Trabajo Termodinámico. Aplicación a un Sistema Expansivo:
El trabajo termodinámico se define como la energía que se transfiere entre un sistema y su entorno cuando entre ambos se ejerce una fuerza. Numéricamente, el trabajo infinitesimal «d‾W» que realiza una fuerza «F» al sufrir su punto de aplicación un desplazamiento «dr» viene dado por la expresión:
, siendo por lo tanto una magnitud escalar. El trabajo total en un desplazamiento finito del punto de aplicación de la fuerza se obtiene por integración de la expresión anterior:
, para lo cual es necesario conocer la relación entre «F» y «dr» si la fuerza no es constante.
Si un sistema en conjunto ejerce una fuerza sobre o por el medio que lo rodea y tiene lugar un desplazamiento del punto de aplicación de aquélla, el trabajo realizado por o sobre el sistema se denomina trabajo externo. Si el trabajo se realiza por una parte sobre otra se denomina trabajo interno. En Termodinámica el trabajo interno no tiene interés y sólo importa el trabajo externo, que supone una interacción entre un sistema y su medio exterior.
En las interacciones experimentadas por los sitemas termodinámicos, éstos pueden recibir o ceder energía, y puesto que si el sistema la recibe se debe a que la está cediendo el medio, o viceversa, es necesario establecer un criterio de signos que nos permita interpretar los resultados que se obtengan. Así, la IUPAC (acrónimo en inglés de la Unión Internacional de Química Pura y Aplicada) recomienda en 1970 que se considere el mismo criterio que en Mecánica. Esto quiere decir que si la fuerza es realizada por el medio exterior sobre el sistema y el desplazamiento tiene su mismo sentido, es el sistema el que incrementa su energía y, en consecuencia, se dice que se ha realizado un trabajo sobre el sistema y se considera trabajo positivo. Por el contrario, si el trabajo es realizado por el sistema sobre el medio exterior y el desplazamiento tiene su mismo sentido, disminuye la energía del sistema y se considera trabajo negativo.
La definición termodinámica de trabajo es más amplia que la definición mecánica en los términos indicados por la anterior ecuación. Por ejemplo, el flujo de corriente eléctrica a través de la frontera de un sistema se considera trabajo en Termodinámica.
Cuando un sistema termodinámico experimenta un proceso, el trabajo que se realiza está siempre asociado a una fuerza. Sin embargo, en Termodinámica es más conveniente expresar el trabajo en función de las variables de estado del sistema, y éstas serán distintas dependiendo del sistema concreto que estemos estudiando, por lo que puede resultar difícil reconocer en ese intercambio de energía una interacción en forma de trabajo. En éstos casos suele ser útil la definición clásica de trabajo termodinámico, dada por Poincaré, que dice que «el trabajo es una interacción entre un sistema y sus alrededores, y lo realiza el sistema si el único efecto externo a las fronteras del sistema puede consistir en la elevación de un peso».
Sin embargo, vamos a limitar nuestro estudio a lo que se denomina sistema hidrostático o expansivo, que es cualquier sistema de masa constante que ejerce sobre el medio que lo rodea una presión hidrostática uniforme, en ausencia de efectos de superficie y de la acción de campos gravitatorio y electromagnético, es decir, en un sistema expansivo el trabajo se debe únicamente a un cambio de volumen.
Consideremos un sistema termodinámico de forma arbitraria y volumen «V», sobre el que actúa el medio exterior ejerciendo fuerzas debidas a una presión hidrostática «pe», que supondremos uniforme. La fuerza que el medio exterior ejerce sobre un elemento de la superficie frontera «dS» viene dada por:
, en dónde el signo negativo se debe a que la fuerza de presión que el medio externo ejerce sobre el sistema está dirigida hacia el interior del sistema, mientras que el elemento de superficie está representado hacia el exterior, por ser la superficie frontera una superficie cerrada.
El trabajo elemental realizado por el medio será:
, en donde el trabajo infinitésimal así expresado es una diferencial de tercer orden, y teniendo en cuenta que el producto escalar indicado en la última igualdad representa la variación infinitesimal de volumen «dV» del sistema globalmente, podemos escribir:
Si el sistema disminuye su volumen (dV < 0) es debido a que recibe trabajo, y la anterior expresión conduce a dW > 0, lo que está de acuerdo con el criterio de signos adoptado. Por el contrario, si el sistema se expansiona (dV > 0), es el proprio sistema el que realiza trabajo sobre el medio, y de acuerdo una vez más a la ecuación, dW < 0, que también es acorde con el criterio de signos adoptado.
