Docencia

Soluciones de selectividad (EvAU) de Madrid de Física. Examen resuelto. 5 Junio 2019

Aprovechando que he resuelto el examen para que lo puedan ver mis alumnos, lo comparto por aquí por si es de interés.

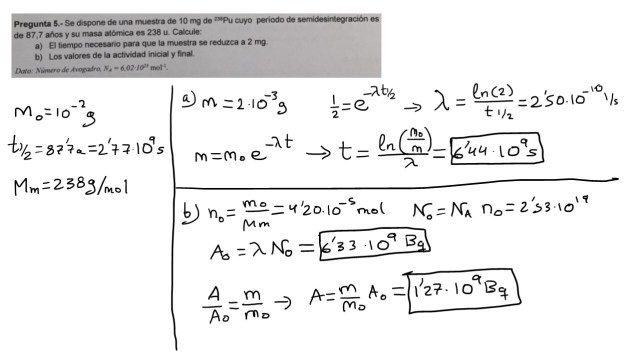
Diapositiva1

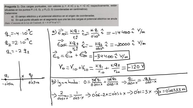
Diapositiva2

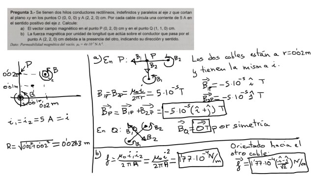
Diapositiva3

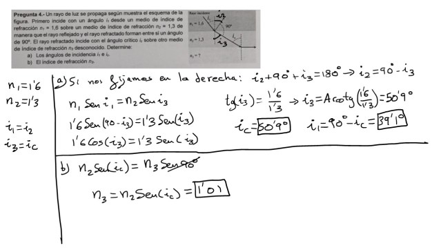
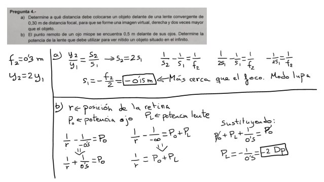
Diapositiva4Diapositiva5

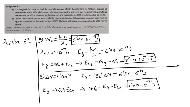
Diapositiva6

 

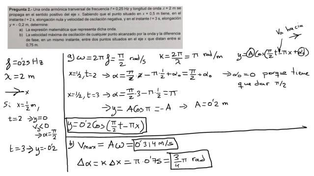
Diapositiva7

Diapositiva8Diapositiva9Diapositiva10

2 respuestas »

  1. En el segundo ejercicio de la opción A creo que has despejado mal por que cuando sacas el 1/4 del radio al pasarlo al otro lado del igual te queda 4, es decir tu has dividido la intensidad entre 4 y hay que multiplicarla por 4 no?

    • Hola Carlos,

      Si aumentas la distancia tiene que haber menos intensidad porque estás más lejos.

      Creo que no te has fijado en que ahí no despejo nada, sino que indico que P0/(4pir^2) es igual a la intensidad original.

      Saludos

Preguntas, correcciones y debate son bien recibidos.