Física

¡Por fin física con un físico!

Antes de nada, explicaré el título que le he dado a esta entrada «¡Por fin física con un físico!».

Hoy en día, para bien o para mal, la mayoría de los profesores de instituto de Física y Química (por no decir todos los que me han tocado a mi) son químicos. La consecuencia es que el programa es prácticamente todo pura química, y la física se reniega a 2º de bachiller, donde aún así en mi caso fue una química quien me la explicó.

Pues bien, hoy por fin un físico ha sido quien me ha dado clase de física, y para mi se ha notado la diferencia, sobre todo en la actitud y el enfoque de la asignatura.

No obstante, en la presentación han habido algunas frasecillas que no me han gustado: «la física es desordenada y caótica. la Relatividad y la Mecánica Cuántica no tienen nada que ver». ¿Que no tienen nada que ver? ¿Entonces qué son? ¿Filosofía? ¿Una carrera a parte? Dejémosolo ahí.

La clase, en resumen, ha sido más conceptual que de fórmulas, y, a su vez, más práctica que teórica. Pero además práctica en el sentido que a mi más me gusta, que es el de los experimentos mentales. Con ellos se ha hecho más «ameno» el repaso de los vectores.

Recordemos que un vector es un segmento direccionado en el espacio, que posee módulo o tamaño, dirección y sentido. La dirección, como bien apuntó el profesor, siempre es respecto a un sistema de referencias, por lo que lo que para nosotros es Norte-Sur, para los habitantes de otro planeta puede ser Este-Oeste.

Otra cosa que ha tratado de conceptualizar es que «en la suma, el resultado sustituye a la acción combinada de los sumandos», que si bien a nivel práctico no sirve para nada nuevo, es otro punto de vista.

Llegamos así al experimento mental uno, que he tenido el detalle de copiar (nos recomendó que no lo hiciésemos), y dice así: Supongamos que alguien nos propone la siguiente definición del vector suma de otros dos vectores: w = u + v, si y solo si, además |w| = |u| + |v|, y el ángulo wα = uα + vα. ¿Te parece buena la definición?

Enseguida pensé que no, porque en la suma de vectores, el ángulo del resultante nunca es igual a la suma de los dos anteriores. Sin embargo, hubo otro que se me adelantó. «Eso es erróneo porque (…)». «No es errónero. Es la definición que nos están dando a parte de la otra. Puedes estar de acuerdo con ella o no. Lo que te pregunto es por qué la definición no es buena».

«Si tenemos en cuenta el modelo normal, la única posibilidad de que eso se cumpla es que los ángulos de todos los vectores sean nulos, lo que supondría que la suma de vectores se resumiría a un único caso», dije. «Sigues teniendo en cuenta el modelo de suma anterior. Esa tampoco me vale», contestó.

«No es una suma propiamente dicha», dijo un tercero. «Eso si que no me vale para nada», obtuvo por respuesta. «Entonces estoy de acuerdo con la definición», contestó.

«El mejor motivo para despreciar esta definición», comenzó a explicar el profe, «es que en un caso extremo, como cuando uno de los dos vectores es casi nulo, la suma da un resultado disparatado a nivel angular, en lugar de ser prácticamente el único miembro de gran valor».

El producto de un vector por un escalar es un vector del mismo sentido y dirección que el anterior, pero de mayor o menor módulo, según el valor del escalar.

Un caminante debe dirigirse de un punto inicial I a otro F. Durante un primer tramo 1 se mueve con una velocidad V1, y durante un segundo tramo 2 se mueve con una velocidad V2<V1. ¿Cuál debería ser su ruta según la siguiente gráfica?

(En la ruta b: Senσ1 / Senσ2 = v1 / v2).

