Carrera

El tensor métrico: breve definición de espacio vectorial, producto escalar real, norma inducida, distancia, convergencia de sucesiones y espacio de Hilbert; definición de la métrica y sus aplicaciones: producto escalar, «subir» y «bajar» índices. Métrica euclídea, de Minkowski y parametrizada. Signatura.

Espacio Vectorial:

Un espacio vectorial es un conjunto de elementos definidos sobre un cuerpo «Ω» (los reales, los complejos…) que tienen dos operaciones internas «+» y «*», llamadas suma y producto externo, de forma que la suma de dos de los elementos del espacio da lugar a un nuevo elemento del espacio, u que el producto de un elemento del espacio por un elemento del cuerpo sobre el que se asienta también es un elemento del espacio:

Cumplen las siguientes propiedades, entre las que se encuentran la asociatividad, la existencia de elemento neutro, la existencia de elemento opuesto, la conmutatividad y la linealidad:

Los elementos de un espacio vectorial, denominados vectores, pueden tener «N» componentes, donde «N» es la dimensión del espacio en el que se asientan, o dicho de otro modo, su número de grados de libertad. Algunos ejemplos de espacios vectoriales son R^n (los espacios euclídeos), C^n (los espacios complejos), el conjunto de todas las matrices, las funciones… En el caso de los espacios que se asientan sobre el cuerpo complejo, es necesario tener en cuenta que cada componente posee dos dimensiones: una real y una imaginaria, por lo que la dimensión de «C» es idéntica a la de «R^2» y y un vector de dos componentes es análogo a un número complejo.

Producto Escalar Real:

Decimos que un espacio vectorial posee un producto escalar real si existe una operación de multiplicación entre sus elementos que devuelve como resultado un elemento del cuerpo sobre el que se asientan. Como el cuerpo más general que vamos a considerar es el de los números complejos (recordemos que por encima de este se encuentran otros tales como los hipercomplejos), consideraremos las tres condiciones que debe cumplir todo producto escalar (positividad, linealidad y homogeneidad), y una más debida a los números complejos: la hermiticidad, que implica que el producto escalar entre dos vectores considera los valores conjugados complejos de las componentes del primero de ellos, que denotamos por un asterisco *:

Así pues, las condiciones de producto escalar real son:

El hecho de que cambiar el orden de los elementos del producto escalar conjugue su valor implica que los vectores definidos sobre el cuerpo complejo no son conmutativos respecto al producto escalar.

Asimismo, el producto escalar de un vector por sí mismo es, por lógica, independiente de qué vector se multiplique primero (son iguales). Debido a ello, y a que el cambiar el orden de los factores conjuga el producto, llegamos a una conclusión importante: si un complejo es igual a su conjugado, es que la parte imaginaria es nula. El producto escalar de un vector consigo mismo es siempre real, independientemente del cuerpo sobre el que se defina.

A través del producto escalar también es bastante corriente definir la ortogonalidad. Decimos que dos vectores son ortogonales si su producto escalar es nulo.

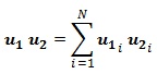
El producto escalar euclídeo en los espacios euclídeos R^n se define como la suma del producto de sus componentes:

El producto escalar euclídeo de funciones legengre-integrables en un intervalo [a,b] se define como:

Norma Inducida:

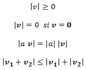
A través del producto escalar, podemos introducir el concepto de norma inducida de un vector, «|v|», a través de la siguiente expresión:

, y debido a las propiedades del producto escalar que la define, cumple:

Distancia:

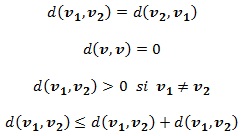
A través de la norma inducida, podemos definir también el concepto de distancia entre dos vectores como:

Y cumple las siguientes propiedades:

Convergencia de Sucesiones:

Decimos que una sucesión de vectores converge a un vector dado «v» si a medida que avanzamos en la sucesión la distancia entre «v» y los vectores de la misma disminuye tanto como queramos. Decimos que un espacio vectorial es Completo si todas las posibles sucesiones de vectores anterior incluidas en él convergen en su interior.

Espacio de Hilbert:

Un espacio vectorial es un espacio de Hilbert si es completo en la norma inducida por el producto escalar definido.

