Un Sistema de Partículas es un conjunto de puntos materiales limitados por una superficie cerrada.
Los sistemas de partículas los podemos clasificar en sistemas discretos y continuos, siendo los primeros deformables o indeformables y los segundos deformables o sólidos rígidos.
Un sistema de partículas se considera que es discreto si lo compone un conjunto finito de puntos materiales. A nivel microscópico cualquier cuerpo se compone de una estructura discreta. Sin embargo, para explicar su comportamiento a nivel macroscópico se le considera formado por una distribución continua de materia.
En los sistemas deformables, la distancia relativa entre las partículas que lo forman puede variar a lo largo del tiempo.
En los sistemas indeformables, esta distancia permanece constante sean cuales sean las interacciones que recibe el sistema por parte del medio.
- rij = ri – rj = cte → Sistema Indeformable.
- rij = ri – rj ≠ cte → Sistema Deformable.
Los sistemas continuos deformables son los que se modifican al actuar fuerzas sobre ellos.
Los cuerpos que se estudian en la aproximación del sólido rígido son aquéllos en los que se supone que las fuerzas que actúan sobre ellos son tan pequeñas que el sistema no se deforma bajo su acción.
Fuerzas Interiores y Exteriores:
Dado un sistema de partículas compuesto por «N» partículas, en general estas partículas interaccionan entre si de forma má o menos complicada. Pero además pueden interaccionar con otras partículas que no pertenecen al sistema.
Por eso resulta útil agrupar las fuerzas en:
- Exteriores: producidas por las partículas ajenas al sistema.
- Interiores: producidas por las partículas pertenecientes al sistema.
La suma de todas las fuerzas interiores que actúan sobre un sistema de partículas es el vector nulo «0«, tanto si el sistema se encuentra en equilibrio como si no lo está, expresado como:
, que es lo mismo que decir que el sumatorio de las fuerzas de cada particula «i» sobre todas las otras partículas «j» es nulo.
La distribución entre fuerzas interiores y exteriores dependen del punto de vista.
Ecuaciones del movimiento:
El movimiento del sistema está determinado cuando se cconozca la evolución temporal de cada una de las partículas que lo forma.
Si aplicamos la 2ª Ley de Newton a cada una de las partículas obtendremos «N» ecuaciones vectoriales, y si las combinamos una sola:
Como el segundo sumatorio es nulo, todo se reduce a la 2ª ley de Newton:
(donde «m» representa la masa total), lo que viene queriendo decir que la aceleración total del sistema de partículas queda determinada únicamente por el conjunto de fuerzas exteriores que actúan sobre él.
Centro de masas:
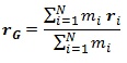
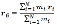
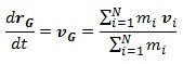
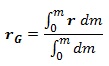
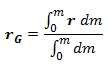
La posición del centro de masas de un sistema de partículas viene determinada por la posición media de la partículas del mismo, teniendo más valor en dicha media las que posean mayor masa, lo que se expresa matemáticamente del siguiente modo:
, donde «rG» es el vector posición del centro de masas.
Si derivamos respecto al tiempo:
, donde «vG» es el vector velocidad del centro de masas.
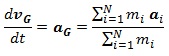
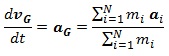
Si derivamos respecto al tiempo de nuevo:
, donde «aG» es el vector aceleración del centro de masas.
El centro de masas de un sistema cualquiera de partículas, deformable o no, tiene el mismo movimiento que un punto material cuya masa fuese igual a la totalidad del sistema y sobre el que actuase la resultante de las fuerzas exteriores al sistema «Fext«.
Se puede estudiar la evolución temporal de un sistema a partir de la evolución del centro de masas del mismo.
Propiedades del centro de masas:
Permite reducir el estudio de la dinámica de un sistema al de una partícula, aunque para estudiar de forma total el movimiento del mismo respecto a un sistema de referencia inercial hay que estudiar cómo se mueve el centro de masas con respecto de dicho sistema y, además, describir el movimiento de las partículas del sistema respecto al centro de masas. La forma más simple de abordarlo es elegir un sistema de referencia inercial localizado en el propio centro de masas que se mueva con él, pero cuya orientación permanezca paralela al sistema de referencia inercial exterior.- El centro de masas es un punto geométrico que no tiene por qué corresponderse con la posición de una partícula material del sistema.
- El centro de masas está contenido en los elementos de simetría del sistema. Si el cuerpo tiene un plano o un eje de simetría éste contiene al centro de masas. Si posee un centro de simetría, éste será directamente el centro de masas.
- El centro de masas es independiente del sistema de referencia inercial empleado para localizarlo. Solo depende de la masa de las partículas y de sus posiciones relativas entre si.
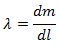
- Para los cuerpos en los que se considera una distribución continua de masas, se cumple la siguiente igualdad:
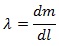
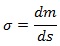
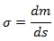
. Para aplicar puede resultar más cómodo emplear las siguientes equivalencias: densidad lineal:
; densidad superficial:
; y densidad volúmica:
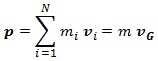
Momento Lineal del Sistema de Partículas:
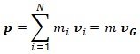
El momento lineal de una partícula referido a un origen fijo sería:
, y el de todo el sistema:
Si lo derivamos respecto al tiempo:
, de donde surge el Teorema del Momento Lineal del Sistema de Partículas:
Solo las fuerzas exteriores pueden variar el momento lineal. Si son nulas el momento lineal es constante.
