Física

La lagrangiana relativista y la definición de una geodésica.

Como ya vine diciendo en las últimas entradas, el formalismo lagrangiano es una herramienta muy cómoda para trabajar y lleva a las ecuaciones del movimiento de un sistema sin gran complicación, a la par que de él podemos obtener teoremas de conservación sólo con ver su estructura matemática.

No obstante, la definición de lagrangiana que habíamos extraído no era útil para el caso relativista, pues consideraba el tiempo como una magnitud invariante. Nuestro objetivo en esta entrada será, pues, obtener una lagrangiana relativista, en la que el tiempo también sea un parámetro dependiente del sistema de coordenadas.

Requisitos para un Formalismo Lagrangiano:

En primer lugar tendríamos que recordar el principio de Hamilton, según el cual la acción «s», definida como la integral de la lagrangiana a lo largo del tiempo era extrema en la trayectoria que seguía el cuerpo (derivada nula con respecto a otras trayectorias). Tanto la acción, como la lagrangiana, como el tiempo eran escalares invariantes, pero en este caso el tiempo depende del observador.

Dado que la lagrangiana era definida como la diferencia entre la energía cinética «T» y la potencial «V»:

, sus unidades deberán ser julios, o lo que es lo mismo, de masa por velocidad al cuadrado. Además, la variable de integración para obtener la acción deberá tener unidades de tiempo.*

*Todo esto preferentemente, pues la acción se puede definir de un montón de formas más rebuscadas.

Construcción de la Lagrangiana Relativista:

Intuitivamente, si recordamos los elementos definidos en la relatividad especial, podemos beneficiarnos de que la masa sigue siendo una magnitud escalar invariante (no así la energía que se dilataba con la velocidad), y podemos obtener las unidades de velocidad al cuadrado del producto escalar de la cuadrivelocidad consigo misma, que es idéntico al producto escalar del cuadrimomento consigo mismo dividido entre el cuadrado de la masa:

, donde «τ» representaba el tiempo propio del sistema (escalar), el punto sobre la «t» implica derivada sobre el tiempo propio, y el término entre paréntesis serán los cuadrados de las derivadas espaciales. En conclusión la lagrangiana relativista la podemos construir brutamente con todos estos elementos a modo de prueba:

Y la acción relativista quedaría automáticamente definida como:

Sin embargo, con esta definición de la lagrangiana nos encontramos ante el grave problema de que no podemos introducir fuerzas en el movimiento debido a la ausencia de energías potenciales en su definición. Esta lagrangiana sólo nos sirve para partículas libres sin fuerzas externas, por lo menos tal y como la hemos definido.

Para introducir fuerzas en nuestra lagrangiana será necesario recurrir a la Relatividad General, como haré en la próxima entrada para analizar la lagrangiana relativista de un cuerpo en un campo gravitatorio.

Teoremas de Conservación:

Al igual que lo analizamos para la lagrangiana clásica, según los elementos que aparezcan en la lagrangiana relativista podremos deducir teoremas de conservación importantes a través de las ecuaciones de Euler-Lagrange:

, a saber:

.-Si el tiempo no aparece sin derivar la energía es constante.

.-Si una coordenada con unidades espaciales no aparece sin derivar su momento lineal asociado es constante.

.-Si una coordenada angular no aparece sin derivar el momento angular es constante.

La Lagrangiana Cartesiana:

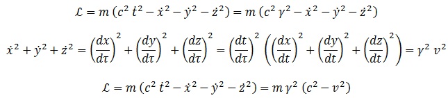
Si consideramos que nuestra línea de universo está parametrizada según las coordenadas cartesianas (t, x, y, z), la lagrangiana toma una forma bastante sencilla:

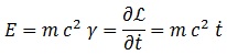
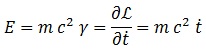
, de donde podemos extraer, dado que no aparece el tiempo sin derivar, la energía del sistema como el momento canónico asociado al tiempo:

, donde en la primera igualdad hemos aplicado la definición de la energía relativista. De este sistema extraemos el factor gamma «γ», que ya habíamos definido en la entrada sobre relatividad especial también:

, con:

, es decir, la velocidad relativa al observador.

