Carrera

Fundamentos de la termodinámica: temperatura experimental, termodinámica, principio cero, variables intensivas y extensivas, trabajo adiabático, primer principio, rendimiento, ciclo y teorema de Carnot, entropía, segundo principio, potenciales termodinámicos, tercer principio.

Después de haber publicado hace un par de años tres entradas con la primera idea que se nos dio de la termodinámica en la facultad, voy a escribir una entrada con todos los fundamentos matemáticos de la misma, poniendo sólo los ejemplos necesarios, con el fin de cubrir una de las muchas carencias de contenido que todavía padece el blog.

Y es que la termodinámica, aunque resulte poco atractiva porque en general no solemos considerar la temperatura en los problemas estereotipados de la física, es una herramienta clave mismamente en el entendimiento de la cosmología.

Temperatura experimental:

En general, cuando trabajamos con materiales, es fácil apreciar que según las condiciones climatológicas presentan unas características físicas u otras. En ocasiones la madera se dilata o las sustancias cambian su estado de agregación entre sólido, líquido y gas. Asumiendo que estos efectos se deben al movimiento de las moléculas que las componen (por ejemplo, en un gas éstas vibran mucho más rápido y les permite dispersarse con mayor rapidez), resulta evidente que la energía de vibración interna de las moléculas que componen la sustancia es un parámetro que debemos considerar. Dicho parámetro es definido como temperatura, y hablaremos de temperatura experimental mientras que para nosotros sea un supuesto teórico sin definir. Las escalas de temperatura, que no nos ocupan, fueron analizadas aquí. Ejemplos de la evidencia experimental de la temperatura es el ascenso de la barra de mercurio en el interior de un termómetro con ésta.

Termodinámica:

La termodinámica, considerada la parte de la física que estudia las propiedades macroscópicas de los sistemas en equilibrio, es decir, sin cambios a lo largo del tiempo, tiene un nombre bastante poco adecuado, ya que da a entender que vamos a hablar exclusivamente de temperatura y que vamos a tener movimiento, cuando en realidad nos centraremos exclusivamente en sistemas estáticos y las relaciones entre ellos.

A mí me gusta decir que la termodinámica es la parte de la física que analiza las leyes que rigen los flujos de energía en el universo, permitiendo intuir cómo se transforma ésta en cada situación. Si omitimos las entradas anteriores sobre este tema, lo único que sabemos sobre la propagación de la energía es el principio de Hamilton, que nos dice que todo sistema físico evoluciona minimizando la acción. Esta condición suponía una fuerte restricción que determinaba el movimiento de los cuerpos y, por tanto, el uso que le darían a la energía a lo largo de su trayectoria. Por ejemplo, el principio de Hamilton en general se puede interpretar como que la energía potencial tiende a transformarse en cinética (los cuerpos escapan de la energía potencial) en la mayoría de los casos.

Gracias a la termodinámica, aportaremos 4 principios más con los que desentrañar mejor la naturaleza de la energía.

Principio Cero:

Dados dos sistemas termodinámicos con temperaturas respectivas «T1» y «T2», si entran en contacto ambos adquirirán la misma temperatura «T».

Dicho de otra forma, los sistemas en contacto acostumbran a poseer la misma temperatura. Poco más se puede decir sobre este principio, salvo evidenciar que si tenemos un conjunto de sistemas A, B, C, D… y están en contacto unos con los otros, todos ellos compartirán temperatura también al cabo de un tiempo.

Variables intensivas y extensivas:

En general, un sistema termodinámico se puede determinar con «N» variables que representarían sus grados de libertad. Si estas variables tienen un único valor macroscópico (volumen, longitud, carga) las denominaremos variables extensivas (se extienden a todo el volumen), mientras que si actúan sobre las anteriores (presión, fuerza, potencial eléctrico) serán variables intensivas (actúan intensivamente sobre las anteriores). Si denominamos por «xi» las variables extensivas y por «Xi» las intensivas asociadas, se cumple que las unidades de su productos son de energía:

, donde la «J» significa julio. Debido a que este producto va a representar de algún modo la energía que la pareja de variables está aportando al sistema, es importante considerar que cuando la energía del sistema aumenta tendrá signo positivo y cuando la pierde tendrá signo negativo. Así pues, como al dilatarse una sustancia está perdiendo la energía que la apretaba, para que el signo sea negativo consideramos que la presión del sistema, actuando como intensiva del volumen, lleva un signo negativo.