Una aplicación muy importante es cuando las fuerzas interiores que componen el sistema son impulsivas. (Por fuerzas impulsivas se entienden fuerzas de gran intensidad que actúan durante un pequeño intervalo de tiempo, como un disparo o una detonación). Este tipo de fuerzas son tan intensas que durante el tiempo que actúan todas las demás son despreciables, y como las fuerzas impulsivas son interiores al sistema, su momento lineal se conservará aunque actúen fuerzas exteriores (pudiéndose calcular así, por ejemplo, el retroceso de una pistola [el momento lineal de la bala es opuesto al del arma]).
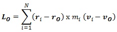
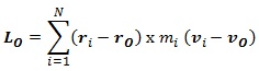
Momento Angular del Sistema de Partículas:
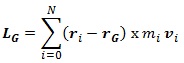
Se define como momento angular de una partícula «i» perteneciente a un sistema de partículas respecto a un punto «O» a la igualdad:
, y el del sistema como:
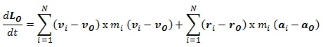
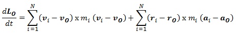
Si derivamos respecto al tiempo:
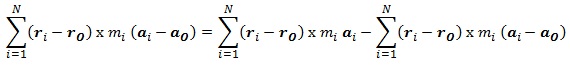
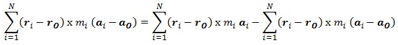
, donde el primer sumatorio es nulo por ser una colección de productos vectoriales de vectores idénticos, y el segundo se descompone en:
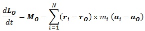
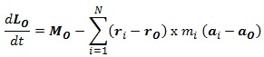
En esta nueva igualdad al primer término se le considera el momento de fuerzas de O «MO«. Así que, en resumen:
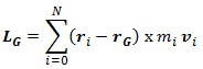
, siendo este el Teorema del Momento Angular. Así pues, encontramos que el momento angular del sistema de un punto tan solo es constante si Q está quieto, si lleva un movimiento rectilíneo uniforme, si es el propio centro de masas, o cuando la aceleración del punto está dirigida al centro de masas.
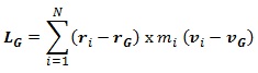
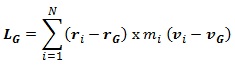
Supongamos ahora el momento angular respecto al centro de masas que, como hemos visto, será constante.
, pero como a velocidad del centro de masas relativa a sí mismo es nula:
, y el momento angular del sistema respecto al centro de masas resulta ser independiente de la velocidad de este. Principio de Conservación del Momento Angular: si el momento de fuerzas se anula con respecto al centro de masas, «LG» es constante.
Por último, si comparamos el momento angular respecto al origen de coordenadas con el momento angular respecto al centro de masas resulta que:
Energía Cinética de un Sistema de Partículas:
Se define la energía cinética de un sistema de «N» partículas a partir de la de la partícula simple:
, por lo que la energía cinética depende del sistema de referencia, cumpliéndose que:
, siendo éste el Teorema de Koening.
Teorema del Trabajo:
Como ya sabemos, el incremento de trabajo está directamente relacionado con el incremento de energía cinética:
Lo cual, aplicado al sistema de partículas, implica que:
Energía Potencial. Teorema de Conservación de la Energía:
Se puede definir una energía potencial cuando la resultante de las fuerzas sobre las partículas de un sistemas tiene un rotacional no nulo, o dicho en otras palabras, es conservativo.
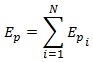
Se cumple que la energía potencial total del sistema es igual al sumatorio de la energía potencial de cada una de las partículas, debido a la separación relativa de las partículas del sistema:
, estando «Epi» en función de la distancia relativa entre ellas y la cantidad de magnitud activa que poseen.
Si las fuerzas interiores son conservativas, el trabajo interior es igual a la energía potencial interna inicial menos la final:
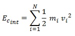
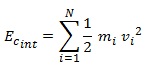
Asimismo, se define como Energía Propia del Sistema a:
Si volvemos a la fórmula del apartado anterior:
, sustituyendo y despejando:
, por lo que si el sistema está aislado, la energía propia se conserva.
Si la energía cinética no es constante, su variación será opuesta a la de la energía potencial para que se cumpla el teorema de conservación de la energía propia.
Hay que hacer notar que aunque para este teorema se han supuesto fuerzas interiores conservativas, tiene un rango de validez superior al de las hipótesis que sirvieron para demostrarlo.





























Muy bueno, interesante. Justo lo que buscaba.
Muy buen aporte. Al principio aparentemente hay un error de escritura donde dice «En los sistemas deformables, esta distancia permanece constante sean cuales sean las interacciones que recibe el sistema por parte del medio.» Parece que se refiere a los sistemas indeformables.
Gracias por avisar.