Carrera

Teoría de curvas en el espacio N-Dimensional: parametrización, elemento de línea, curvatura, torsión, triedro móvil, ecuaciones de Frenet-Serret.

En esta entrada trataremos de analizar golbalmente (aunque siempre se olvidan algunos detalles) la teoría global de curvas, es decir, de figuras geométricas que sólo poseen longitud (ni área ni volumen).

Tratar este tipo de figuras matemáticamente es muy útil para un físico para tareas como describir la trayectoria de una partícula o definir el elemento de linea (al que llegaremos en breve), sobre el cual integrar la circulación de un campo vectorial para el Teorema de Stokes que ya vimos el año pasado.

Podemos definir una curva como un objeto matemático que tiene un único grado de libertad, o lo que es lo mismo, un objeto 1-dimensional de un espacio de N dimensiones.

Descripción Matemática de una Curva:

La forma más cómoda de tratar con un objeto matemático siempre es una ecuación (recordemos que en el plano tenemos las rectas y = m x + n, por ejemplo), pero una ecuación supone una sola restricción en la libertad de nuestro objeto matemático, por lo que si nuestra curva tiene un solo grado de libertad, y el espacio es de N dimensiones: ¡necesitaríamos N-1 ecuaciones para definir una curva! Concluimos de aquí que el único espacio en el que una ecuación define una curva es el plano, puesto que N = 2.

Por este motivo, lamentablemente no recurriremos a las simples ecuaciones para tratar las curvas, y usaremos vectores de N componentes. En un principio ésto implica usar N ecuaciones, es decir, una más de las que necesitamos, por lo que será necesario introducir una variable extra que representará nuestro grado de libertad, entiéndase, nuestra parametrización de la curva.

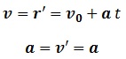
Pongamos por caso la recta en un espacio N-dimensional. Podemos decir que el vector «r» representa una recta si cumple:

, donde «r0» representa un punto del espacio contenido en la recta, «v» es el vector director, y «λ» nuestra parametrización, es decir, nuestro grado de libertad.

Podemos apreciar, como ya indiqué hace poco, que ésto representaría una partícula en un movimiento rectilíneo y uniforme sobre nuestro espacio de N dimensiones si consideramos que «λ» es el tiempo, «r0» el punto de partida y «v» la velocidad.

Es decir, en conclusión, que yo describiré las curvas como si fuesen trayectorias, y nuestro parámetro libre el tiempo, porque ésta es, a mi juicio, la interpretación más intuitiva.

Tipos de Parametrización:

Hay diversas formas de parametrizar una misma trayectoria, según cómo la recorra nuestra partícula y a qué velocidades lo haga, por lo que resulta interesante saber distinguir, al menos, entre tres tipos no completamente excluyentes entre si, a saber:

.-Parametrización Intuitiva:


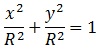
Consideraremos que una parametrización es intuitiva si el llegar hasta ella no supone ningún tipo de esfuerzo matemático. Un buen ejemplo de parametrización intuitiva seria el que vimos antes de la recta, aunque podemos poner otro ejemplo como el de una circunferencia de radio «R» en el plano, cuyas componentes «x» e «y» como curva son:

En este caso, además, podemos hacer analogías con el movimiento circular uniforme, si consideramos:

, donde «v» es la velocidad, «t» el tiempo, y «R» el radio. Es decir, la definición de circunferencia idónea para un físico es:

.-Parametrización de Desarrollo Matemático:

Supongamos que una persona no es capaz de ver esta parametrización para la circunferencia definida como:

En este caso tendríamos que recurrir a la matemática para llegar hasta esa, u otra parametrización. La forma más genérica de hacerlo es buscar una suma de dos cuadrados que de como resultado 1:

Ahora, como las únicas magnitudes que cumplen eso son el Seno y el Coseno, a través del elemental:

Suponemos:

, de donde llegamos a la ecuación ya vista:

.-Parametrización Sobre Coordenadas:

Supongamos que nos encontramos en el caso de que a quien está parametrizando la curva no le gusta considerar un parámetro libre externo a las coordenadas espaciales, y que quiere trabajar solo en términos de «x», «y», «z», «t»…