Trabajo adiabático:

Erróneamente, durante algún tiempo se pensó en base a lo anterior que la energía «U» de un sistema termodinámico variaría según la regla de la cadena de estos productos:

, aunque como el sistema termodinámico se puede describir sólo con las variables extensivas, que representan sus grados de libertad, se cumpliría también:

, si bien este paso es un poco bruto por ahora. Más adelante veremos que esto no implica exactamente que el segundo sumatorio valga cero, sino que en este caso sí lo hace. Cuando estas ecuaciones son ciertas, decimos que el sistema está pasando por un proceso adiabático, libre de calor. Concretamente, a la integral de este sumatorio se la denomina trabajo adiabático «W». En caso de que el sistema tenga como «única» (con lo que sabemos) variable extensiva el volumen, su variación de energía será:

Y si la presión fuese constante:

Primer principio:

Sin embargo, en muchas ocasiones era evidente que la variación de energía era mayor que el trabajo adiabático realizado. A esta discrepancia entre ambos valores se la denominó calor «Q» del proceso:

Dado que la energía es una función de estado de las variables extensivas (mismo valor de las variables, mismo valor de la energía), era posible ir de un estado termodinámico (valor concreto de las variables extensivas) a otro de distintas formas, siempre que la suma del trabajo adiabático y el calor igualasen a la variación de energía, que sería el primer principio:

Como el calor representa pérdidas energéticas, en general lo más deseable es que sea prácticamente nulo. Sin embargo, lamentablemente esto nunca es posible, como determinará nuestro siguiente principio.

Rendimiento:

Definimos como el rendimiento «η» de un proceso termodinámico como la energía útil obtenida (invertida en lo que deseamos) dividida entre la que hemos tenido que suministrar. Si el rendimiento vale 1 (que nunca es el caso) quiere decir que toda la energía suministrada ha sido útil, si es 0 toda ha sido inútil y lo demás son casos intermedios. Evidentemente, la energía útil nunca va a ser mayor que la suministrada por lo que el rendimiento va a ser siempre estrictamente menor que 1. Veamos algunos ejemplos.

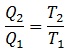
Kelvin-Plank. Supongamos que tenemos dos sistemas A y B a temperaturas constantes «T1» y «T2», siendo «T1» mayor que «T2». En el medio, introducimos un sistema neutro C (un motor) que puede liberar energía en forma de trabajo (para mover la máquina en la que esté, por ejemplo). El funcionamiento que debemos esperar entonces será el siguiente:  A le cederá calor «Q1» a C para aumentar su temperatura, en virtud del principio cero; C le cederá calor «Q2» a B por el mismo motivo; C intentará exportar trabajo «W» a la máquina para que funcione. Ahora bien, «W» será la energía útil y «Q1» la suministrada, por lo que el rendimiento será:

, donde hemos aplicado el teorema de conservación de la energía al decir que «W» es la diferencia entre el calor suministrado y el calor disipado. Finalmente, vemos que cuanto menor sea el calor perdido «Q2» más próximo a 1 será el rendimiento. Sin embargo, el enunciado de Kelvin-Plank nos asegurá que eso es imposible, siempre tendrá que haber «Q2».

Clausius. Supongamos ahora que tenemos los tres sistemas A, B y C de antes, pero en esta ocasión queremos enfriar B con los siguientes procesos: B le cederá calor «Q2» a C para calentarlo; nosotros suministraremos trabajo «W» a C para darle todavía más energía; C le cederá calor «Q1» a A por su exceso de energía. La energía útil será la que enfríe a B, es decir, el calor «Q2» desprendido por este, y la suministrada el trabajo «W». En este caso el rendimiento será:

, que el enunciado de Clausius nos garantiza que también será siempre menor que 1. Para que esto se incumpliese, el calor «Q2» extraído de B tendría que ser igual al trabajo «W» aportado, cosa que nunca sucede.

Tanto el enunciado de Kelvin-Plank como el de Clausius son equivalentes, ya que realmente lo único que se está haciendo al pasar de uno al otro es cambiar la dirección de cada uno de los intercambios de energía.

