Carrera

Dinámica de la partícula: Leyes de Newton, sistemas de referencia no inerciales, fuerzas de inercia y de rozamiento, momentos lineal y angular (teoremas e impulso), trabajo, energía potencial y potencial, energía mecánica.

Hasta ahora, en esta asignatura, hemos hablado de los movimientos de puntos materiales sin tener en cuenta las causas de éstos. En este tema comenzaremos a tratarlos desde el punto de vista de la Mecánica Clásica, que se encarga del estudio del movimiento de cuerpos de longitud entre 10^-10 m (átomos) y 10^20 m (galaxias), siempre y cuando éstos no se muevan a velocidades superiores a la décima parte de la de la luz, en cuyo caso ya hablaríamos de Mecánica Clásica Relativista, según el siguiente esquema.

tabla-estudioLas Leyes de Newton (1642-1727):

  • Si el sumatorio de fuerzas sobre una partícula es nulo, podemos asegurar que existen unos sistemas de referencia inerciales respecto de los cuales existe una partícula que o bien no se mueve o lo hace con velocidad uniforme.
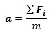
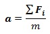
  • Si el sumatorio de fuerzas sobre una partícula no es nulo, éste adquiere una aceleración con dirección y sentido coincidentes con «∑Fi», que se define por:, siendo «m» la masa de la partícula.
  • interaccionCuando dos partículas interaccionan entre si, según el siguiente esquema, la fuerza que ejerce la partícula A sobre la partícula B son iguales en módulo y dirección, pero opuestas en sentido, siendo una de ellas de acción y la otra de reacción.

Sistemas de referencia no inerciales y fuerzas de inercia:

Un sistema de referencia no inercial es el que tiene aceleración respecto de un sistema de referencia inercial, es decir, los ejes de este sistema tienen un movimiento no uniforme o de rotación respecto al otro. Se cumple que:

  • La fuerza que actúa sobre la partícula observada procede de tener en cuenta la aceleración del sistema de referencia no inercial (as) y la aceleración relativa de la partícula desde dicho sistema (a’).
  • La Fuerza Inercial o de Arrastre (Fa) es opuesta a la aceleración relativa:
  • Aplicando las dos ecuaciones anteriores, se obtiene que:

Las fuerzas en la Naturaleza:

Las fuerzas de la Naturaleza pueden explicarse a nivel microscópico como cuatro interacciones fundamentales: gravitatoria, electromagnética, nuclear fuerte y nuclear débil, aunque solo se estudian en Dinámica Clásica las interacciones macroscópicas de las dos primeras.

Fuerzas de Rozamiento:

rozamiento2Es un concepto estadístico que macroscópicamente se caracteriza mediante una fuerza «Fr» producida por las interacciones electromagnéticas entre las partículas subatómicas. Las características generales son:

  • Aparecen siempre que exista un deslizamiento relativo entre dos cuerpos en contacto.
  • Son paralelas a la superficie de contacto entre ambos cuerpos.
  • Tienen sentido contrario a la velocidad relativa de un cuerpo respecto al otro.
  • Se trata de fuerzas que siempre se oponen al movimiento.
  • Su valor es independiente de dicha velocidad relativa.
  • Son independientes del área de contacto entre los cuerpos.
  • Aunque no haya deslizamiento relativo, puede haber fuerzas de rozamiento entre ellos.
  • Son proporcionales a la Normal (fuerza de reacción al peso)., donde «Frmax» es la fuerza de rozamiento máxima alcanzable, «μs» el coeficiente de rozamiento estático, cuando los cuerpos están quietos, y «N» la Normal.
  • El coeficiente de rozamiento estático es mayor que el dinámico (cuando una partícula se mueve respecto a la otra. μs > μd.

Momento Lineal:

Se define el momento lineal o cantidad de movimiento de una partícula como el producto de la masa de la misma por su velocidad:

, por lo que, al depender de la velocidad, varía según el sistema de referencia empleado.

