Siguiendo con las entradas con las que pretendo introducir totalmente el concepto de neutrino en el blog, vamos a ver al fin cómo se tuvo que introducir por «lógica» en el mundo de la física unas décadas antes de que se pudiese comprobar su existencia. Por el camino, introduciré algunos conceptos posteriores al propio neutrino, con lo que advierto que la información expuesta no va en ningún caso por orden cronológico.
Átomos:
Espero no sorprender a ningún lector si le informo de que toda la materia está compuesta de pequeñas estructuras físicas del orden del nanometro (8 ceros tras la coma), y que según las propiedades de cada una de estas estructuras y cómo esté unida a las de su entorno se pueden deducir las propiedades eléctricas, térmicas y de agregación (sólido, líquido, gaseoso) del material que componen.
La nomenclatura de átomo fue propuesta por los griegos, asumiendo que estas estructuras no se podrían fragmentar en otras más pequeñas, pero hoy en día sabemos que no sólo se pueden fragmentar sino que incluso algunas de las partículas que los componen aún se pueden fragmentar en otras más pequeñas.
Nucleones y electrones:
.-Nucleones:
El núcleo atómico, de un tamaño aproximado de un femtometro (14 ceros tras la coma), está compuesto por las partículas conocidas como nucleones. Según el caso, estos nucleones pueden ser protones (p+, carga positiva) o neutrones (n0, carga neutra). La carga del protón es:
Por otra parte, las masas de cada una de estas partículas son, respectivamente:
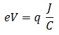
, donde se han considerado el eV como unidad de energía (asociada a la carga del protón) y c como la velocidad de la luz en el vacío:
Es muy importante darse cuenta de que con 3 cifras de precisión en sistema internacional los dos nucleones tienen la misma masa, mientras que en MeV se aprecia una pequeña diferencia: el neutrón es un poco más energético. Este desequilibrio entre ambos tendrá sus consecuentas que comentaremos más adelante en esta entrada. Asimismo, las causas por las que los protones (de misma carga) no se repelen se podrán vislumbrar un poco más adelante.
.-Electrones:
Los electrones (e-, de carga negativa), por su parte, orbitan en torno a los nucleones formando orbitales (de los que no hablaremos aquí) a una distancia del orden del nanometro de los mismos (el radio orbital es un millón de veces superior al radio nuclear). Su carga es exactamente la opuesta a la del protón, por lo que se atraen, y su masa es:
No trataremos aquí por qué el electrón no se precipita sobre el núcleo pese a tener carga opuesta, pero ya el hecho de que su masa sea unas 1877 veces inferior a la de los nucleones da una idea de que no tiene mucho en común con ellos.
Número Atómico, Número Másico y Carga:
Vistos todos sus componentes, es posible clasificar un átomo según la cantidad que posee de cada uno de ellos. Para ello basta con definir 3 magnitudes representativas:
.-Número Atómico Z:
Se define como el número de protones que hay en el núcleo, y determina por completo el nombre X del átomo. Así, decimos que un átomo Z=8 siempre es oxígeno, uno con Z=1 siempre es hidrógeno, y uno con Z=92 siempre es uranio.
.-Número Másico A:
Se define como el número de nucleones presentes en el átomo. Si le restamos Z, obtenemos por descarte el número de neutrones en el núcleo. Dado que para un átomo con Z determinado puede haber una gran cantidad de valores de A, decimos que todos esas combinaciones son isótopas entre sí.
Cabe destacar que dado que la masa de los electrones es ridícula comparada con la de los nucleones, sólo estos últimos determinan la masa del átomo, y de ahí el nombre de número másico.
.-Carga Q:
Se define como carga del átomo (en múltiplos de q) a la diferencia entre el número de protones y el de electrones. Si hay más protones será positiva, y si hay más electrones negativa. No obstante, la mayoría de los átomos libres tienen a ser eléctricamente neutros y tener la misma cantidad de unos y de otros.
Es importante darse cuenta de que Z, A y Q se determinan con la cantidad de cada una de las 3 partículas del átomo, pero que también dichas cantidades se pueden determinar solo con estas magnitudes. Consecuentemente, como Z, A y Q dan información mucho más útil sobre el átomo, son los datos que se facilitarán generalmente sobre el mismo, según el modelo que sigue:
Para asegurar que esto esta claro, veamos cómo escribiríamos un átomo con 8 protones, neutrones y electrones. Z, el número de protones, es 8, así que tratamos con oxígeno (O). A, el número másico, es el número de nucleones, en este caso 16. Por último, Q es 0 porque hay tantos protones como electrones:
Quarks y Leptones:
La abismal diferencia entre la masa de los nucleones y el electrón es debida esencialmente a que el electrón es una partícula fundamental (sin componentes más pequeñas, por lo que se sabe hasta ahora), mientras que los nucleones no. Los nucleones están compuestos, cada uno de ellos, por 3 quarks, que son partículas fundalmentales también. Como parece no haber ninguna conexión entre los quarks y los electrones, tenemos que asumir que las partículas básicas se dividen en dos categorías.
.-Quarks:
No los trataremos en detalle en esta entrada. Baste decir que los 2 que nos interesan se denominan up (u+) y down (d-). La carga del up es de 2/3, mientras que la del down es de -1/3. Dos quarks up y uno down forman un protón de carga neta 1, mientras que dos quarks down y uno up forman un neutrón de carga neta 0.
