Durante las últimas entradas hemos venido preparándonos matemática y conceptualmente para obtener la desviación de la órbita de Mercurio, el cálculo que confirmó que la teoría de la relatividad general de Einstein era correcta. Aunque técnicamente no hemos visto las ecuaciones de la relatividad general, podremos hacerlo gracias a la solución de Schwarzschild que vimos en la entrada anterior a las mismas.
*Como nota, quizá esta entrada comience a tener un nivel de cálculo matemático superior al habitual en el blog. Lógicamente, a medida que avanzo con las entradas, las cosas se complican.
Ecuación Diferencial y Solución Clásica:
Hace algunas entradas vimos cómo analizar clásicamente las órbitas de los astros debidas a la atracción gravitatoria, y comenté que en esta entrada comentaría otra forma de obtenerlas. Este comentario será estrictamente necesario para comprender el camino que seguiremos para resolver el movimiento relativista.
La lagrangiana clásica para un sistema de masas inerciales «μ» era:
, escrita en coordenadas polares, donde «r» es la distancia entre masas, «σ» el ángulo de giro en el plano de la órbita, «G» la constante de gravitación universal, y los puntos sobre estas variables representan la derivada temporal. A través de Euler-Lagrange llegamos a la ecuación diferencial:
Resolver esta ecuación diferencial para definir «r» como una función del tiempo nos excede, pero es en cambio posible obtener «r» en función del ángulo «σ», si previamente trabajamos con el cambio de variables:
Ahora, además, podemos expresar las derivadas temporales de «u» como derivadas temporales de «σ», expresando la derivada de «u» respecto de «σ» con una coma ‘:
Además, gracias a la conservación del momento angular, podemos expresar todo según «u»:
Si vamos con todo esto a las derivadas de «r» obtenemos:
Y si ahora hacemos todos estos cambios en la ecuación diferencial:
Y si quitamos todo lo que acompaña a la derivada segunda de «u» nos queda:
Si recordamos la teoría de órbitas, el término independiente es el inverso del parámetro «λ», que era el radio de las órbitas circulares:
De modo que aún podemos dejar la ecuación diferencial más bonita:
Ahora nuestro problema se resume a encontrar una función «u» que dependa de «σ» tal que sumada con su segunda derivada sea siempre constante. Sabemos del cálculo básico de derivadas que las únicas dos funciones que al derivarlas dos veces son opuestas a sí mismas, son el seno y el coseno. Así mismo, todas las funciones que sean combinaciones lineales de ellos serán opuestos a sus derivadas segundas. Veámoslo:
, para cuales quiera valores de «α» y «β». Como no queremos que nuestra órbita empiece anulándose, despreciamos la aportación de seno suprimiendo «β». Ahora, si queremos que además nuestra función cumpla la ecuación diferencial, le sumamos la constante «1 / λ» y caso resuelto:
Ahora bien, podemos suponer que la constante «α» es el resultado de dividir otra constante «ε» entre «λ», lo que nos lleva a:
, que es exactamente la misma solución que obtuvimos en la entrada de órbitas clásicas. En principio, no tenemos ninguna garantía de que esta «ε» sea la misma excentricidad que en la otra ocasión, pero si introducimos esta solución en el Hamiltoniano del sistema veremos que sí. De todos modos, voy a omitir esa comprobación, pues no nos ocupa.
Ahora bien, a partir de esta solución la lagrangiana de Schwarzschild nos tendrá que dar exactamente lo mismo, solo que un una ligera variación en el argumento del coseno. Comenzamos así con el verdadero objetivo de esta entrada.
Geodésica de Schwarzschild:
Si tomamos la lagrangiana de Schwarzschild:
, y queremos usarla para obtener la trayectoria de un astro, es importante recordar que según la relatividad general todo cuerpo que sólo se vea afectado por fuerzas inerciales, como es la gravitatoria, estará en reposo y su trayectoria será una geodésica. Al ser una geodésica, su lagrangiana tendrá que ser igual a su energía reposo, pero como no estamos considerando la masa, bastará con poner la velocidad de la luz «c» al cuadrado:
Llegados a este punto, tenemos que obtener el factor «γ» de esta lagrangiana, que será constante puesto que no aparece el tiempo explícitamente en la lagrangiana:
Si tenemos en cuesta este cambio, y todos los que usamos en las órbitas clásicas, llegamos a una ecuación que simplificaré automáticamente:
Si ahora derivo respecto al ángulo y simplifico:
, donde al final hemos tenido en cuenta que la masa inercial es aproximadamente igual a la del astro en órbita.
Aproximación Clásica:
Esta ecuación diferencial es especialmente complicada de resolver (muy poco intuitiva), y por tanto, como lo que queremos es corregir la órbita clásica, podemos asumir en la segunda parte de la ecuación la igualdad:
Esta aproximación es un poco bruta de más, pero la experiencia da buenos resultados, ya que estamos aproximando al tipo de órbita que queremos resolver.
