En la entrada anterior obtuvimos la expresión de la lagrangiana relativista e hicimos un pequeño análisis cualitativo de la misma, del cual concluimos, entre otras cosas, que no había ninguna forma intuitiva de introducir en ella los posibles campos en los que se estuviese moviendo la partícula, ya que la energía potencial tal y como la definimos siempre no era una magnitud tetradimensional, sino una función de estado en el espacio.
Así pues, ahora nuestro objetivo será adaptar la lagrangiana a la presencia de fuerzas sobre la partícula relativista, en concreto a la fuerza gravitatoria.
Sistemas en Reposo:
Nuestra lagrangiana relativista se definía a través de la métrica y la cuadrivelocidad como:
, y por tanto Einstein se encontró ante el problema de cómo podría él introducir los campos que pudiesen alterar la trayectoria en esta ecuación.
Si nuestra partícula se moviese en torno a un cuerpo de masa «M», se vería atraída hacia él según la ley de gravitación universal:
, donde «G» sería la constante de gravitación universal, «m» la masa del cuerpo en movimiento y «r» la distancia relativa entre ellos, según el sistema de coordenadas polares.
¿A qué se debía esto? Para Einstein, decir que los cuerpos se atraen entre ellos instantáneamente por el simple hecho de coexistir en el espacio era un argumento feo y poco elegante, que no merecía ser considerado como una ley de la física.
Además, el concepto de cuerpo en reposo, bajo su punto de vista, era caótico. Usualmente se decía (y se dice) que un cuerpo apoyado en el suelo se encuentra en reposo si no se mueve con respecto a este. Sin embargo, en cuanto intentamos alzarlo, vuelve a caer al suelo debido a la «gravedad». ¿Podemos realmente considerar entonces que nuestro sistema está en reposo si está sometido a una fuerza que impide que los cuerpos se muevan libremente en él? Para Einstein, la respuesta era un rotundo no. Un sistema en reposo debía de ser aquel en el que las fuerzas externas fuesen inapreciables en el movimiento.
Principio de Equivalencia:
El experimento mental del ascensor de Einstein ya fue comentado en los orígenes de este blog, pero no estará de más que vuelva a aparecer por aquí.
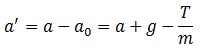
Supongamos que nos encontramos en el centro de un ascensor enorme sobre la superficie de la tierra, cuyo tamaño es mucho menor que el radio de la misma. Supongamos además que el ascensor cuelga de un cable y que desde dentro no se puede ver nada del exterior. Debido a que la distancia que recorre el ascensor es mucho menor que el radio de la tierra, la atracción gravitatoria no variará mucho de un punto a otro y podremos suponerla constante. A esta constante la denominaremos «g» y es por todos sabido que vale 9,8 metros por segundo cuadrado (la aceleración con la que cae un cuerpo sin rozamiento).
La tensión «T» de la cuerda será la fuerza que en todo momento se oponga al peso «P» en su caída, de modo que la aceleración del ascensor (con signo positivo hacia arriba) vendrá dada por:
, siendo «m» la masa del ascensor, y en donde denominamos a la aceleración del ascensor «a0» por ser un sistema de referencia móvil en base a la teoría de sistemas de referencia de Galileo. Esto implica que si dentro del ascensor, desde la tierra vemos que un cuerpo obtiene una aceleración vertical «a», tanto hacia arriba como hacia abajo, desde dentro del ascensor observarán una aceleración distinta:
Analicemos entonces los distintos casos.
.-Si la tensión es igual al peso, y dentro del ascensor una persona cae en caida libre, desde dentro del ascensor se le verá llevar una aceleración:
, que es la misma que se observa desde fuera debido a que el ascensor está en reposo con respecto a la superficie de la tierra. En esta situación, las leyes de la física son exactamente las mismas que en la superficie del planeta para las personas dentro de él: si alguien salta se cae con aceleración «g».
.-Si la tensión es, pongamos por caso, 2 veces superior al peso, el ascensor ascenderá, y una persona que con respecto a la tierra esté quieta se verá comprimida hacia el suelo del ascensor:
Una persona quieta en un ascensor que asciende con una tensión de dos veces el peso del mismo experimenta la misma atracción hacia el suelo que otra persona que salta en el ascensor cuando este está quieto. Si mientras el ascensor asciende en estas circunstancias a otra persona le diese por saltar, se vería atraída hacia el suelo con una aceleración doble y el impacto sería más grande:
En conclusión, la «gravedad» que medirán las personas dentro del ascensor aumenta con la tensión.