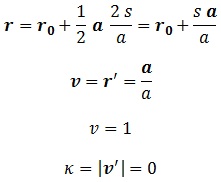
En ese caso la clave consiste en considerar que nuestro parámetro libre es igual a una de las propias variables y expresar las demás en función de la misma. Veamos ésto con el ejemplo de la recta trivial en el plano:

Si la parametrizamos como hemos visto antes:

Necesitaremos hacer un poco de tratamiento matemático para obtener «r0» y «v«, a saber: como la recta contiene al origen, podemos forzar que:

; y además, como la pendiente de la recta es 1, forzamos también que:

En resumen:

Ahora bien, si yo quisiese parametrizar suponiendo directamente:

, podría deducirlo directamente de la ecuación de partida:

Parametrizar sobre las coordenadas espaciales puede resultar mucho más cómodo en casos como este, pero enseguida veremos que no funciona para el número infinito de curvas que poseen más de un valor de «y» para cada valor de «x» o viceversa, como por ejemplo la parábola definida según:

En este caso ciertamente podemos parametrizar suponiendo:

, pero no al revés puesto que dejar «y» en función de «x» supone:

, y no podemos hacer una doble relación con el parámetro libre. En el caso de la hipérbola quasi-general ya directamente no es posible parametrizar respecto a ninguna de ambas coordenadas, puesto que ambas son bifuncionales respecto a la otra:

Ahora bien, ¿cómo parametrizamos nuestra hipérbola? La clave está en usar la propiedad de la trigonometría hiperbólica:

Sabiendo ésto, es bastante similar a la circunferencia:

Cambios de Parametrización:

En general siempre es posible cambiar una parametrización por otra, recordemos el caso de:

bajo la única condición de que el nuevo parámetro sea derivable en todo el intervalo definido. Para entender esto mejor veamos qué es una parametrización regular:

Parametrización Regular:

Diremos por convenio que una curva estará parametrizada regularmente si componente a componente es derivable en todo el dominio, y el módulo de esta derivada nunca es igual a 0. Recordemos que, al ser la curva un vector, su derivada también, así que el concepto de módulo de una derivada no debe sonarnos extraño.

La primera restricción nos obliga a que la curva sea continua (no de saltos en el espacio) y que tenga una curvatura continua (concepto al que llegaremos más adelante), es decir, que no cambie de dirección drásticamente. Además, nos indica cómo debemos acotar el intervalo de nuestro parámetro. Por ejemplo, alguien puede tener la felíz idea de parametrizar la circunferencia según «σ» comprendido en el intervalo [0, 2 π] por aquéllo de que da una vuelta completa, pero si hacemos esto nos encontramos con nada menos de que en «2 π» no es derivable porque rompe la continuidad, de modo que para que la parametrización sea regular debe estar acotada en el intervalo [0, 2 π).

La segunda restricción nos indica que la variación de la curva nunca puede ser nula, es decir, nuestra partícula no puede quedarse quieta. Ha llegado la hora de introducir el concepto de «velocidad de una parametrización» o primera derivada.

Velocidad de la Parametrización:


Si tenemos la curva «r» parametrizada con respecto al parametro «t», es decir: «r(t)«, y la derivamos una vez respecto a éste obtenemos la velocidad con respecto a nuestro parámetro vectorialmente:

Y el módulo de éste vector será la velocidad o celeridad escalar.

Veamos cuánto vale en el caso de nuestra recta trivial (usaré la notación vectorial que tan poco me gusta por ahorrar espacio):

Y en el caso de nuestra partícula en movimiento circular:

Vemos que los resultados son bastante lógicos. Si hubiésemos parametrizado con «σ» la velocidad sería un tanto diferente:

Elemento de Línea:

Pero pese a que aparentemente las distintas parametrizaciones no tienen nada que ver entre ellas, hay N parámetros que tienen en común, y el primero de ellos es el elemento de línea.