Ecuaciones Diferenciales:
Para resolver esta ecuación diferencial podemos resolver cuatro ecuaciones diferenciales por separado y después combinar sus soluciones, como hicimos con el seno y el coseno. Dichas ecuaciones diferenciales serían:
La primera de ellas es la de las órbitas clásicas, por lo que ya sabemos su solución:
La segunda de ellas también está igualada a una constante, por lo que la solución sería del mismo estilo. Sin embargo, como no queremos otra órbita sobre la original, consideraremos la solución fácil, que es en la que la propia función es una constante:
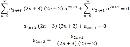
La tercera ecuación ya se empieza a complicar, y tenemos que recurrir a las series de potencias para encontrar su solución. El método de las series de potencias consiste en asumir que la función solución se puede expandir como una serie de Taylor, de forma que:
Ahora plantamos esto en la ecuación diferencial:
Como el último sumatorio sólo considera términos pares, podemos hacer dos divisiones de la ecuación. Una para los términos pares, que será:
, y otra para los impares que será:
Ahora, como la desviación tiene que ser independiente del sentido de giro, podemos intuir que la solución será «par», y por tanto todos los términos impares se anulan. Esto lo conseguimos anulando simplemente «a1», y todos los demás se anulan también por la relación de recurrencia.
Asimismo, queremos que la desviación inicial sea nula, por lo que «a0» también deberá valer 0. En base a esto, podemos obtener todos los coeficientes pares:
Vemos que esta desviación de la órbita normal aumenta con el ángulo recorrido, lo que la hace especialmente importante.
Ahora, para obtener la función «u4», usaremos también la serie de potencias, para lo que tendremos que expresar también su término independiente en su serie de Taylor:
Y su ecuación diferencial será:
Directamente, por el motivo de la «paridad», nos cargamos todos los términos impares y consideramos solo los pares:
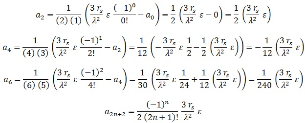
Nos enfrentamos así a dos casos: uno cuando «n» es nulo, y otro para todos los demás. Cuando «n» es nulo:
Típicamente, el valor de «a0» se selecciona de forma que sea igual a «a2»:
Ahora que ya tenemos «a2», podemos analizar todos los otros valores de «n» para encontrar una fórmula general que excluirá, lógicamente, a «a0»:
Y con esto, defininitivamente, empezamos a construir «u4»:
Como la serie está incompleta (falta el término 0), lo introducimos y lo restamos a parte, lo que nos simplifica considerablemente la expresión:
Y con esto, ¡ya por fin tenemos la solución de la geodésica relativista!:
Aproximación a Grandes Distancias:
Lógicamente, plantearse trabajar con el resultado que hemos obtenido puede ser caótico, por lo que una vez más haremos una aproximación de este resultado.
Si nos fijamos, el radio de Schwarzschild es muy pequeño, y más aún si lo dividimos entre el parámetro «λ» de la órbita. Por ese motivo, casi todos los sumandos van a ser excesivamente pequeños como para tenerlos en cuenta. Todos salvo el tercero, que aumenta linealmente con el ángulo recorrido.
Realmente es una faena resolver la última ecuación diferencial que hicimos para tener que suprimir la mayoría de las cosas calculadas, ¡pero así es la física! En conclusión, tenemos con esta aproximación:
Precesión de pequeñas desviaciones:
Si aún recordamos después de todo esto el objetivo de la entrada, tendríamos que comparar la solución que hemos obtenido con la de las órbitas clásicas:
, por tanto, necesitamos comprimir todo el paréntesis pequeño en un coseno. El problema, lógicamente, es que tenemos un coseno sumado con una constante multiplicada por el ángulo y por un seno. ¡Estamos en un aprieto!
Pero un análisis detallado nos permite observar que todo lo que multiplica al seno es muy muy pequeño, y depende linealmente del ángulo. Podemos interpretarlo como la aproximación en serie de Taylor de primer orden de un seno, ya que es un ángulo muy pequeño:
Entonces, por pura trigonometría:
Y con esto, ya prácticamente hemos acabado.
En la órbita clásica, cuando el argumento del coseno era «2 π» (una vuelta completa), el ángulo recorrido «σ» también era exactamente «2 π», pues era el propio argumento. En esta ocasión, cuando el argumento es «2 π», podemos apreciar que «σ» está desfasado:
En caso de que la desviación sea muy pequeña, podremos aproximar esta expresión por una serie de Taylor:
Entonces, bajo todas las condiciones que hemos ido exponiendo por el camino (órbitas cerradas, parámetro de la órbita suficientemente grande comparado con el radio de Schwarzschild, pequeñas desviaciones…) podemos asegurar que la precesión de la órbita tras una vuelta será exactamente:
En el caso de Mercurio, el radio de Schwarzschild tendría que ser el del Sol, pues es el cuerpo que le atrae, y en la entrada anterior ya comenté que valía aproximadamente 3 km. Asimismo, el parámetro de la órbita de Mercurio «λ» está estimado en unos 56,4 millones de quilómetros. Esto nos da una desviación por revolución de 0,501 millonésimas de radián.
Podemos expresar las 0,501 millonésimas de radián, además, como 28,7 millonésimas de grado, o incluso como 0,103 segundos de arco.
Si multiplicamos estos 0,103 segundos de arco por las 4,16 revoluciones en torno al Sol que hace en un año, obtenemos una desviación de 0,43 segundos de arco por año, lo que definitivamente conlleva una desviación de 43 segundos de arco por siglo, que fue la que se midió, dando validez a la relatividad general.
Pese a que las desviaciones relativistas, en base a este resultado, pueden parecer extremadamente pequeñas, en cuanto consideramos astros orbitando en torno a cuerpos de mayor masa tales como un agujero negro los resultados se disparan, y además pierden precisión.
Categorías:Física, Relatividad














Esta información me sirvió mucho.