Los conceptos de covarianza, contravarianza e invarianza son una de las herramientas más importantes de la formulación matemática de las leyes físicas, y pese a que en raras ocasiones se explican detenidamente, todo el mundo tiene una idea intuitiva de lo que significan.
En esta entrada explicaré brevemente la notación que requieren estos conceptos, así como su utilidad al trabajar con vectores y demostrar la relevancia de las magnitudes escalares.
Supongamos que en un determinado espacio (euclídeo o no, las condiciones necesarias para su validez no nos son importantes) de dimensión «N» tenemos una base de «N» vectores linealmente independientes. Consideraremos el ejemplo que seguiré durante la entrada el plano euclídeo R^2 con la base de vectores ortonormales:

Estos serán, de ahora en adelante, NUESTROS vectores. ¿Por qué lo escribo entre mayúsculas? Porque según ellos hablaremos de la covarianza o contravarianza de los demás elementos que intevengan.
Definimos como base principal a la base de vectores a la cual referiremos las coordenadas de los demás elementos del espacio, y como elementos covariantes con ella a los que se transforman del mismo modo que ella bajo un cambio de coordenadas.
Los elementos covariantes se especifican escribiendo sus índices bajo los mismos. De este modo tenemos en nuestro ejemplo:
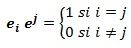
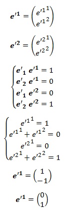
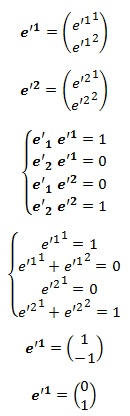
Definimos como base contravariante al conjunto de «N» vectores (con el índice arriba) que cumplen la siguiente condición con respecto a los productos escalares con los elementos de la base principal:
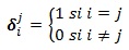
es decir, para cada elemento «i» de la base principal existe un único elemento «j» con el cual posee un producto escalar igual a la unidad, y es ortogonal a todos los demás (en base a que si el producto escalar es nulo los vectores son ortogonales). Para expresar esta expresión más cómodamente se define la delta de kronecker y se incluye en la ecuación:

En el caso que nos ocupa, podemos obtener fácilmente los elementos de la base contravariante:
La conclusión es que en este caso la base contravariante es exactamente igual a la base principal. A esto le veremos más lógica en venideras entradas del blog, pero por ahora baste fijarse para verle sentido en que la propia base principal cumple poseer un producto escalar unitario entre un elemento y sí mismo, y que los elementos sean ortogonales entre sí.
Ahora bien, hemos dicho que la base contravariante se transformará siempre de modo inverso a la principal, y ésto es lo que comprobaremos a continuación.
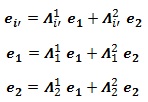
Supongamos una transformación de la base principal que la lleva a otra base ‘ de «N» elementos asociados uno a uno con la anterior, pongamos por caso:
es decir, mantenemos el primer vector de la base idéntico, y hacemos que en esta ocasión el segundo vector base sea la suma de los dos anteriores. Definimos como matriz de transformación covariante a la matriz «Λ» que expresa este cambio de coordenadas:
Resulta de nuevo más cómodo introducir una notación más clara para esta expresión, y para ello la expresaremos con la notación de Einstein. Podemos expresar cada elemento de la matriz según su fila «i» y su columna » i’ «, de modo que con la notación de Einstein el hecho de que dos elementos tengan la misma letra en un índice y uno de los índices esté abajo (sea covariante) y el otro esté arriba (sea contravariante) implica que se suman todos los posibles valores del índice. Para verlo, escribiremos la transformación de nuevo y después expondremos lo que representa en nuestro caso:
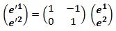
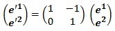
En este nuevo sistema coordenado, la base contravariante será distinta también, pues el conjunto de vectores que cumplen los requisitos adecuados ya no son los mismos. Podemos calcularlos de modo análogo a como hicimos antes:
Sabiendo cómo es la nueva base contravariante, podemos relacionarla con la anterior, obteniendo así la matriz de transformación contravariante:
, que es exactamente la inversa de la matriz «Λ«. Es decir, los elementos contravariantes se transforman exactamente del modo opuesto a los covariantes. Expresado con notación de Einstein:
Puede parecer confuso el hecho de volver a usar «Λ» para representar la matriz contravariante, pero de nuevo la notación de Einstein se adapta a ello, pues podemos interpretar de qué matriz se trata en cada caso según si el elemento al que multiplica es co(contra)variante.