.-Si la tensión es ahora exactamente nula (hemos cortado el cable), es ascensor caerá en caída libre, y cara al exterior las personas que van en su interior también lo harán. En cambio, vemos que en una caída libre del ascensor, las personas en su interior no experimentan ningún tipo de gravedad:
En esta situación, si una persona que cae se impulsa hacia arriba, no notará «nada» que tire de ella hacia el suelo del ascensor, beneficiándose de lo que se denomina la «gravedad 0». Por supuesto, esta sensación sólo se da dentro del ascensor, pues desde fuera la gente puede ver que se están cayendo.
Así pues, hemos obtenido el sistema en reposo que Einstein consideraba idóneo. En un sistema de referencia que «cae» por un campo gravitatorio no hay ningún tipo de fuerza que restrinja los movimientos. Un sistema de referencia acelerado por la gravedad no transmite efectos gravitatorios a las cosas que contiene.
¿Cuál es la conclusión? Einstein, partiendo de que todos los cuerpos tienden a estar en reposo, supuso que este estado se daba cuando se dejaban llevar por las fuerzas inerciales, en este caso la gravedad. Una partícula en reposo es la que está «cayendo» hacia la tierra, no la que ha chocado con ella.
Ahora bien, ¿por qué la partícula en reposo sigue esa trayectoria y no otra?
Supongamos una esfera sobre cuya superficie existe un mundo de dos dimensiones de seres planos. Estos seres nunca podrán salirse de la superficie de la esfera ni ser conscientes de la 3ª dimensión, pues su punto de vista está limitado.
Si uno de ellos obtuviese una velocidad «v» sobre en su mundo y no se viese afectado por ninguna fuerza, según las leyes de Newton permanecería en reposo. En cambio, su trayectoria no sería recta, sino que se iría curvando para adaptarse a la superficie de la esfera. Como su dirección cambia constantemente, este ser tendría que decir que existe una fuerza inercial que le empuja hacia la esfera cuando intenta escaparse de ella. Sin embargo, para nosotros, que lo vemos desde fuera, todo se resume a un problema geométrico: como se tiene que mover sobre la esfera, su trayectoria se curva por la geometría de la misma.
Einstein decidió que merecía la pena pensar que lo mismo sucedía con nuestro espacio. La geometría espacio-temporal de la relatividad especial de 4 dimensiones podría estar curvada sobre sí misma, alterando las rutas de los cuerpos al moverse. La caída de los cuerpos hacia la tierra podría deberse a que esta curvava el cuadriespacio hacia su interior, mientras que ellos simplemente se mueven en su reposo. Las geodésicas de las partículas las guían hacia pozos de energía potencial.
Así pues, la aparición de energía potencial en el espacio contorsiona las fibras del espacio y el tiempo, revolviéndolas entre ellas y alterando el concepto de «rectitud» que podríamos presuponer en el espacio.
Debido a esta falta de homogeneidad, el concepto de métrica en el espacio-tiempo debía de verse alterado punto a punto, y matemáticamente Einstein decidió buscarle una analogía con el tensor de curvatura que Riemann descubrió unas décadas antes, obteniendo buenos resultados. Todo este formalismo matemático en estos momentos me excede, por lo que no haré comentarios sobre él. Lo importante es que cuando Einstein escribió sus nuevas ecuaciones para una teoría general de la relatividad (con aceleraciones), Schwarzschild las resolvió llegando a conclusiones muy interesantes para los fanáticos de la ciencia ficción como yo. En esta entrada, llegaremos a los resultados de Schwarzschild de un modo menos serio que con las ecuaciones de Einstein.
Velocidad de Escape:
Como vimos en la teoría clásica de órbitas, cuando dos cuerpos interaccionan gravitatoriamente, si consideramos que uno de ellos está quieto, podemos definir la geometría de la órbita según la energía mecánica del otro. Si la energía era negativa (la potencial ganaba a la cinética), la órbita se cerraba en una elipse. Si la energía era positiva (la cinética ganaba a la potencial), la órbita era completamente abierta en una hipérbola.
El punto clave lo encontrábamos en la energía nula, que marcaba el punto en el que una órbita cerrada pasaba a ser abierta y el cuerpo en movimiento podía escapar del que estaba en reposo. A esta velocidad se la denominó velocidad de escape por motivos más que evidentes, y su expresión se obtiene de igualar la suma de ambas energías a 0:
Una propiedad interesante es que la velocidad de escape depende de la distancia «r» entre los dos cuerpos, y a medida que la distancia es mayor se va reduciendo a 0 rápidamente, mientras que cuanto más próximos están tiende hacia el infinito. Además, es útil darse cuenta de que existe una operación invariante entre la velocidad de escape y la distancia «r»:
, para cualquier valor de «r».