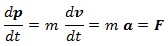
Si lo derivamos respecto al tiempo:

, de donde sale el Teorema del Momento Lineal:

, y a su vez el Impulso Lineal:

momento-angularMomento Angular:

Se define como momento angular de una partícula como el producto vectorial del vector posición y el momento lineal:


, y de nuevo, al depender de la velocidad, varía con el sistema de referencia.

Si el punto de referencia «O» está en movimiento:


, siendo «L0‘» el momento angular respecto la nueva posición y «OO’» el vector que una la posición inicial con la nueva.

Si lo derivamos respecto al tiempo:

, y como el producto vecrorial de «v» con «p» es nulo (son paralelos) obtenemos el Teorema del Momento Angular:

, y a su vez, de nuevo, el Impulso Angular:

Trabajo realizado por una fuerza:

El incremento de trabajo «W» sobre un cuerpo que se desplaza desde un punto A hasta un punto B es igual al producto de la fuerza que actúa sobre un cuerpo y su desplazamiento:

, también expresable como:

Podemos comprobar, además, que el incremento del trabajo es igual al incremento de Energía Cinética:

Este último término, como se puede apreciar, es el incremento de energía cinética.

, siendo «Ec» la energía cinética.

Energía Potencial:

Aplicando Teoría de Campos, sabemos que toda partícula que derive de un sistema vectorial de fuerzas posee una cierta energía potencial, si dicho campo era conservativo o, dicho de otro modo, poseía un rotacional nulo, y que siempre se cumplía que el sistema de vectores era igual al vector opuesto al gradiente del campo potencial:

  • Campo Gravitatorio: La Fuerza Gravitatoria se define por:, donde «G» es la Constante de Gravitación Universal, «M» es la masa que atrae, «m» es la masa atraida, «r» es el módulo del vector posición de la masa atraída respecto a la atrayente, y «er» el vector unitario del anterior. Como su rotacional es nulo, se cumple que:, siendo «Epg» la Energía Potencial Gravitatoria. Si despejamos esta ecuación:
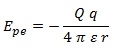
  • Campo Electrostático: La Fuerza Electrostática se define por:, donde «ε0» procede de la Constante Dieléctrica del medio, «Q» es la carga atrayente y «q» la carga atraída. Como el rotacional se anula, se cumple que:, donde «Epe» es la Energía Potencial Electrostática, que despejada se define como:
  • elasticidadCampo Elástico: La Fuerza Elástica se define por:, siendo «k» la Constante Elática del material, y «r» el vector de la deformación producida por una fuerza. Como su rotacional se anula, se cumple también que:, donde «Epel» es la Energía Potencial Elástica, que se puede expresar como:

Potencial:

En el caso del Campo Gravitatorio y el Electrostático, en el medio que los rodea aparece un campo escalar denominado Potencial, que se calcula dividiendo la Energía Potencial entre la magnitud activa de la supuesta partícula afectada,  independientemente de que haya alguna partícula siendo afectada por él o no. Así, cualquier punto del espacio (vacío o no) se verá afectado por este potencial y por el vector a partir de su gradiente.

  • Campo Gravitatorio: El Potencial Gravitatorio se define como:, y a través del gradiente obtenemos la aceleración gravitatoria:
  • Campo Electrostático: El Potencial Electrostático se define como:, y a través del gradiente obtenemos:

Energía Mecánica:

Si consideramos un campo vectorial conservativo, y una partícula que se mueve a través de él, siempre se cumple que:

, si combinamos esto con el hecho ya demostrado de que:

siempre, y así obtenemos que:

, por lo que:

, donde «Em» es la Energía Mecánica, y la anterior fórmula, por tanto, el Teorema de Conservación de la Energía Mecánica.

Categorías:Carrera, Física

2 respuestas »

Preguntas, correcciones y debate son bien recibidos.