Hoy no pondré nada de matemáticas, porque a parte de haber sido una clase elemental considero que no sería interesante para la línea general de este blog.
En física, por su parte, hoy hemos hablado sobre todo de sistemas de fuerzas y sus consecuentes problemas. Al principio hemos tratado las unidades, que internacionalmente se miden en newtons (N): 9,8 N es la fuerza que ejerce La Tierra sobre un cuerpo de 1 kg. No obstante, el método de medida más generalizado son los kilopondios (kp), también llamados kilogramos-fuerza (k-f), o más vulgarmente kilos a secas (kg*). Un kp es la fuerza que ejerce La Tierra sobre un cuerpo de 1 kg de masa.
Una de las condiciones necesarias para que un cuerpo esté en equilibrio es que el sumatorio de las fuerzas (∑Fi) que actúan sobre él sea nulo. Sin embargo, esta condición no es suficiente para que se de el equilibrio.
Pongamos por ejemplo una piedra con forma de boomerang apoyada en el suelo. El sumatorio de sus fuerzas, el peso y la reacción vertical del suelo, será nulo, y sin embargo la piedra girará por la forma curva que tiene.
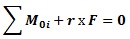
Así pues, para completar el equilibrio rotacional se introduce el concepto de «momento» de una fuerza (M0). El momento de una fuerza respecto a un punto «0» se define como el producto vectorial de la posición del origen de la fuerza y la propia fuerza:
El equilibrio rotacional, por su parte, se define como el sumatorio de todos los productos vectoriales de las fuerzas y posiciones que intervengan en este:
, para que haya equilibrio.
Dado un sistema de fuerzas paralelas aplicadas sobre un cuerpo hacia abajo, todas ellas del mismo módulo, ¿con qué fuerza única y dónde debo apuntar para que el cuerpo esté en equilibrio?
Como primer requisito el sumatorio de fuerzas ha de ser nulo:
El segundo requisito es que el momento de las fuerzas sea nulo también:
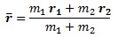
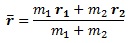
El centro de gravedad de dos cuerpos de masas «m1» y «m2» y de posiciones «r1» y «r2» se ubicará en una posición:
¿Por qué nos inclinamos hacia adelante para levantarnos de una silla?
Para que nuestro centro de gravedad esté ubicado más próximo al empuje hacia atrás del suelo desde los pies y el momento de la fuerza se reduzca, permitiéndonos levantar sin problemas.
¿Por qué es más estable un edificio bajo que uno alto?
Porque el centro de gravedad está más próximo a la reacción vertical del suelo.
Si sobre una plataforma giratoria de radio «r» y velocidad angular «ω» está de pié una persona, ¿en qué sentido tendrá que inclinarse para no caer?
Hacia fuera y en sentido contrario al movimiento de la plataforma.
¿Es posible que el siguiente sistema esté en equilibrio?
La tensión (T) en la derecha sigue el desarrollo trigonométrico:
La tensión (T’) en la izquierda es la suma de las dos tensiones más pequeñitas (T»), que se despejan igual que la del lado derecho:
Por composición vectorial:
Como el numerador de T y T’ son exactamente iguales, todo depende del valor de Cosα, que por definición no puede ser mayor o igual que 1 ni menor que 0 (no puede valer 1 porque implicaría que no hay ángulo con la vertical).
Así pues, T estará dividido por un valor menor que 1 que aumentará su valor, haciendo que T sea mayor que T’, y el sistema sea inestable. Observemos que si α = 90º, la tensión (T) sería infinita.
¿Cómo sacar un coche del barro si disponemos de una cuerda y un árbol?
«Yo haría una polea con una de las ramas». «No, porque la rama cedería».
«Yo haría una polea con el tronco». «No, porque la fuerza de rozamiento te lo pondría aún más complicado».
«Yo me suicidaría con una la cuerda y una rama».
«Yo tiraría de el coche a secas, ayudándome de la cuerda».
«Lo correcto sería atar la cuerda al tronco del árbol hasta que estuviese tensa, para después intentar doblarla y hacer que para que ésta ceda tenga que arrastrar al coche con ella». «¿Y si cede el árbol primero?». «¿Y si se rompe la cuerda? No vamos a tener todo eso en cuenta».
Dado el siguiente casacanueces, ¿qué fuerza de reacción de la nuez podremos vencer si aplicamos una fuerza «F» en los extremos del mismo?
No hay más que sumar las fuerzas multiplicadas por su longitud de efecto.
- – 3 R + 10 F = 0
- R = 10 F / 3.
Calcular la fuerza que ejerce un semiarco sobre el otro para que el momento de las fuerzas sea nulo.
Para cada semiarco:
- M0 = -P l / 4 + F f = 0
- F = P l / 4 f
No obstante, estos arcos se suelen ayudar de arbotantes a los lados para ayudar a la fuerza de empuje que ejerce cada semiarco sobre el otro.
Categorías:Física, Nivelación










Sobre el equilibrio hay un pensamiento taoista, que puede venir muy bien comentarlo aquí:
«El equilibrio es un estado de perfeccción, la estabilidad es algo más, es la constante probabilidad de ester cerca del equilibrio»
Creo que define muy bien lo que ocurre en la naturaleza, la condición de equilibrio no basta, es necesaria la condición de estabilidad, como podrás comprobar conforma vayas avanzando en tu carrera.
Un saludo y adelante
¿Por qué es más estable un edificio alto que uno bajo?
Porque el centro de gravedad está más próximo a la reacción vertical del suelo.
me quedò en duda esta aceveración pensè que es mas estable el edificio bajo.
Hola Celicia,
Toda la razón.