Radio de Schwarzschild:
Dado que la velocidad de escape puede tomar cualquier valor real positivo, para toda masa atractora «M» existe un determinado radio en el que la velocidad de escape es igual a la velocidad de la luz. Este radio, denominado radio de Schwarzschild «rs», se puede definir fácilmente imponiendo su definición a la ecuación anterior:
, siendo «c» la velocidad de la luz. Este radio, dado que está dividido por el cuadrado de la velocidad de la luz, siempre será muy pequeño, salvo casos en los que el cuerpo atrayente tenga una gran masa «M».
Horizonte de sucesos:
Dado que en el radio de Schwarzschild la velocidad de escape es idéntica a la de la luz, tan sólo ella podrá escapar de una órbita a esa distancia del cuerpo atrayente. Asimismo, a distancias inferiores al radio de Schwarzschild las velocidades de escape serán aún superiores y, en teoría, inalcanzables.
La conclusión es que nada debería poder escapar del campo gravitatorio una vez que se ha entrado dentro de dicho radio, pues la velocidad de escape excede el límite permitido por la relatividad especial.
Más allá del radio de Schwarzschild los cuerpos se mueven a velocidades inferiores a la de la luz siguiendo trayectorias tipo tiempo. Aquí las leyes de la relatividad especial dominan todas las transformaciones de coordenadas sin ningún tipo de problema. El tiempo se dilata cuanto más próximo a la perturbación, y a su vez el espacio se comprime.
En el radio de Schwarzschild, la luz orbita en torno a perturbación sin poder escapar, con un tiempo infinito y una distancia recorrida nula cara a un observador externo. Denominamos a esta región el horizonte de sucesos, pues lo que suceda dentro de ella, en principio, nunca lo podremos saber.
Dentro del radio de Schwarzschild, y esta es la parte interesante, las matemáticas nos dicen que el tiempo debería ir hacia atrás y las distancias recorridas ser negativas. ¿Podría ser posible viajar al pasado al entrar en un horizonte de sucesos, en el hipotético caso de que hubiese un modo de salir de él? Más importantes aún son las matemáticas en el centro de la perturbación, pues el tiempo es nulo y la longitud recorrida es infinita cara a un observador externo.
Los extraños resultados de lo que sucede con el tiempo bajo el horizonte de sucesos han sido debatidos durante los últimos 50 años por prestigiosos físicos de la talla de Stephen Hawking, quien está firmemente convencido de que el viaje en el tiempo es imposible.*
*Hace ya 2 años escribí una entrada sobre los multiversos y próximamente escribiré algo parecido sobre el viaje en el tiempo, también en tono divulgativo.
Agujeros Negros:
El radio de Schwarzschild sólo depende de la masa de los cuerpos que perturban el espacio, como se puede fácilmente deducir de su fórmula. Por ejemplo, el radio de Schwarzschild del Sol es de unos 3 quilómetros, lo que implica que se encuentra muy próximo a su núcleo. El radio de Schwarzschild de la tierra es de unos 9 milímetros, lo que lo hace absolutamente despreciable a efectos prácticos. El radio de Schwarzschild de una persona de unos 100 kg es más pequeño que una quintillonésima parte de milímetro, lo que no sólo lo hace despreciable a efectos numéricos sino también como teoría, pues a esas escalas predomina la mecánica cuántica.
En todos estos casos, hemos analizado cuerpos cuyo radio de Schwarzschild es mucho más pequeño que ellos, pero qué sucedería si el radio de Schwarzschild fuese más grande que el propio cuerpo debido al exceso de densidad. Nos encontraríamos, lógicamente, ante un agujero negro.
El agujero negro es el conjunto de masa comprimida tal que está encerrada dentro de su horizonte de sucesos, y de la cual por lo tanto no podemos ver nada, pues está más allá de nuestro alcance.
Métrica y Lagrangiana de Schwarzschild:
Si le buscamos a todo esto un formalismo matemático, como ya cité antes, tendríamos que resolver matemáticamente las ecuaciones de Einstein, pero aquí vamos a llegar a los resultados de Schwarzschild intuitivamente.