Ciclo y Teorema de Carnot:

Ahora bien, ¿cuál es el modo de obtener el mayor rendimiento en un proceso termodinámico? El Teorema de Carnot nos dice que de todos los procesos posibles el que conlleva un mayor rendimiento es el reversible. Ahora bien, ¿qué es un proceso termodinámico reversible?

Definimos como proceso reversible o ciclo de Carnot (porque es el único que lo garantiza) aquel que permite recuperar el estado termodinámico inicial.

Este ciclo entre dos estados A y B es bastante sencillo. En primer lugar se va del estado A a un estado A’ favorable a través de un proceso adiabático (sin calor), y después se va del estado A’ al estado B a través de un proceso isotérmico (a temperatura constante). Después, una nueva adiabática va a de B a B’ y una nueva isoterma va de B’ a A, cerrando el ciclo. En este caso, experimentalmente se comprueba que:

En cualquiera de los problemas planteados, vemos entonces que el rendimiento máximo depende de la relación que haya entre las temperaturas de los sistemas A y B, siendo éste mayor cuanto más diferencia haya entre ellas.

Entropía:

Dado que en el ciclo de Carnot se cumple la relación:

, es evidente que dicho cociente es constante y que relaciona el calor con la temperatura. Introducimos así el concepto de entropía «S» con la ecuación integral:

, que en caso de que la temperatura sea constante, como en la adiabática del ciclo de Carnot, nos dice que el calor es el producto de «T» y «S». La entropía es entonces una función de estado, y además una variable extensiva, cuya intensiva asociada es la temperatura. Redefinimos ahora el diferencial de la energía como:

, donde consideramos la entropía como una variable extensiva distinta de las demás. Esta ecuación es más completa que la vista anteriormente, puesto que va más allá del caso adiabático. Es más, con esto vemos que para que en un proceso haya calor debe variar la entropía, y que en un proceso reversible la entropía no varía.

Segundo principio:

«Todo proceso termodinámico no reversible conlleva un calor, y por tanto un aumento de la entropía». «La entropía en el universo aumenta o se mantiene constante».

Las interpretaciones de este principio son varias, desde que la entropía define la flecha del tiempo hasta que el universo tiende al caos y al desorden puesto que el calor es una forma inútil de energía que no se recupera. La entropía del universo aumenta constantemente, y por tanto la energía útil no hace más que disminuir.

De ahora en adelante, en todos los ejemplos supondré que la única variable extensiva diferente de la entropía es el volumen y el número de moles «n», con su potencial químico asociado como variable intensiva «μ».

Energía interna:

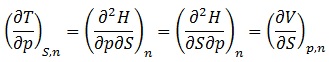
Partamos de la ecuación diferencial:

De aquí podemos obtener las relaciones, denotando junto a las derivadas las variables que permanecen constantes:

Ahora, aplicando derivadas cruzadas y teniendo en cuenta que «U» es una función de estado, obtenemos las relaciones de Maxwell de la energía interna:

Veremos ahora otros potenciales termodinámicos a partir de la energía que nos interesará considerar según las variables que sean constantes para nosotros, y que tendrán sus propias relaciones de Maxwell también.

Entalpía:

Definimos la entalpía «H» con la ecuación diferencial:

De donde obtenemos las derivadas:

Y las relaciones de Maxwell son:

Energía libre de Helmholtz:

Definimos la energía libre de Helmholtz «F» como:

Las derivadas en esta ocasión son (omitiendo ya el potencial químico):

Y las nuevas relaciones de Maxwell resultan:

Energía libre de Gibbs:

Para terminar, la energía libre de Gibbs «G» se define como:

, cuyas derivadas importantes son:

y sus relaciones de Maxwell son:

Potenciales termodinámicos:

U, H, F y G se consideran los potenciales de la termodinámica y la forma de relacionarse que hay entre ellos se conoce como transformada de Legendre. Según el problema con el que estemos tratando cada uno de ellos nos vendrá mejor. Por ejemplo, si el volumen y la temperatura son constantes, sabemos que el potencial de Helmholtz es constante y esto nos facilita tratar con los potenciales próximos a él en el sentido de que se relacionan a través de una simple suma o resta (que son la energía interna y el de Gibbs).

Tercer principio:

Para terminar, el último principio de la termodinámica nos dice que es imposible alcanzar la temperatura 0, y que por tanto todos los sistemas van a tener siempre algo de energía térmica. Veamos algunos ejemplos de lo que esto implicaría.

