«¿Quiénes de aquí vais a estudiar física? (…) ¿Y por qué venis a nivelación?» «Supongo que estoy loco» (dicho por otro) «¿Pero loco loco o loco por la física?» «Loco por la física».
La clase de hoy se ha centrado sobre todo en movimientos, y empezamos con el esquema más elemental:
El sumatorio de fuerzas sobre un cuerpo implica una aceleración en el mismo, a través de la cual se pueden determinar su velocidad y su posición a lo largo de la evolución de su trayectoria.
Lo más sencillo, en este caso, siempre será que la aceleración sea constante, y el sumatorio de fuerzas, por correspondencia, también.
¿Y cuál es uno de los casos en los que la fuerza se puede considerar como constante? En la interacción gravitatoria siempre y cuando no se recorran espacios exageradamente grandes.
«La fuerza gravitatoria, como sabéis, viene dada por la ley de Newton:
¿Es esta fórmula cierta? Más o menos. Debéis de saber que las leyes de Newton están ahí plantadas como las tablas de Moisés pero que aún así son todas falsas o, para ser menos crueles, imprecisas y aproximadas».
Los problemas más típicos con esta ley es plantear un sistema de masas en el espacio, y calcular cómo todas ellas tiran de otra que, por decirlo de algún modo, es la sufridora del grupo. Para calcular la fuerza resultante se hace la suma vectorial de todas las fuerzas gravitatorias ejercidas sobre ella, suponiendo que la acción de unas no altera la de las otras. «Esto es mucho suponer, ¿porque por qué iban dos masas a interactuar igual cuando están solas que cuando viene una nueva a cortarles el rollo?» En cualquier caso, y sea cierto o no, el artificio de sumar todas las fuerzas se denomina principio de superposición, por motivos más que evidentes, ¿no?
En el caso particular de la interacción gravitatoria con La Tierra, «G m / r^2» es constante, porque la masa de La Tierra, su radio, y la constante de gravitación son relativamente iguales para cualquier cuerpo ubicado en la superficie terrestre. Es por eso que se reducen a «g» (9,8 m/s^2), y a la interacción gravitatoria la denominamos peso:
No obstante, ésto solo tiene sentido si oscilamos entre alturas con respecto a la superficie no comparables con el radio de La Tierra (rT).
En cuanto a la dirección considerada recta de un cuerpo sobre el planeta, deberíamos pasar a considerarla curva si se desplaza una distancia también comparable con rT.
Si no hay más fuerzas que el propio peso (con las limitaciones vistas), la aceleración es constante, y eso implica, como falta más grave, despreciar la fuerza de rozamiento. (¡Por fin creo que la empezaremos a tener en cuenta!). Despreciar el rozamiento implica, entre otras cosas, que una pluma y una piedra caigan a la misma velocidad desde lo alto de un edificio, cuando todos sabemos que no es así.
De este modo, «tapándonos los ojos para poder trabajar suponiendo que el aire no existe», llegamos a las siguientes fórmulas:

El incremento de velocidad es igual al producto de la aceleración y el incremento de tiempo.
El incremento de posición es igual a la suma del producto de la velocidad inicial y el tiempo, y la mitad del producto de la aceleración y el cuadrado del tiempo.
En un tiro parabólico, es decir, un cuerpo lanzado en línea recta pero que, al ser afectado por la gravedad, describe una curva hasta llegar al suelo, se cumplen las siguientes igualdades:
El espacio recorrido horizontalmente es igual al producto del cuadrado de la velocidad inicial por el doble del seno del ángulo de lanzamiento, dividido entre la aceleración gravitatoria:
El «tiempo de vuelo» (intervalo de tiempo que el cuerpo se mantiene en el aire) es igual al doble del producto de la velocidad inicial y el seno del ángulo de lanzamiento, dividido entre la aceleración gravitatoria de nuevo:
Tengo duda entre tres fórmulas para el espacio recorrido en un tiro parabólico. No sé si es:
- e = vinicial^2 g Sen2σ.
- e = vinicial^2 Sen2σ / g.
- e = vinicial^2 Senσ / g.
¿Cómo elegir con cuál me quedo?
«Se podría mirar a ver si las unidades coinciden en los dos miembros». «Ése es un excelente método de filtración de errores, aunque no es perfecto. Intentemos elegir la ecuación adecuada de otro modo».
La primera no puede ser porque implica que cuanta más gravedad, más lejos llega un cuerpo lanzado en un tiro parabólico. Absurdo.
La tercera tampoco porque implica que el ángulo de mayor alcance, el de Senσ = 1, sería el de 90º, y si tiras un cuerpo hacia arriba el desplazamiento será nulo porque va a caer en el mismo sitio.
La opción correcta es la segunda, porque tiene las unidades bien colocadas y el ángulo de mayor espacio recorrido será el de 45º, mucho más verosímil.
¿Es increible que se diga que un saltador de longitud ha permanecido en el aire por más de dos segundos?
Pensemos en ello. La velocidad máxima alcanzada por un hombre en pruebas olímpicas es más o menos 10 m/s, y el mejor ángulo de salto que puede tomar el saltador es el de 45º. Aplicando la ecuación anterior el tiempo de vuelo es de 1,4 segundos, por lo que aguantar 2 en el aire es un caso bastante utópico.
Observa que en el tiro parabólico, la variación en la altura no influye en la velocidad de desplazamiento a lo largo. ¿Quiere esto decir que si disparo una bala horizontalmente y simultáneamente me cae otro cartucho, llegarán a la vez al suelo?
Sí, si despreciamos el rozamiento con el aire.
¿Le serían aplicables a la Luna las ecuaciones del movimiento parabólico?
Si, pero se mueve tan rápido que a medida que se aproxima a La Tierra también se aleja tangencialmente de ella, siguiendo una trayectoria circular.
En los movimientos circulares, como la rotación, aparecen nuevas magnitudes como la velocidad angular, que mide el arco recorrido por el cuerpo en un determinado tiempo:
La relación entre la velocidad angular y la lineal es el radio:
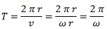
El tiempo que tarda un cuerpo que se mueve circularmente en dar una vuelta se denomina periodo:
La frecuencia, por el contrario, sería el número de vueltas que daría el cuerpo en un segundo:
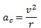
La aceleración centrípeta, que sería la que tiraría del cuerpo hacia el interior de la circunferencia de su trayectoria, sería:
¿Por qué en la aceleración centrípeta es el doble de importante la velocidad que el radio?
El radio solo incrementa la velocidad angular, mientras que la velocidad lineal incrementa la angular y el espacio recorrido por el cuerpo.
¿A qué velocidad nos desplazamos en nuestra órbita, ubicada a unos 38º de latitud?
El radio de nuestro meridiano, ubicado a 38º del ecuador, se define por la siguiente ecuación:
Como el radio de La Tierra es 6370000 metros, obtenemos que «r» son 5000000 m. Volviendo a la ecuación inicial:
Categorías:Física, Nivelación