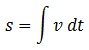
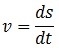
Si definimos «s» como la longitud de la trayectoria recorrida en un determinado tiempo, «ds» será nuestro elemento de línea, de tal forma que:

Nuestro problema ahora reside en obtener «ds» en términos del parámetro libre, pero si recordamos las leyes de la cinemática, la velocidad siempre se define como:

, de modo que:

, y en resumen:

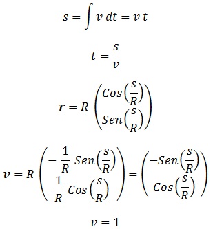
Resolver esta ecuación integral nos puede servir para expresar toda la curva en función del parámetro natural «s», ¡de modo que la velocidad resulte siempre 1!, ya que, si el parámetro libre «t» es «s» obtenemos:

Verifiquémoslo para nuestros tres casos anteriores. Para la recta tenemos:

En el caso de la circunferencia parametrizada con «t» tenemos:

En el caso de la circunferencia parametrizada con «σ» tenemos:

, y no hace falta seguir porque ya nos ha quedado igual que en el caso anterior. Queda demostrado en la práctica que la teoría anterior es cierta: la parametrización segun el término natural es idéntica independientemente de cómo lo hayamos obtenido.

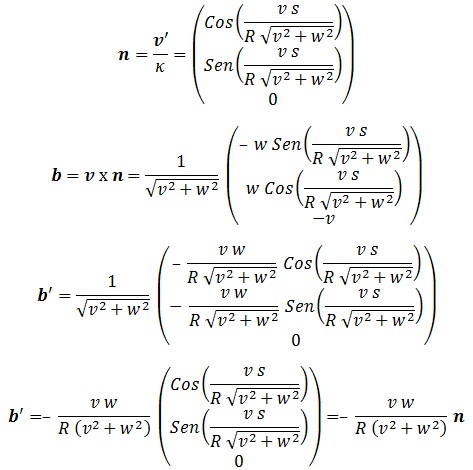
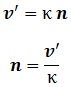
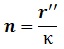
Vector Normal a la Curva:

Podemos definir punto a punto de nuestra curva un vector perpendicular a ella «n«, garantizando por ello que su producto escalar con «v» sea nulo:

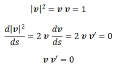
Demostraremos ahora que éste vector se puede calcular fácilmente con la derivada de la Velocidad Natural recién vista, que siempre es igual a 1, pues:

Ésto quiere decir que «dv / ds», a quien denotamos por «v’«, es siempre perpendicular a «v«, y que por tanto vamos bien encaminados hacia «n«. La única condición extra que le vamos a pedir es que su módulo también sea 1, por lo que:

Para una mayor comodidad de notación, comenzaremos a denominar a todas las derivadas respecto al parámetro natural con el símbolo ‘, de modo que:

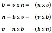
Curvatura:

Parametrizar con la forma natural tiene la ventaja extra de que nos permite calcular las otras «N-1» características intrínsecas de la curva.

Es obvio que en un espacio de 1 dimensión la única propiedad que puede tener una curva es longitud, por eso es lo primero que se calcula, pero cuando ascendemos al plano aparece el nuevo concepto de curvatura, nuestra 2ª cualidad para una curva.

Si trazamos punto a punto una recta tangente a la curva, es decir, si dibujamos la curva por envolventes, la curvatura «κ» nos indica cómo se mueven éstas rectas, tomando valores en el intervalo [0, ∞).

Resulta evidente que si la curvatura es nula nos encontramos ante una recta, del mismo modo que si no hay longitud de arco tampoco hay curva. El hecho de que una característica intrínseca de la curva de orden «n» sea nula, implica que todas las demás características de mayor rango lo sean.

Además, igual que para obtener el elemento de línea necesitamos el vector velocidad «v«, para la curvatura necesitaremos el vector normal «n«, de una forma tan simple como que:

Pero como además sabemos que:

, concluimos:

La curvatura, al decirnos punto a punto cómo se dobla la curva, es una forma suficiente de describir curvas en el plano.

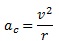
Curvatura Como Medida de la Aceleración Centrípeta:

Un físico puede fácilmente relacionar la curvatura con la aceleración centrípeta de la forma:

, puesto que, al ser la velocidad tangencial constante e igual a 1, nuestra partícula sólo puede sufrir aceleraciones trasversales.

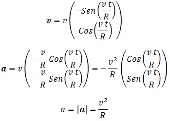
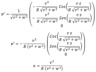
Veámoslo en el caso de nuestro movimiento circular, para el cual teníamos:

Si lo relacionamos con la fórmula física:

tiene mucho sentido, dado que en este caso hemos garantizado que la velocidad es unitaria.