En resumen, podemos reescribir la lagrangiana en términos más intuitivos gracias a esta parametrización:

Gracias a esta nueva perspectiva es fácil analizar que el signo de la lagrangiana dependerá de la velocidad relativa al observador, de modo que si es menor que la de la luz ésta será positiva (trayectoria tipo tiempo), si es mayor que la de la luz será negativa (trayectoria tipo espacio), y si son iguales la lagrangiana se anulará, que es el caso de la luz (trayectoria tipo luz).

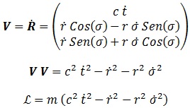
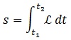
La Lagrangiana Polar:

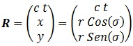
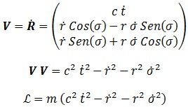
Para analizar astros en movimiento por el universo, en cambio, en principio sería más recomendable usar el sistema de coordenadas polar plano (pues ya vimos que las órbitas deben ser siempre planas según las leyes de Kepler). En relatividad especial, este sistema de coordenadas será:

Para obtener la lagrangiana tendríamos que derivar respecto al tiempo propio la línea de universo y multiplicarla escalarmente consigo misma y después por la masa:

En esta lagrangiana, al contrario que en la cartesiana, vemos que el momento lineal asociado a «r» no se va a conservar puesto que aparece sin derivar, pero sí se conservarán la energía y el momento angular, tal y como sucedía en la teoría clásica de órbitas. Volveremos sobre esto en la próxima entrada.

Independencia de la Masa:

Dado que en la lagrangiana relativista la masa multiplica a todo, es una constante ignorable, y en general no sirve de nada escribirla. Además, dado que en la relatividad tenemos que considerar las partículas de luz, los fotones, que no tienen masa, resulta más técnico pasar de ella por ese motivo, y considerarla como:

Caminos Ópticos del Fotón:

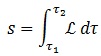
Con esta nueva lagrangiana relativista estamos diciendo que la lagrangiana es exáctamente igual al cuadrado de la cuadrivelocidad, y por tanto, si obtenemos lalongitud «s» de la línea de universo (no confundir con la acción):

Entonces, una conclusión importante, es que si la acción «s» del sistema, definida como la integral de la lagrangiana sobre «τ» es extrema (un mínimo generalmente), la longitud de la línea de universo («s» también) que se define integrando la raíz de la lagrangiana, también será extrema.

En la teoría de la relatividad podemos resumir el principio de Hamilton a que todo cuerpo minimiza la longitud de su propia línea de universo. Consecuentemente, la luz siempre viaja entre dos puntos por el camino (óptico) más corto. En el caso concreto del fotón, dado que la lagrangiana es nula, esta longitud también lo será siempre.

Geodésicas en el Espacio-Tiempo:

¿Qué podemos obtener a partir de una lagrangiana?

En general, una partícula tiende a estar en reposo, es decir, a seguir la lagrangiana en la que la velocidad «v» es nula. Si «v» es nula, el factor gamma toma el valor unitario, y la lagrangiana toma el valor de la energía en reposo. Veámoslo en coordenadas cartesianas:

En conclusión, es de esperar que toda partícula «libre» busque la energía en reposo, y las que cumplan esta condición a lo largo de toda su línea de universo se dirá que siguen una geodésica. Este concepto tan abstracto lo veremos mucho más claro en la próxima entrada de introducción a las matemáticas de la relatividad general, con el que después, definitivamente, calcularemos la desviación relativista de las órbitas, y más en concreto la de Mercurio.

Categorías:Física, Relatividad

2 respuestas »

  1. El Lagragiano L al cual concluyes m(gama)2 (c2-v2)=mc2 para todo valor de v

    toma a gama y reduce el radical comun demnominador es c2 y veras de que te hablo.
    resolviendo te quedara algo asi mc2 (c2-v2)/(c2-v2).

    por correo puedo expresar mejor las ecuaciones pues el espacio del editor no maneja
    terminologia matematica.
    espero tu correo.
    saludos.
    mi correo r2d2arturgr@hotmail.com.

    • Entiendo lo que quieres decir, que no depende de ‘v’ y es igual a la energía en reposo, pero preferí expresarlo así para hilar con la entrada siguiente en la que introduzco fuerzas y eso deja de ser cierto.
      Si no era eso avísame.

Preguntas, correcciones y debate son bien recibidos.