La métrica de Schwarzschild deberá depender de la distancia «r» entre el cuerpo y la perturbación, al menos en sus coordenadas radial y temporal. Si recordamos, el tensor métrico se definía como la matriz NxN de productos escalares entre los vectores base del espacio en cuestión. Nosotros, al trabajar con órbitas planas, consideraremos un espacio de 3 dimensiones, que serán el tiempo «t», la distancia «r» y el ángulo de giro «σ». En la anterior entrada vimos que esto nos llevaba, con la métrica de Minkowski, a la lagrangiana:
En este caso, necesitaremos que el tiempo sea infinito en el radio de Schwarzschild. Esto implicará que la base con la que lo medimos (la base temporal) deberá anularse a dicha distancia. Asimismo, esta base tendrá que valer 1 en el infinito, donde no se ve afectada por ninguna perturbación. De aquí podemos concluir que el factor «R» de alteración de la base temporal es un «1» al que se le resta una cantidad que aumenta cuanto más pequeño es «r», y que lo anula en el radio de Schwarzschild, a saber:
, y el espacio se trasformará de un modo inverso, con lo que la métrica de Schwarzschild en coordenadas polares incluye un factor «R» para el tiempo y un factor «1 / R» para el espacio, y la lagrangiana nos resultará:
Gráficamente, con esto conseguimos que la distorsión de la base temporal con «r» sea de la forma:
, donde el punto en el que se anula es justo el radio de Schwarzschild. Para el espacio, la gráfica de distorsión de su base será opuesta a esta gráfica:
, donde la recta vertical en la que ambas ramas de la hipérbola se van al infinito es el radio de Schwarzschild.
Todo este montaje matemático que hemos desarrollado en base a unas afirmaciones de dudosa fiabilidad se deben, como repito por tercera vez, a que no hemos seguido el camino correcto. En la próxima entrada utilizaremos esta lagrangiana para obtener la desviación de Mercurio. Este resultado es clásico porque fue el que Einstein usó para demostrar que su teoría era cierta, ya que obtuvo exactamente la desviación medida por otros científicos de dicho planeta.
Categorías:Física, Relatividad





Si desde la superficie de un cuerpo que tenga de radio su radio de Schwarzschild se desprende un rayo de luz, este llega al infinito, pero si este rayo se desprende desde un poco mas abajo del radio, ¿Porque se va aquedar orbitando en ese radio?¿no deberia simplemente alcanzar una altura y luego caer de nuevo? ¿no deberia estar a esta altura el horizonte de sucesos, de donde la luz ni es capaz de escapar?
No, porque desde debajo del horizonte todavía le es más difícil ascender.
Si existe la Energía Oscura, ¿no se debería tener en cuenta en el cálculo del radio de Schwarzschild?
Hola,
No exactamente. El radio de Schwarz es lo que es, simplemente el horizonte estaría en otro sitio. Es como decir que si en el agua hay una fuerza de empuje que hace que parezca que pesamos menos en realidad tenemos menos masa.
La solución de Schwarz parte de la premisa de que el universo está vacío, salvo por la concentración de energía en un punto. Si añades energía oscura ya no es un agujero negro de Schwarzschils, sino lo que se conoce como agujero negro de Sitter (con energía oscura), y por supuesto todo cambia. En teoría de cuerdas, por ejemplo, es frecuente hablar de agujeros negros anti de Sitter (AdS) en universos con compresión en vez de expansión.
¡Saludos!
Si la masa del universo segun wikiPedia es 9.27 x 10 elevado a 52, y el radio de Schwarzschild para esta masa es 1.38 e+026 m (que coincide con es estimado para el universo segun Wikipedia 1,37 x 10 elevado a 26), entonces no es erroneo decir que el universo en el bigbang era un punto, que luego se inflo bruscamente, cuando en realidad podría no haber crecido apenas nada, y que lo que sucediera es que esa masa se dividió y dividió (unas 300 veces para llegar a particulas más ligeras que el electrón) separándose a la distancia de RSwa, hasta llegar a un punto donde la relación masa radio ya no era un ANegro(antes de la 100 division)?.
Hola Luis Alberto,
En esencia, es una casualidad numérica. Tienes que tener en cuenta que los datos que manejas no son los del universo entero sino los del que podemos observar en la actualidad. Sabemos que el universo es más grande que la parte que observamos, y además ten en cuenta que no encajan las cifras a la perfección sino que solo se parecen. Hay que tener mucho cuidado con pretender sacar conclusiones de que unos números se parezcan a otros.
Hola, Donde puedo encontrar el enlace a la siguiente entrada? Muchas gracias. Saludos.
Hola,
Arriba, en «ïndice de entradas», estaba justo debajo de donde aparece esta.
Saludos