Veamos qué pasaría si  intentasemos calcular «κ» sin partir del parámetro natural. En el caso de  nuestro movimiento circular teníamos:

Llegamos a una contradicción con respecto al caso anterior, pues aquí la curvatura no es simplemente la inversa del radio de la circunferencia.

Tiene que estar mal a la fuerza, pero en cambio vemos que tiene exactamente la forma de la ecuación física porque hemos considerado una velocidad distinta de 1, a costa de perder el concepto idóneo de curvatura. Mejor aún, en este caso hemos obtenido la aceleración total, pues si «v» no fuese constante tendríamos también en cuenta la aceleración total al hacerlo de este modo.

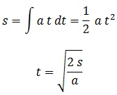
Este ejemplo lo vemos mejor con nuestra recta o movimiento rectilíneo. Supongamos un movimiento rectilíneo uniformemente acelerado:

Si comenzamos a derivar llegamos a:

, que, como ya sabíamos, es la aceleración del movimiento.

Si obrásemos con el parámetro natural, suponiendo nula la velocidad inicial obtendríamos:

, de modo que:

Tal y como anticipamos, al parametrizar con el parámetro natural sólo llegamos a la conclusión de que la trayectoria no es curva.

Así pues, ¿podemos obtener la curvatura sin el parámetro natural? La respuesta es sí, pero no será algo que trate en esta entrada.

Método General para Determinar la Ecuación Natural de Una Curva Plana Definida por la Curvatura:

Este apartado es íntegramente de desarrollo personal, pues el procedimiento que aquí voy a explicar no lo he extraído de ninguna clase ni ningún otro tipo de fuente de información. Puede ser nuevo o no (aunque no lo creo), pero en cualquier caso, me aventuro a indicarlo de todos modos.

Supongamos que queremos obtener la ecuación «r(s)» de una curva plana definida a través de su curvatura «κ(s)». Intentemos llegar a un método general para resolver este problema. Como la curva es plana, va a tener dos componentes «x(s)» e «y(s)», de modo que:

Es decir:

Por lo que, si recordamos la parametrización de la circunferencia:

Obtenemos así:

, por aplicación de la regla de la cadena en las derivadas.

Ahora, sin más que aplicar:

, ya deducimos:

Para resolver nuestro problema ahora todo depende de la destreza al integrar, pues:

Vector Binormal:

Si pasamos ahora al espacio 3-dimensional, tenemos que definir un nuevo vector binormal «b«, perpendicular a «v» y a «n» a la vez, a través de un producto vectorial:

El módulo sabemos inmediatamente que va a ser unitario, puesto que el producto vectorial cumple:

Donde «φ» representa el ángulo entre los vectores «n» y «v«, que como son perpendiculares será de «π / 2» radianes, por lo que:

Plano Tangente:

Ahora que tenemos 3 dimensiones, podemos definir no solo una recta envolvente a la curva, sino todo un conjunto de planos definidos, punto a punto, por la ecuación:

, de forma que, por ejemplo, los planos tangentes a una circunferencia envuelven un cilindro elíptico infinito, y los de una parábola un cilindro parabólico.

Plano Normal:

Asimismo, podemos definir también toda una familia de planos perpendiculares a la curva, definidos por la ecuación análoga:

  • Plano Elemental:

Pero el tercer plano, y el que más nos va a interesar por ahora es el último plano, el definido por:

, que en el caso de las curvas planas es completamente independiente de «s», puesto que es plano que, por decirlo de algún modo, intenta contener a toda la curva a partir del punto indicado de la misma, el plano que representa el corte recto a la curva por la del modo más paralelo a ella posible.

Resulta trivial por ello, o eso espero, ver que el plano elemental de las curvas planas es el plano que las contiene.

Torsión:

Ahora bien, lo que diferencia a las curvas no planas de las planas es que se escapan de su plano elemental, siendo el ejemplo típico la hélice circular, es decir, la curva que consiste en un movimiento circular ascendente, como si nuestra partícula estuviese subiendo por la marca de un tornillo.

Es imposible contener a tal curva en un único plano, pero con la torsión «τ» podemos calcular cuánto se escapa de nuestro plano elemental punto a punto.