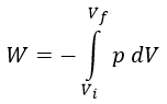
Para un proceso finito, cuando el volumen del sistema varía
desde un valor «Vi» hasta un valor «Vf», la energía total intercambiada en forma de trabajo entre el sistema y sus entorno verndrá dada por:
Si el proceso de cambio de estado termodinámico del sistema tiene lugar de forma cuasiestática, es decir, transcurre como una sucesión infinita de estados de equilibrio, lo que implica que el sistema esté constantemente en equilibrio mecánico con el medio exterior, la presión externa «pe» debe ser prácticamente igual a la presión «p» ejercida por el sistema. Por lo tanto, para un proceso cuasiestático el trabajo vendrá dado por:
, y para un proceso finito cuasiestático:
Antes decontinuar, debemos indicar que las expresiones integradas representan un trabajo y no una cantidad de trabajo, pues si bien el trabajo tiene unidades de energía no representa un tipo específico de enrgía, sino una cantidad de energía transferida entre el sistema y su entorno a través de la superficie frontera del sistema. En las ecuaciones diferenciales se ha representado el trabajo en un proceso infinitesimal por «d‾» (a veces se denota también por δ), lo que nos indica que el trabajo no es una diferencial exacta de las variables de estado del sistema sino función de proceso, es decir, depende además del tipo de proceso seguido durante la transformación.
Para poder realizar las integrales es necesario conocer la funcionalidad entre la presión y el volumen durante el proceso, lo cual a su vez dependerá del tipo de proceso que tenga lugar. La relación entre la presión y el volumen de un sistema en cualquier proceso cuasiestático (y sólo en este caso, pues de lo contrario el sistema no está en equilibrio y, en consecuencia, sus variables de estado no están definidas) puede representarse por una curva en el espacio p-V, denominado espacio termodinámico, que es el espacio métrico cuyas coordenadas son las variables de estado. El trabajo correspondiente a un cambio infinitesimal de volumen «dV» se representa gráficamente por el área «p dV» de una franja vertical, tal como se muestra en la figura.
El trabajo total realizado en un proceso finito viene dado por el área limitada por la curva representativa del proceso y el eje de volúmenes entre las ordenadas «Vi» y «Vf», tal como se muestra en las otras dos figuras. Ya hemos visto en el tema anterior que un proceso isocórico o isostérico es aquel que se realiza a volumen constante, y por lo tanto, el trabajo en este tipo de procesos es nulo.
A partir del análisis de los diagramas anteriores, es fácil obtener el signo del trabajo en un proceso cíclico, y así un ciclo recorrido en el sentido de las agujas del reloj dará como resultado un trabajo negativo y, por el contrario, recorrido en sentido antihorario el trabajo será positivo. El área limitada por el ciclo representa el trabajo neto realizado durante el mismo.
Trabajo adiabático. Primer Principio de la Termodinámica. Energía Interna:
Existen muchos procesos que permiten que un sistema termodinámico pase de un estado de equilibrio a otro y, en general, el trabajo realizado por o sobre el sistema es diferente en cada proceso, como ya vimos anteriormente.
De todos los procesos posibles entre dos estados determinados de un sistema seleccionemos aquéllos que sean adiabáticos, es decir, que la pared que rodea al sistema no permita el intercambio de energía térmica y en consecuencia la temperatura del sistema sea independiente de la que posea el medio exterior.
Constituye un hecho experimental de singular importancia que un sistema pueda sufrir una transformación desde un estado inicial dado a un estado final diferente, realizando únicamente trabajo adiabático, y además se encuentra también que el trabajo puesto en juego es el mismo para cualquier proceso adiabático que tenga lugar entre los mismos estados de equilibrio para un sistema cerrado. La generalización de los resultados anteriores constituye el enunciado del Primer Principio de la Termodinámica, que se enuncia «cuando un sistema cerrado varía su estado adiabáticamente, el trabajo asociado con ese cambio de estado es el mismo para todos los procesos posibles entre los dos estados de equilibrio dados», y por lo tanto el trabajo realizado solo depende de los estados inicial y final (para estos casos concretos). Este enunciado del primer principio sólo hace referencia a transformaciones adiabáticas, con independencia de la forma en que tenga lugar: trayectoria seguida, cuasiestática o no, reversible o irreversible…
Si notamos por {xi} el conjunto de variables de estado inicial y por {xf} el conjunto de variables del estado final, el enunciado del primer principio nos permite escribir:
El trabajo es una función de las variables ene stado inicial y final.
