «σ» de giro, calcularemos la velocidad cuadrada generalizada en coordenadas polares para después adaptarla a cada cuerpo:
Ahora para obtener «v1» y «v2» tenemos en cuenta las ecuaciones ya vistas:
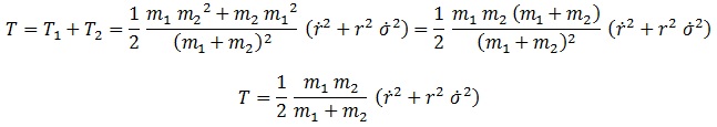
Finalmente, para obtener la energía cinética de cada cuerpo multiplicamos por sus masas y dividimos entre dos:
Y la suma directa nos da la «T» de la lagrangiana:
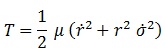
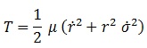
Por comodidad, introducimos la constante:
, que nos simplifica la expresión bastante:
En resumen, la lagrangiana nos queda:
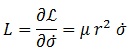
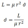
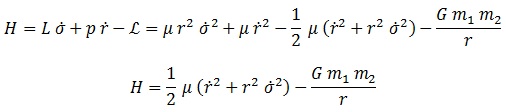
Dado que en la lagrangiana no aparecen explícitamente ni el tiempo ni el ángulo «σ» sin derivar, van a existir dos cantidades conservadas, la primera de ellas la energía y la segunda el momento angular. Para obtener la expresión del momento angular, usamos la definición del mismo, que posteriormente emplearemos para el Hamiltoniano y las Leyes de Kepler:
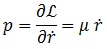
Asimismo, pese a que no se conserve, nos será conveniente obtener la expresión del momento lineal:
Ecuación Diferencial:
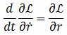
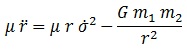
Si aplicamos las ecuaciones de Euler-Lagrange para la distancia «r» (las cuales omitimos para «σ» por ser una cantidad simétrica pero usamos indirectamente), obtenemos la ecuación diferencial del movimiento:
Si nos fijamos, esta expresión no significa otra cosa más que que la fuerza resultante que varía la distancia entre los dos cuerpos aumenta con la fuerza centrífuga y disminuye con la gravitatoria, o dicho de otro modo, cuando más rápido giran los cuerpos según la derivada de «σ» más se alejan entre ellos, y cuanto más cerca están con más fuerza se atraen. En caso de que se de el equilibrio entre estas dos fuerzas, la distancia entre ambos aumentará o decaerá linealmente, o incluso permanecerá constante en una órbita circular.
Ahora bien, resolver esta ecuación para obtener «r» en función del tiempo de forma exacta excede el conocimiento actual de ecuaciones diferenciales, y lo único que se puede resolver es «r» como una función de «σ», como haremos en breve.
Hamiltoniano:
El Hamiltoniano de este sistema, que coincidirá con la energía, lo construimos mediante su definición:
Gracias al Hamiltoniano, daremos un rodeo que nos facilitará obtener «r» en función de «σ».
Integral de Movimiento:
Existen varios modos de obtener una expresión analítica para «r» según el ángulo. Aquí realizaré por completo uno de ellos, y en la entrada sobre la órbita de Mercurio mencionaré por encima.
En primer lugar, necesitaremos despejar las expresiones de la derivada de «σ» y la derivada de «r», una de ella a través del momento angular, y la otra a partir del Hamiltoniano.
Para la derivada de «σ» simplemente deberemos tener en cuenta:
Para la derivada de «r», en cambio, habrá que reintroducir el momento angular en el Hamiltoniano, al que ya comenzaremos a llamar energía, y despejar:
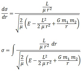
Ahora, si dividimos una derivada entre la otra, obtenemos:
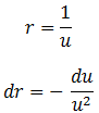
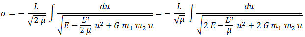
Para llevar a cabo esta integral, es recomendable hacer un cambio de variable del tipo:
, que nos deja la integral como:
Ahora, buscaremos en el denominador la raíz de la diferencia entre 2 cuadrados para poder formar una integral del tipo arcocoseno. Para ello, comenzaremos introduciendo el 2 dentro de la raíz interior a la integral:
Para seguir, multiplicamos y dividimos la raiz de la integral entre «μ» y entre el cuadrado de «G m1 m2», sacando fuera de la raíz la parte que multiplica:
LLegados a este punto, puede parecer que sólo estamos complicando la cosa, pero en breve quedará todo simplificado. Sigamos multiplicando y dividiendo todo por el momento angular, e introduciendo dentro de la integral el que divide:
Ahora comenzaremos a simplificar, introduciendo la constante «λ» con unidades de longitud:
La variable «λ» será un parámetro importante de las órbitas, como veremos después, y al introducirlo en nuestra integral resulta:
Si nos fijamos, dentro de la raíz tenemos el cuadrado de «λ u» y «2 λ u» con el signo opuesto, lo que significa que si tuviésemos otro 1 restando, podríamos formar el cuadrado de una resta. Así pues, el siguiente paso será sumar y restar uno para formar dicho cuadrado restando:
Ahora, como queríamos tener una resta de cuadrados en el denominador, introducimos la otra variable relevante «ε» sin unidades, de forma que:
Gracias a esto, obtenemos la resta de cuadrados deseada y amañamos la integral para que tome la forma de un arcocoseno:
Y, con esto, nos resulta una integral directa y acabamos con el proceso de integración:
Ahora, haciendo los cambios pertinentes, podemos obtener definitivamente «u» en función de «σ»:
, y teniendo en cuenta que «u» es la inversa de la distancia «r» entre los cuerpos:
A simple vista ya podemos comprobar que es una ecuación dimensionalmente correcta, por lo que podemos estar satisfechos.