La medida de la torsión está intrínsecamente relacionada con la variación del vector «b«, que es el perpendicular al plano elemental, por lo que tendremos que recurrir a «b’» para darle una expresión analítica:

, y como sabemos que el producto vectorial de dos vectores paralelos es nulo, llegamos a:

Ahora bien, no sabemos cuánto vale «n’«, pero por un argumento similar al empleado en la derivada de «v» sabemos que va a ser perpendicular a «n«, y por tanto, que va a estar contenido en el plano tangente. Asimismo, como el producto vectorial de los vectores de un plano tiene la dirección perpendicular al plano, ¡sabemos que «n’ Λ v» es proporcional a «n«! Asi que ya tenemos una expresión para la torsión:

El signo negativo se usa por convenio, por un motivo que veremos en breve. El valor de la torsión no tiene una fácil interpretación geométrica más allá de si la curva se desvía del plano elemental más o menos, y en ese sentido es menos interesante que la curvatura por ahora.

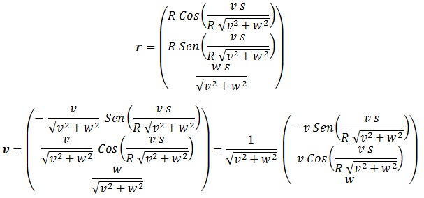
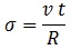
Calculemos pues, la torsión de nuestra hélice circular, definida como:

Si miramos bien esta parametrización no resulta tan desconcertante, pues no es más que una circunferencia con una tercera componente que indica cómo se mueve nuestra partícula a lo largo del eje «z».

Haremos las cuentas sin explicaciones intermedias por no rallar en la redundancia:

Y hasta aquí el ejemplo de cómo analizar por completo una curva en el 3-espacio, que ha resultado tener torsión positiva. Si nos fijamos, tanto la curvatura como la torsión de la hélice son constantes (no dependen de «s»), y ésta es la única curva 3-dimensional con:

  • κ > 0.
  • τ > 0.

que cumple esa propiedad, por el simple hecho de que, como ya hemos dicho antes, los parámetros intrínsecos de la curva la describen por completo.

El Triedro Móvil de Frenet y las Ecuaciones Frenet-Serret:

Es posible, como acabo de repetir, describir una curva en el 3-espacio completamente a partir de su curvatura y su torsión, pero es más común recurrir al triedro móvil de Frenet, compuesto por los vectores ya conocidos «v«, «n» y «b«, que también son autosuficientes.

Para llegar a las ecuaciones matriciales de Frenet-Serret, no obstante, aún necesitamos dar un último paso y obtener la derivada de «n«, que la hemos dejado olvidada. Como el triedro móvil cumple la propiedad de que todos los vectores son normales entre si, geométricamente y por la construcción del producto vectorial, uno debería ver claro que:

Así pues:

Las ecuaciones de Frenet-Serret son, pues, el conjunto de las 3 ecuaciones diferenciales del triedro móvil:

Si nos fijamos, la matriz central es antisimétrica, lo que implica que su traspuesta (cambiar sus filas por sus columnas) tiene todos los signos al revés.

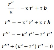
Ecuación Diferencial de la Curva en R^3:

Podemos, por último, contraer todas las ecuaciones de Frenet-Serret para la hélice circular en una única ecuación diferencial a partir de la segunda, si tenemos en cuenta:

, llegando a:

Dimensiones Más altas:

Aunque nos hemos centrado en el caso de los espacios 2-dimensional y 3-dimensional, es posible sacar algunas conclusiones para dimensiones más altas, como que siempre existirá un N-edro móvil asociado de N vectores unitarios y ortonormales entre sí, y que a cada uno de ellos se le asociará un nuevo parámetro a tener en cuenta. Nosotros hemos visto la longitud, la curvatura y la torsión, pero existirá un nuevo concepto más por cada dimensión extra a la que hagamos frente.

Categorías:Carrera, Matemáticas

2 respuestas »

  1. tengo u problema bastante bàsico, me dan dos ecuaciones z en funciìon de x elevada al cuadrado, y la segunda ecuacion es (y) en funciòn de x.
    Debo definir una parametrizacion regular y hhallar l arecta tangente en un punto .
    No se como encarar el ejercicio.

Preguntas, correcciones y debate son bien recibidos.