Basándonos en la teoría de campos, sabemos que si el trabajo no depende de la trayectoria seguida existe una función escalar tal que la diferencia entre los valores que toma dicha función para los estados entre los que evoluciona el sistema es igual al trabajo realizado durante la transformación. De forma análoga, introducimos ahora una función escalar de las variables de estado, denominada energía interna del sistema, que denotaremos por «U», tal que la variación de dicha función entre los estados inicial y final sea igual al trabajo asociado al proceso:
, en donde la energía interna toma un único valor en cada estado, es decir, es una función de estado. Además, la energía interna es una magnitud extensiva, o sea se, depende de la masa.
Es necesario comprobar que la ecuación está de acuerdo con el criterio de signos utilizado. En efecto, si el trabajo adiabático realizado sobre el sistema es positivo, el sistema recibe energía, con lo que en el estado final debe ser mayor que en el estado inicial, lo cual se corresponde con que ΔU > 0.
Para un proceso infinitesimal, podemos expresar la ecuación anterior en la forma:
, lo que nos indica que el trabajo adiabático infinitesimal no depende de la trayectoria.
El valor real de «U» solo se pued eestablecer si se asigna de modo arbitrario un valor numérico concreto para un estado de referencia dado de la sustancia objeto de estudio, al igual que sucede en Mecánica o Electrostática, pues como hemos visto en teoría de campos, la función escalar aparece indeterminada en una constante.
Generalizaciñon del Primer Principio. Concepto Termodinámico de Calor:
Hemos considerado hasta aquí procesos en los cuales el sistema experimenta una transición entre la realización de trabajo adiabático, si bien este tipo de procesos no son los que se realizan con más frecuencia en la práctica.
Realicemos dos experimentos distintos con el mismo sistema cerrado entre dos mismos estado inicial y final, uno adiabático, de tal forma que la energía del sistema llevar al sistema del estado inicial al final sea igual a «Uf – Ui», y el otro en el que el sistema sufra una transformación entre los mismos estados de equilibrio pero no de forma adiabática. La variación de energía interna en este caso será la misma que en el priemr caso, pero no sucede lo mismo con el trabajo realizado.
Para que este resultado sea compatible con el principio de conservación de la energía, es necesario decir que ha habido una transferencia de energía por medios distintos de la realización de trabajo. Esta energía, cuya transferencia entre el sistema y su entorno es necesaria para que se cumpla dicho principio de conservación, y que solo ha tenido lugar en virtud de la diferencia de temperaturas entre el sistema y el medio exterior, es lo que se denomina calor.
En consecuencia adoptamos como definición termodinámica de calor la siguiente: «cuando un sistema, cuyo medio exterior se encuentra a distinta temperatura que él y sobre el cual puede realizarse un trabajo mecánico, experimenta un proceso, se denomina calor a la energía intercambiada por medios no mecánicos, y que es numéricamente igual a la diferencia entre la variación de energía interna y el trabajo realizado. Designando por «Q» esta diferencia, se tiene:
, o lo que es igual:
, en donde hemos adoptado como criterio que el calor es positivo cuando la energía fluye hacia el sistema y negativo cuando fluye desde el sistema hacia el medio.
Al igual que sucede con el trabajo, no se puede hablar de cantidad de calor, pues esta magnitud representa la cantidad de energía transferida por medios no mecánicos, y no un tipo específico de energía. Además, mientras que el trabajo realizado puede ser utilizado directamente para variar cualquier forma de energía, no sucede lo mismo con el calor, que debe ser previamente transformado en trabajo para poder utilizarlo.
La ecuación anterior se considera comúnmente como la expresión analítica del primer principio, pero estrictamente no es más que la expresión matemática del principio de conservación de la energía desde un punto de vista termodinámico y sirve para calcular «Q», por ello nos referiremos a ella como la expresión generalizada del primer principio.
Obsérvese además que el calor es independiente de las propiedades de la sustancia en partícular y de la escala de temperaturas empleada y, dado que el trabajo puede ser mecánico (en sentido estrcito), eléctrico o de cualquier otro tipo, y el proceso reversible o irreversible… el calor queda definido para cualquier proceso en general.