Mi primera estructuración del problema fue la siguiente: «La ruta «a» es buena si la diferencia entre la velocidad del primer tramo y la del segundo son parecidas, aunque en caso de que la diferencia sea muy grande es la peor de todas. La ruta «c» sería la mejor si, por ejemplo, en la ruta 2 apenas se moviese. La opción que más me convenció fue la 2ª, porque tanto la forma del recorrido como la de la fórmula me recordaron a la refracción de la luz, y la luz se mueve del modo más parecido posible a una recta dentro de la curvatura del espacio-tiempo según la Teoría de la Relatividad». No obstante, ese argumento debía de descartarlo en una clase de nivelación, y sin él decir que apoyaba la ruta «b» porque se parecía a la refracción era un poco absurdo.

Imaginaos mi sorpresa cuando descubrí que la opción correcta era esa y por ese preciso motivo. Recordemos que la fórmula de refracción de la luz al cambiar de medio óptico es:

, siendo «n1» y «n2» los índices de refracción de los distitnos medios por los que se movía.

El producto escalar de dos vectores se define por:

, de donde la proyección de un vector sobre el otro se define como:, si |u| = 1

Si dos vectores son prependiculares su producto escalar es nulo.

El producto vectorial de dos vectores se define por:

w será un vector cuyo módulo vale:

, y cuya dirección será perpendicular a «u» y a «v» a la vez.

¿Puede haber 2 vectores tales que su producto escalar sea 0 y su producto vectorial también?

Únicamente si al menos uno de ellos es nulo, pues tendrían que ser paralelos y perpendiculares a la vez.

Movimientos:

En la gráfica espacio-tiempo se definen por el vector posición r(t), donde «t» es el tiempo.


El incremento de la posición viene dado por la posición final en función del tiempo menos la posición inicial.

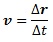
El vector velocidad, que sería la tangente a la gráfica, se definiría por:

Velocidad igual al incremento de espacio dividido entre el incremento de tiempo requerido.

La velocidad es una magnitud vectorial, y por tanto supone una dirección y un sentido, aparte de su módulo, que sería la celeridad. Hablar de velocidad sin especificar las tres características de su vector es un grave error. Así pues, pido perdón por todas las veces que lo haya hecho.

Por último, la aceleración es otra magnitud vectorial que se define por el incremento de velocidad entre el tiempo:

Un comentario que me llamó la atención viendo esto es que ciertamente los castellanos usamos la preposición «por» tanto para multiplicar números como para dividir unidades, cuando son operaciones completamente opuestas.

Curvatura:

Todo intervalo reducido curvo se pude reducir a un arco de circunferencia aproximado.

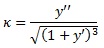
La curvatura se define por:, siendo «R» el radio de curvatura.

Se trabaja con él en función inversa porque decrece con la curvatra y aumenta con ella (una recta, por ejemplo, que tiene curvatura 0, supone un radio de curvatura infinito).

Para una curva «x – y», la curvatura también se puede definir como:

, por lo que está muy relacionada con la derivada segunda de la función de su arco.

¿Qué tipo de estructuras geométricas poseen una curvatura constante?

La circunferencia y la recta, únicamente.

«La parábola», pensamos algunos, por aquéllo de que su derivada segunda es constante, pero se nos olvidó que que la curvatura estuviese relacionada con la derivada segunda no implicaba que fuese ella.

¿Qué tipo de trayectoria sigue un móvil de velocidad constante, y cuál uno de celeridad constante?

El primero seguirá un movimiento rectilíneo uniforme, dado que la velocidad es un vector, el segundo queda indeterminado.

El clotoide es una curva que cumple siempre que

El producto del radio por el ángulo de curvatura medido en radianes es constante.

Categorías:Física, Nivelación

1 respuesta »

  1. Estimado amigo me parece muy interesante tu Blog.

    Me gustaría comentarte la razón de porque se utiliza la conjunción «por» cuando decimos que la velocidad se mide en «metros por segundo».

    En efecto en castellano por tiene dos significados, como bien has dicho es la acción de multiplicar y a la vez es una proposición.

    Cuando la empleamos al relacionar magnitudes, estamos diciendo que la velocidad se mide en «metros POR CADA segundo». Lo que pasa es que por economía del lenguaje omitimos la palabra CADA y por eso decimos «metros POR segundo»

    Un saludo y seguiré tus avances en tu carrera.

Preguntas, correcciones y debate son bien recibidos.