Las matrices de transformación, lógicamente, se pueden revertir con la inversa siempre y cuando su determinante sea no nulo:
El producto de matrices inversas, a su vez, satisface por definición la ecuación:
Y gracias a ello podemos verificar la propiedad de cierre de las transformaciones, que no dice otra cosa que si transformamos un vector y después lo destransformamos, recuperamos nuestro vector original:
al final de esta expresión hay que tener en cuenta que como la función delta sólo vale «1» si «i» e » i» » son iguales, es perfectamente equivalente al primer término de la igualdad.
Gracias a la notación de Einstein, podemos expresar un vector como la suma de sus componentes multiplicados por los vectores de la base en la que están expresadas del siguiente modo:
El hecho de expresarlo así implica que estamos asumiendo que al expresar las componentes de un vector en la base principal, dichas componentes serán contravariantes (hemos puesto el índice arriba). Comprobémoslo con un ejemplo, suponiendo que en la base principal tenemos el vector:
Estas componentes se obtienen unívocamente según el número de veces que hay que sumar cada elemento de la base para obtener nuestro vector. Así pues, si consideramos nuestra base covariante transformada, las nuevas componentes de nuestro vector serán:
, que satisfacen la ecuación de transformación contravariante en nuestro ejemplo:
Queda demostrado que las componentes de un vector en la base covariante son contravariantes, y que por tanto satisfacen:
En cambio, el vector «v» en sí, es un invariante, pues es idéntico antes y después de la transformación:
Podemos cambiar sus componentes y la base en la que las expresamos, pero el resultado será el mismo.
Si expresamos sus componentes en la base contravariante, por el contrario, vamos a observar que sus componentes tendrán que ser covariantes, ya en primer lugar para que exista coherencia en la notación de Einstein:
Es frecuente denominar a los vectores expresados en la base contravariante covectores. En nuestro ejemplo, dado que antes de la transformación la base principal era idéntica a la contravariante, nuestro covector será idéntico al vector anterior. Tras haberse transformado, si intentamos expresarlo en la base contravariante nueva que obtuvimos arriba, podemos observar que es opuesto al primer elemento de dicha base, por lo que nuestro covector en la base contravariante transformada se expresa como:
Satisfaciendo nuestra ecuación de transformación covariante:

Asimismo, podemos volver a demostrar la invarianza del covector en sí mismo con el cambio de base:
Categorías:Carrera, Matemáticas










Hola Adrián otra vez. En 1º lugar gracias por tu ayuda y apoyo, estudio física en la UNED y es un desastre. Con los recortes no te responden, o te responden otra cosa, y para variar el texto –como todos los textos de matemáticas de editoriales no comerciales de autores españoles- está encriptado, y es que no quieren hablar claro. Yo a estas matemáticas les llamo egiptología. Si interesa el tema, podría hablar de ello.
Respecto del tema de la cova y contravarianza, si había leído tu artículo. En otra correo, para que este no sea demasiado largo, te enviaré unas erratas que he creído encontrar. El concepto está claro –por cierto me ha venido bien la forma que tienes de decir que la covarianza es “variar con”(la base principal) y la contravarianza “variar contra” (la base principal). En egiptología te dicen que cova es lo que se transforma con la matriz de cambio de base y te ponen la formulita y punto, con lo que no se acaba de entender una cosa más bien sencilla- lo que quería saber es el porqué del concepto de covariante, que necesidad hay de ello, si ya existen las componentes contravariantes “de toda la vida”; que transcendencia tiene la base dual o contra (además de permitir el empleo del producto escalar para obtener las componentes de un vector).
Como verás no me refiero al «tecnicismo» del concepto, que eso se les da muy bien a muchos autores, sino al porqué de su definición.
Gracias y saludos, Adrián
Tú mismo lo estás diciendo: en este formalismo es muy fácil identificar escalares y, por tanto, invariantes frente a transformaciones de coordenadas. En el sistema euclídeo usar la base contravariante (coordenadas covariantes) es equivalente a usar la base covariante, pero en base esférica mismamente ya no lo es.
Es decir, la base contravariante es para poder emplear el producto escalar y tiene su aplicación sobre todo en espacios no euclídeos.¿no?
Por cierto, espacio euclídeo (espacio donde se cumplen los postulados de Euclides) es el único espacio donde se puede hablar de rectas y planos, los demás son espacios curvos )Riemman, etc) ¿es así?