Dado el significado de trabajo en una transformación adiabática, el calor puede definirse también como:
Así pues, dada una transición partícular entre dos estados, el calor es la diferencia entre el trabajo realizado en una transición adiabática y el trabajo realizado en la transición partícular entre los mismos dos estados inicial y final. Ésto nos permite dar una definición alternativa de proceso adiabático como aquel en el que el calor asociado a la transformación es nulo en todo momento.
Para un proceso infinitesimal, la ecuación toma la forma:
, en donde hemos empleado la misma notación «d‾» que en el caso del trabajo, para indicar que el calor no es una diferencial exacta de las variables de estado del sistema, sino una función de proceso.
Capacidad calorífica. Calor Específico:
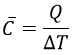
Cuando un sistema homogéneo absorbe calor, puede o no tener lugar una variación de temperatura del sistema, dependiendo de la naturaleza del proceso. Si la temperatura del sistema vería desde un valor inicial «Ti» hasta un valor final «Tf» al intercambiar con el medio un calor «Q», podemos definir la capacidad calorífica media «C‾» del sistema para un determinado tipo de proceso como la razón:
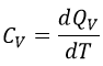
La capacidad calorífica verdadera o simplemente la capacidad calorífica del sistema viene dada por la expresión anterior cuando ΔT tiende a 0:
Es necesario tener en cuenta que la relación d‾Q / dT no puede interpretarse como la derivada de «Q» respecto a «T», pues «Q» no es una función de estado, sino que «d‾Q» representa simplemente el caloer infinitesimal asociado a una variación infinitesimal «dT» de la temperatura del sistema. Podemos pues definir la capacidad como el calor necesario para hacer variar la temperatura del sistema en 1 K en un proceso concreto.
Como el calor no es función de estado, la capacidad calorífica tampoco lo es, porque depende del proceso que tenga lugar y solo tiene un valor definido para un proceso determinado. Numéricamente la capacidad calorífica puede ser positiva, negativa o nula, según el proceso que experimente el sistema.
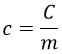
La capacidad calorífica depende de la cantidad de masa que tiene el sistema, y para obviar este inconveniente se define el calor específico como la capacidad calorífica por unidad de masa y se nota por:
, en donde «m» es la masa del sistema, y también podemos definir capacidad calorífica molar, calor especifico molar o capacidad calorífica por mol de sustancia, que se nota por la misma letra:
, siendo ahora «n» el número de moles de sustancia que contiene el sistema. Los calores específicos se expresan en el Sistema Internacional en J / kg K ó J / mol K según corresponda.
Así pues, el calor específico es el calor necesario para variar en 1 K la temperatura de la unidad de masa del sistema, al sufrir éste un proceso no adiabático.
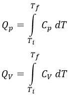
Desde un punto de vista práctico, para un sistema expansivo, las capacidades caloríficas más importantes son la capacidad calorífica a presión constante, o isobárica, y lo capacidad calorífica a volumen constante, o isocórica, que vamos a definir a continuación.
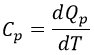
La capacidad calorífica en un proceso durante el cual el sistema se mantiene a presión hidrostática externa constante se denomina capacidad calorífica isobárica o a presión constante, y se representa por:
, y su valor numérico para un sistema determinado depende de la presión y la temperatura del mismo.
Si el sistema se mantiene a volumen constante mientras se le suministra/extrae calor, la capacidad calorífica correspondiente se le denomina capacidad calorífica isocórica o a volumen constante y se representa por:
Estas dos última expresiones nos permiten conocer el valor asociado a los procesos indicados, conocidas las capacidades caloríficas, ya que se va a cumplir:
Teniendo en cuenta que en un proceso a volumen constante el trabajo asociado al mismo es nulo y aplicando la expresión generalizada del primer principio para un proceso infinitesimal se obtiene que dU = dQ, y por tanto:
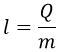
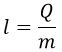
Por otra parte, si el sistema expermenta un cambio de agregacion, éste se verificará (como se justificará al profundizar en el estudio de la Termodinámica) a presión y a temperatura constantes, y el calor asociado al proceso puede expresarse:
, en donde «m» representa la masa del sistema y a la «l» se la denomina calor latente de cambio de estado de agregación (sólido, líquido o gaseoso). Así pues, este calor latente resulta ser el calor que es necesario comunicar/extraer al/del sistema por unidad de masa para que tenga lugar el cambio de fase, y por lo tanto, este calor latente podrá ser positivo o negativo:
Entalpía:
Además de la energía «U» de una sustancia, resulta muy útl definir una nueva función que denominamos entalpía (al profundizar en el estudio de la Termodinámica se justificará su introducción) y que notamos por «H», mediante la relación:
Puesto que «U» es función de estado y «p» y «V» son variables de estado, la entalpía será función de estado, por lo que su variación entre dos estados de equilibrio dados será independiente del tipo de proceso seguido en la transición entre ambos estados. Además, la entalpía es una magnitud extensiva, pues «U» y «V» también lo son.