Métrica:

La métrica es un tensor de 2º orden simétrico (en la próxima entrada veremos lo que significa esto en más detalle), pero fundamentalmente de idea es que se puede representar como una matriz cuadrada de «N» filas y «N» columnas donde «N» representa el número de grados de libertad, y que además si intercambiamos sus filas por sus columnas no se altera (es idéntica a su matriz traspuesta). Como la métrica tiene dos componentes «i», «j», filas y columnas, en base a los conceptos ya vistos de covarianza y contravarianza puede suceder que ambas componentes sean covariantes, que ambas componentes sean contravariantes, o que una sea covariante y la otra contravariante. Todos estos casos se definen a través del producto escalar euclídeo de vectores.

.-Métrica Covariante:

Si tenemos una base principal de «N» vectores «ei«, en virtud del producto escalar definimos la métrica covariante como:

que frente a cambios de coordenadas se transforma de la forma:

, es dedir, con 2 transformaciones covariantes simultáneas.

.-Métrica Contravariante:

Análogamente al caso covariante, definimos esta nueva métrica con la base contravariante de vectores:

, que se transformará por medio de 2 transformaciones contravariantes simultáneas:

.-Métrica Invariante:

En caso de que combinemos vectores covariantes y contravariantes para definir la métrica, llegaremos a la conclusión de que es invariante, pues como ya vimos en la entrada sobre varianza:

en cualquier sistema de coordenadas, por lo que toda métrica que los combine será:

Podemos demostrar su invarianza sencillamente, aplicando las propiedades de la delta de Kronecker:

«Subir» y «Bajar» índices:

Gracias a la métrica es posible pasar cómodamente de las componentes de un elemento en la base contravariante a las componentes del mismo elemento en la base covariante (y viceversa) usando la notación de Einstein. Pongamos por caso que tenemos un vector expresado en base covariante, y queremos expresarlo en base contravariante. Sabemos que se tiene que cumplir:

Si introducimos la métrica dos veces en la primera parte de la igualdad y reagrupamos:

Teniendo en cuenta la igualdad de arriba, llegamos a que se tiene que cumplir también:

, y por tanto, de la primera igualdad sacamos:

En conclusión, las ecuaciones para «subir» y «bajar» los íncices son:

Redefinición del Producto Escalar:

En base a este juego de índices, podemos redefinir el producto escalar entre dos vectores (pondremos por caso en su base covariante) subiendo y bajando índices del siguiente modo:

El producto escalar de dos vectores es idéntico a la suma de los productos de sus componentes, expresando las de uno en la base covariante y las del otro en la base contravariante. En el caso euclídeo, como los índices covariantes y los contravariantes son idénticos (visto en la entrada sobre varianza) el producto escalar toma la forma con la que lo conocemos habitualmente y que ya vimos arriba.

En conclusión, de ahora en adelante hablaremos de un producto escalar de vectores escribiendo:

Y el hecho de que el producto escalar dependa de las componentes en ambas métricas, implica que la norma de los vectores y la distancia antes definida también dependen de la métrica.

En general, bajo cambios de coordenadas lineales será un invariante, por lo que llamarle escalar es correcto: no se transforma frente a transformaciones coordenadas:

Ejemplos de Métricas:

.-Métrica Euclídea:

En un espacio euclídeo R^n la base canónica son vectores unitarios ortogonales (producto escalar nulo), por lo que su métrica será:

, idéntica a la delta de Kronecker.

.-Métrica de Minkowski:

En el espacio tetradimensional sobre el que se asienta la teoría de la relatividad es más frecuente, para evitar el uso de números complejos o hipercomplejos, escribir las últimas 3 componentes de la métrica (las espaciales) con un signo negativo delante, de la forma:

En próximas entradas daremos mucho uso a esta métrica.

.-Métricas Parametrizadas:

En caso de que las coordenadas ordinarias hayan sido sustituidas por otras (esféricas, cilíndricas, polares), la métrica varía punto a punto, y se escribe en función de los productos escalares de las curvas propias de la parametrización, como ya vimos en la teoría general de superficies llamándola 1ª Forma Fundamental.

Signatura:

La signatura de una métrica se define como el signo del determinante, pudiendo ser positiva o negativa (no existen métricas nulas). Asimismo, también se puede interpretar como signatura el número de autovalores positivos y negativos de la métrica.

Categorías:Carrera, Matemáticas

6 respuestas »

  1. Es muy fuerte ir a leer este artículo y encontrarse en la primera linea que los naturales son un cuerpo… amigo mio, no puedo enfrentarme a leer esto ya sin dudas de que este bien.

  2. En las propiedades del producto escalar has cometido un error en la última expresión, debería ser
    v1·v2 = (v2·v1)*. Si no me equivoco.

Preguntas, correcciones y debate son bien recibidos.