Gas ideal comprimiéndose a presión constante:

Supongamos un gas ideal:

, siendo «R» la constante de los gases ideales, al que mantenemos a presión constante mientras lo enfriamos hasta los 0 K desde un estado (T0, p0). Tendremos que llegar a alguna conclusión absurda. Hagamos la ecuación diferencial de «p», igualémosla a 0 (es constante), integremos y veamos:

El volumen tendría que ser 0, cosa imposible porque está por debajo del nivel atómico y nuclear.

Gas ideal aumentando entropía a presión constante:

Supongamos ahora este mismo gas en el mismo proceso. Veamos qué sucede con la entropía, y para ello tendremos que; introducir el concepto de calor específico «cp», que será una constante; usar una relación de Maxwell; y después anular el diferencial de presión, por ser ésta constante:

Como vemos, la entropía a temperatura y volumen nulos sería infinitamente negativa. Ahora bien, en virtud del segundo principio sabemos que la entropía crece con el tiempo. Llegamos así a la interesante conclusión de que con el modelo de gas ideal la temperatura 0 estaría en el origen del universo (entropía mínima), y después comenzaría a expandirse indefinidamente a favor de la entropía. De hecho, ni siquiera hemos usado en ninguna parte importante que el sistema tenga que ser un gas ideal. *(sigue abajo)

La gran expansión:

Curiosamente, este último ejemplo coincide casi perfectamente con el modelo del Big Bang salvo por un pequeño detalle como es el de que la temperatura realmente decae con la expansión. De hecho, realmente a la temperatura 0 nos encontramos con la entropía infinita, que sería a lo que nos enfrentaríamos en caso de que el universo se expandiese eternamente. ¿Cómo sabemos esto? Si tomamos la ecuación de la energía:

, y consideramos sólo la parte dependiente del diferencial de entropía vemos que sólo se anula si la temperatura es 0. Una derivada a mayores nos garantiza que la derivada segunda de la energía es la temperatura, por lo que al ser positiva estamos ante un mínimo de energía. Asimismo, sabemos que la entropía sólo crece, y que por tanto sólo encontrará el equilibrio cuando valga infinito, por lo que este equilibrio debe corresponderse con el estado que acabamos de ver de temperatura 0 y energía mínima.

*Si este modelo discrepa del que acabamos de ver para el gas ideal con lo que sucede a temperatura 0 es porque en el del gas ideal hemos hecho trampa. ¡La presión del universo cuando la temperatura decae hasta el 0 no es constante!

6 respuestas »

  1. Has llegado a tiempo! xd es un buen resumen termodinámico que me ha dejado las cosas más claras y sobretodo me han venido bien los potenciales termodinámicos. La duda que me ha quedado es la de si usas mayúsculas para las variables intensivas y minúsculas para las extensivas o es que te has equivocado? Te lo digo porqué nosotros las usamos justo al revés: extensiva (X), intensiva (x). También aprovecho para decirte que en la cuarta fórmula (por la cola) creo que has puesto sin querer dS=0 cuando tu intención era la de hacer dp=0 y así ya seguir con la igualdad siguiente. Muchas gracias, y que continues compartiendo tus conocimientos físicos con todos nosotros!!

    • Sí, efectivamente nosotros usamos «X» para intensivas, pero ya se sabe que la termodinámica cada uno la escribe como le cuadra. Hay poca homogeneidad.
      La ecuación la cambio ahora, efectivamente tenía una errata.
      Saludos y gracias por no perder la fe en que lo publicase xD Te dije 2 semanas y lo colgué casi 1 mes después.

    • Perdón por contestar tarde. El teorema H todavía no lo tengo muy mirado como para ayudarte con el trabajo. Sólo sé que es la 2ª ley de la termodinámica (incremento de entropía) visto desde un punto de vista de física estadística.

      Saludos y lo siento.

  2. Buenas,
    me gustaria saber por qué a la hora de expresar potenciales, funciones de estado o simplemente calores en funcion de sus derivadas parciales, siempre se expresa en función de dos de sus variables, no se si me explico, por ejemplo, dU = (dU/dT)aPcte + (du/dp)aTcte en coordenadas (p,T),¿ no se debería expresar con las tres variables en este caso al ser un sistema hidróstatico (p,v,T)?

    gracias

Preguntas, correcciones y debate son bien recibidos.