La definición de entalpía dada anteriormente solo es válida para sistemas expansivos, cerrados y simples. Además, no debe pensarse que la entalpía es una forma específica de energía, sino que es simplemente una magnitud definida de una forma concreta, muy útil en la solución de problemas científicos y de ingeniería.
Si consideramos la variación de entalpía que tiene lugar cuando un sistema experimenta un proceso infinitesimal, la ecuación anterior toma la forma:
Una de las propiedades más interesantes de la entalpía es su relación con el calor. Así, analizamos para un sistema expansivo las variaciones de volumenque se producen bajo condiciones de presión constante, puesto que el volumen del sistema se modifica, el proceso lleva asociado un trabajo. Para evaluar dicho trabajo admitiremos que el proceso se realiza de forma cuasiestática; con esta suposición, será de aplicación la ecación anteriormente vista:
, y podremos expresar que:
, en donde:
, y teniendo en cuenta la ecuación de la entalpía a presión constante:
, y finalmente:
, relación que nos indica que el calor transferido entre el medio y el sistema expansivo simple, durante un proceso a presión constante y cuasiestático, es numéricamente igual a la variación de entalpía del sistema. Así, teniendo en cuenta lo anterior y la ecuación del calor específico a presión constante:

































por favor ser mas especificos en las respuesta aunque eta pagina es de mucha utilidad.gracias
por favor lo podrian hacermas especifico xq no se entiende muy bien pero ta muy bueno
Estan muy buena, sera que me pueden enviar un folleto sobre
termodinamica inicia..
les agradesco desde ya…
ok
le agradesco k se preocupen por los estudiantes la neta poco o mucho no saca d muchos apuros graxias
no entiendo nada aunke creo ke esta bien para mi tarea x ke la profe ni lee asi ke para q me esfuerzo
oye si mauge tienes razon esa vieja ni lee asi ke me copias x favor pa predentarle x lo menos nos vemos en el curso¡¡¡¡¡¡¡
Muy buen artículo. Creo que hay un error en la penúltima ecuación, debería ser dQ=dH. Por favor, me gustaría que escribieses sobre el segundo principio de la termodinámica. Pronto tengo un examen de termodinámica y estos artículos me están aclarando muchas cosas.Gracias.
Sí, de hecho. Es como dices tú. Tengo que retocar esta entrada que todavía tiene las ecuaciones sin actualizar y todo.
Pronto cuando es? Concreta las cosas que quieres que comente, pero ando ajetreado y no creo que pueda publicar nada antes de dos semanas :(
Gracias por pasarte!
Dentro de 1 mes xd. Básicamente sería la enunciación del segundo principio y la introducción de la entropía. Es que una de las cosas que no me quedan claras en termodinámica, es que todo el mundo diga que es una de las ciencias más firmes y que difícilmente cambiará sus principios, y que sin embargo se base en principios que no se pueden demostrar, es decir, simplemente parte de la experiencia de que nunca se ha dado el caso y ya afirma que según la teoría nunca podrá ocurrir! No lo entiendo!
Vale, pues entonces malo será que no me de tiempo. Tendré que releer estas que hace años que las escribí para ver de dónde parto y si eso escribo una entrada con toda la termodinámica porque total, pa lo que es…
Y bueno, técnicamente lo que criticas es la base de toda la ciencia xD, solo que en la termodinámica es más cantoso porque es algo que cuesta aceptar de buenas a primeras.
Hecho. Espero que a tiempo!
Magnífico blog, enhorabuena. Me ha ayudado mucho a entender conceptos básicos.
Me quiero matar. Odio termodinámica, odio la escuela técnica, odio la física… Yo era feliz comiendo pizza en la primaria mientras tenía clases de plastica o música y tomaba matecocido.