Tipos de Órbita:
Observando la ecuación de «r» podemos apreciar unas cuantas cosas a simple vista. Dado que «ε» es una raíz, sólo puede tomar valores entre 0 e ∞, pero nunca negativos, por lo que es fácil analizar cómo evoluciona el denominador.
.-ε=0:
En este caso la distancia entre los cuerpos es constante y describen una órbita circular de radio «λ», de modo que «λ» es un parámetro tan importante como veníamos anunciando.
.-0<ε<1:
En este caso, el denominador oscilará entre dos valores máximo y mínimo, según oscile «σ». Estos valores críticos los obtendremos para un giro de 0º (el mínimo) y para un giro de 180º (el máximo), y cuando el giro sea de 90º o 270º la distancia entre ambos será «λ». Si recordamos las cónicas, es evidente que nos encontramos ante una elipse en la que el cuerpo pesado* actúa de foco y el otro oscila a su alrededor. Debido a ello, surgen los radios máximo y mínimo que analizaremos en el siguiente apartado.
*Técnicamente, ambos cuerpos pueden pensar, desde su sistema de referencia, que es el otro el que gira a su alrededor, por lo que decir que el pequeño gira en torno al grande no es más que un convenio.
.-ε=1:
En este caso, cuando el giro es de 180º el denominador se anula y la distancia entre ambos cuerpos toma un valor infinito. En este caso, dado que la distancia no hace más que aumentar hasta tomar el infinito y es el único punto por culpa del cual la órbita se rompe, decimos que estamos ante una órbita parábolica, que además es la forma del recorrido del cuerpo que se aleja.
.-ε>1:
Una vez que el ángulo comienza a aumentar, llega un determinado momento, antes de los 180º, que el denominador se anula y el cuerpo deja de orbitar. Debido a ello, como un cuerpo no puede alcanzar el infinito, en este caso nos encontraremos ante un ángulo límite de orbitación que el cuerpo que se escapa nunca llegará a alcanzar (salvo correcciones debidas a otros cuerpos que pasen a tener más relevancia). En este caso decimos que la órbita es hiperbólica, dado que tiende asintóticamente al infinito.
Es importante apreciar que el parámetro «ε» determina la excentricidad de los distintos tipos formas cónicas que hacen las órbitas. Por ello, nos damos cuenta de que haber escogido este parámetro durante la integración ha sido todo un acierto.
Por otra parte, «λ» determina la distancia a la que se encuentran los cuerpos, sea cual sea el tipo de órbita, cuando han girado 90º o 270º (si bien las órbitas parabólicas y las hiperbólicas nunca alcanzarán los 270º).
Analicemos ahora de qué depende el tipo de órbita con más detalle a partir de la ecuación:
La magnitud más importante que tendremos que analizar es la energía del sistema, es decir, el Hamiltoniano. Consideraremos ahora los 4 casos distintos, apreciando que la energía puede ser negativa porque la energía potencial gravitatoria lleva un signo menos delante.
.-H=0:
Si la energía se anula, la excentricidad es unitaria y la órbita será parabólica.
.-H>0:
Basándonos en el resultado anterior, si la energía es positiva, la excentricidad será mayor que 1 y por tanto las órbitas serán hiperbólicas.
.-H<0:
Si la energía es negativa, la excentricidad será menor que 1 y hablaremos de órbitas elípticas.
.-Hmin:
Dado que la excentricidad no puede ser menor que 0, existe un límite inferior para la energía que podemos calcular sencillamente igualando a 0. En este caso las órbitas serán circulares:
En el caso de que las órbitas sean elípticas (energía negativa) como las de los planetas alrededor del Sol, Kepler descubrió en el siglo XVII que había tres leyes que regían su movimiento, si bien eran imprecisas y aquí expondremos la versión mejorada de las mismas.
.-1ª Ley:
Las órbitas de todos los astros que giran en torno a otro distinto bajo la fuerza de la gravedad son elípticas, y el astro central es el foco (recordemos que el cuál giraba en torno a cuál es relativo) de la misma.