Gracias Adrián
De rectas y planos se puede hablar en todos. Lo que pasa es que una recta en un espacio curvo se ve curva, y una curva que se ve recta en un espacio curvo típicamente no será recta en el euclídeo.
Sobre eso hablé más en detalle aquí: https://estudiarfisica.wordpress.com/2012/09/08/elementos-geometricos-de-relatividad-general-i-vectores-y-covectores-tangentes-derivada-covariante-transporte-paralelo-geodesicas-y-transformaciones/
Hola Adrián, que tal vas. Te envío los «errores» que creo haber visto, como te comenté. Si no es así, te pido disculpas de antemano, pues estas cosas dan rabia pues hacen perder el tiempo. Allá va:
– Párrafo 8 de fórmulas.- faltan las primas (en las “e” o en los subíndices)
– Párrafo 11.- e^i’ = A^i’_i . e^i
la base dual se transforma con la matriz inversa del cambio de base, no con dicha matriz
– Párrafo 12.- Por lo mismo, en la 2ª ec tiene que figurar la matriz del cambio de base,
A, no su inversa.
– Párrafo 19.- Lo mismo para el vector v v^i’ = A^i’_i . v^i
tiene que figurar la matriz inversa.
Hasta otra
Hola, todo lo que dices es correcto.
No obstante,
a) Para simplificar, se asigna la matriz inversa inmediatamente si se contrae con componentes contravariantes y viceversa. Al menos en cosas básicas.
b) En lo del párrafo 8 queda efectivamente confuso porque al poner el valor de los índices se pierde lo que es y no es primado.
No descarto cambiarlo por claridad, en cualquier caso.
Hola, buenos días, soy de argentina y estoy cursando ingeniería, y se me ha presentado un problema, me han pedido hallar la ecuación secular o característica para el estado plano para ejes ordinarios, la cual halle, y luego me piden, partiendo de esta ecuación, demostrar que los invariantes de la misma serán iguales a los invariantes pero ahora referidos a ejes principales, siempre referidos al estado plano.
Quisiera saber sí podrían ayudarme, desde ya muchas gracias
Saludos
Hola, sin saber qué habéis dado complicado.
Hola. Tengo una pequeña duda.
Cuando pones un vector de una base (la que sea) igualado a las componentes explicitas, ya sea (1,0), (1,-1) o las que sean, ¿estas están referidas a la base principal?
De ser así cuando calculas la matriz de transformación contravariante te estarías saltando el paso, que en este caso no es necesario ya que la base covariante y la contravariante coinciden, de cambiar las coordenadas para que queden expresadas en función de la primera base contravariante, ¿no es así?.
Hola. Ahí hay una dualidad. Las componentes covariantes indican cómo se transformaría el vector con respecto a la base principal. Las contravariantes indicarían las componentes en la nueva base. Debido a esto el producto escalar se mantiene, dado que «componentes en base nueva*vectores nuevos expresados en base vieja»=»componentes viejas*base vieja»
Hola Adrián,
Felicidades por el blog. Me ha alegrado mucho encontrarlo porque me gusta la Física y, aunque soy Ingeniero de Telecomunicaciones, también me hubiera gustado estudiar Física. Así que iré visitando las entradas de este blog.
Sobre esta entrada en particular me ha resultado extremádamente útil porque me ha ayudado a entender el por qué de la distinción entre componentes covariantes y contravariantes, que llevaba tiempo dándole vueltas.
Por último una duda. No acabo de ver que la matriz de transformación contravariante sea la inversa de la matriz de transformación covariante (lambda mayúscula). Multiplico ambas matrices y no resulta la matriz identidad.
Un saludo,
Fran
Hola Fran,
Tenemos dos opciones:
-Has cometido algún error en las cuentas.
-No has tenido en cuenta que hay que trasponer.
Ya me dirás. Si no te pongo un ejemplo de que en efecto sí son inversas.
Se me había olvidado trasponer.
Un saludo y muchas gracias,
Fran
Hola Adrián. Recomiendas algún libro que contenga y explique este tema?
De antemano muchas gracias
Llevo años sin entender el trasfondo de la covarianza y la contravarianza, y lo has explicado tan bien aquí que tengo qie dejarte este comentario y unas gracias gigantescas, pareciera una tontería pero jamás entendí a fondo lo que significaban, saludos!