Para caracterizar mejor las órbitas, podemos analizar la distancia mínima y máxima al foco:
, y dado que es una elipse, en la que el eje mayor se puede definir como la suma de las distancias a un foco desde un vértice y desde su diamentralmente opuesto, podemos obtener el semieje «a» como:
, donde el signo – aparece para compensar que la energía de una órbita elíptica es negativa. El semieje mayor de la elipse, es importante fijarse, depende sólo de la energía y de los dos cuerpos, y es independiente de con qué momento angular se desplacen.
Podemos obtener ahora la distancia del foco al centro de la elipse «c» a partir de la definición de excentricidad:
, y usarla para obtener el semieje menor de la elipse «b», que se definía como:

Este semieje menor, a diferencia del mayor, sí que depende del momento angular. Esto es muy relevante ya que en caso de que el momento angular sea nulo, este semieje también se anula y la elipse degenera a un segmento, de modo que un cuerpo cae sobre el otro. Es decir, si no hay momento angular, nos encontramos ante una caida libre.
Esta observación, no obstante, ya era deducible de la ecuación diferencial, en la que vimos que lo único que evitaba que la distancia entre los cuerpos se redujese cada vez más era la fuerza centrífuga, proporcional al momento lineal.
Podemos, para concluir el análisis de esta elipse, expresar el semieje menor en función del mayor multiplicando y dividiendo por la raíz de «G m1 m2»:
Kepler observó también que el área que barrían los astros en su trayectoria sobre la órbita era constante a lo largo del tiempo, lo que implicaba que cuanto más lejos estaban del foco más despacio se movían, y cuanto más cerca más rápido (datos que ayudarían a Newton a deducir la expresión de la gravedad de la que hemos partido).
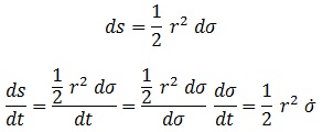
Para probar esta ley, debemos obtener la expresión general para calcular un área en coordenadas polares aplicando la teoría de superficies. En primer lugar, tenemos parametrizado el plano de la órbita con «r» y «σ» según:
Para obtener su métrica o 1ª Forma Fundamental «g» necesitamos sus derivadas respecto a ambas variables:
, y ahora ya desarrollamos la métrica a través de su definición:
Visto esto, si queremos obtener una superficie en coordenadas polares, la integral que deberemos resolver será:
Si queremos obtener entonces la derivada de la superficie barrida por nuestro cuerpo en un determinado tiempo «t», tendremos que aplicar la regla de la cadena sobre el diferencial de superficie:
Y esta cantidad, podemos reexpresarla según el momento angular, ya que:
La velocidad areolar o derivada de la superficie recorrida en un intervalo de tiempo es igual a una constante y por tanto también es constante. Esta ley es importante apreciar que se debe exclusivamente a la conservación del momento angular.
.-3ª Ley:
Por último, Kepler dijo que el cuadrado del periodo de traslación de los astros era proporcional al cubo de su semieje mayor. Esta ley podemos obtenerla desde la 2ª integrando el tiempo sobre todo un periodo «T» y recordando que la superficie de una elipse es «pi a b»:
Kepler aseguró además que la constante que relacionaba el cuadrado del periodo con el cubo del semieje mayor era constante para todos los astros, pero en la fórmula vemos, en cambio, que depende de sus masas. ¿Dónde estuvo el error de Kepler? Sus observaciones se centraron en el sistema solar, donde la suma de la masa del Sol con la de cualquier planeta es aproximadamente la masa del Sol, de modo que con los medios de los que disponía no pudo haber precisado tanto. De todos modos, es un gran mérito que Kepler obtuviese sus tres leyes con una «tecnología matemática» tan poco avanzada como la que había en aquélla época, pues estas leyes fueron descubiertas sin derivadas, sin integrales, sin lagrangianas y sin la fuerza de gravedad de Newton.
Con esto concluyo la entrada sobre órbitas, que más adelante veremos cómo se perfecciona al introducir la relatividad especial. Antes de llegar a eso, habrá que introducir la lagrangiana relativista.























Saludos!!! Excelente trabajo. estoy segur que muy pocos son los estudiantes de Física del pedagógico y las distintas Universidades que conocen de este sitio. Voy a hacerle promocion porque de verdad hace la diferencia. Estoy de vacaciones y lo descubrí en momentos de ocio buscando cosas interesantes en la internt. Soy profesor de matemática, y aquí hay aplicaciones muy buenas a las distintas teorías que explico a mis estudiantes
Vaya, muchas gracias :)
relacionado a las leyes de Kepler y las teorías basadas, nos da una serie de operaciones matemáticas fundamentales, en el cual determina los cálculos dados en la 1er y segunda ley de Kepler,en la segunda la teoría que un planeta barre áreas iguales en tiempos iguales; de la 3er ley da lo relacionado al periodo de las órbitas de cada planeta, dependiendo de las distancias de los mismos y el tiempo que tarda en dar una vuelta completa.