El núcleo es un conjunto de quarks que aparentemente actúan como si fuesen varios protones y neutrones. Debido a que visto así en el núcleo hay un montón de cargas positivas y negativas en movimiento dentro de los nucleones en la que ganan las positivas, parece menos ilógico que los protones no se repelan entre sí.
.-Leptones:
Si bien el único que ha sido presentado hasta ahora de esta familia es el electrón, los leptones serían las partículas fundamentales que, a diferencia de los quarks, no experimentan la fuerza nuclear fuerte (que nunca ha sido comentada en este blog), aunque sí la débil (cuyo efecto principal veremos al final de la entrada).
Nucleosíntesis:
Conocidos todos los ingredientes del átomo, la siguiente pregunta que cabe hacerse es cómo hemos llegado a tener tanta variedad de ellos en el universo. Conocemos 112 átomos distintos según su Z, y para cada uno de ellos existen isótopos con distinto A. Pero, ¿son todos ellos igual de estables y de primitivos? La respuesta evidentemente es que no.
Cuantos más nucleones hay en un átomo, a mayores fuerzas están sometidos, y por tanto es más fácil que su núcleo se fragmente en pedazos más pequeños. Asimismo, cuantos más electrones tiene un átomo, más se repelen entre ellos y escapan.
Por el contrario, cuantos menos nucleones hay, menos agarrados están los electrones y el núcleo se encuentra más expuesto, con lo que tampoco es muy recomendable.
El punto de equilibrio entre estas dos consideraciones parece encontrarse en el átomo Z=26, que corresponde al hierro. Los átomos de Z más pequeño parecen querer aspirar a aumentar sus protones, y los de Z más grande al revés. Un átomo es más estable cuanta más energía de enlace corresponde a cada uno de sus nucleones.
Denominamos Nucleosíntesis, así pues, al momento posterior al Big Bang (entre 1 segundo y 3 minutos) durante el cual los primeros protones y neutrones se juntaron para formar núcleos de hidrógeno (Z=1) y helio (Z=2). La formación de un núcleo de hidrógeno es tan elemental como un protón, y en el deuterio (Z=1, A=2) además se une un neutrón a formar enlace (el deuterio es un isótopo de hidrógeno).
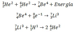
Teniendo estos dos núcleos primitivos de hidrógeno y deuterio, la creación del helio se lleva a cabo mediante la fusión nuclear, es decir, la suma de los nucleones de cada uno de ellos:
Apréciese que Z, A y Q se conservan en la reacción (suman lo mismo al principio que al final). Por otra parte, hay que comentar que cuando pongo energía me refiero a fotones (radiación electromagnética).
El lector podría pensar que esta reacción también es posible con dos átomos de hidrógeno simple, sin necesidad de incorporar el neutrón, pero lo cierto es que la física de los nucleones lo prohibe, si bien no comentaremos eso aquí.
Cadenas p-p:
Una vez que tenemos estos átomos básicos, podemos empezar a ascender en Z con las cadenas p-p, que tienen todas como objetivo crear átomos de helio con A=4. Dado que el helio es un átomo muy estable (ver gráfica), conseguir que se funda requiere una gran cantidad de energía, y la creación de átomos mayores (es decir, la fusión nuclear), sólo se lleva a cabo en el núcleo de estrellas, donde el hidrógeno hace de combustible base para generar átomos mucho más pesados hasta el hierro.
Para superar el Z del hierro, es necesario que la estrella sea muy grande y explote en forma de supernova, creando elementos más pesados. Esto implica que todo el mercurio, el oro, el uranio, y demás átomos de Z mayor que 26 disponibles en nuestro planeta fueron creados en una explosión enorme, y por lo tanto la Tierra nunca va a generar más cantidad de ninguno de ellos. Llevan acompañándonos desde el principio.
Expondré ahora las 2 primeras cadenas:
.-Cadena p-p I:
.-Cadena p-p II:
Y aquí tenemos una cosa verdaderamente notable en la segunda y la tercera reacción:
Fisión Nuclear:
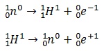
Cuando el núcleo de un átomo es bombardeado con partículas (en este caso el del berilio por un electrón y el del litio por un protón) este se puede fragmentar en otros átomos (en realidad sin ser bombardeado también), o simplemente reestructurar su núcleo y disminuir Z. En cualquiera de los dos casos, hablamos de fisión nuclear (estamos rompiendo el núcleo).
Además, la fisión del berilio es especialmente representativa porque vemos que no se conserva el número Z. ¡Un protón y un electrón se han transformado en un neutrón! Restando 3 a Z y 6 a A en cada miembro, obtenemos la reacción:
Como un núcleo de hidrógeno es equivalente a un protón, resulta que hemos descubierto que un protón y un electrón se juntan para dar lugar a un neutrón naturalmente.
Desintegraciones Beta:
De la «ecuación» anterior, podemos despejar dos reacciones de desintegración, que son la del neutrón y la del protón:
La primera se conoce como desintegración beta menos, y es bastante frecuente en grandes átomos como el radio o el uranio. La segunda, conocida como desintegración beta más, no se da en protones libres nunca, lo que ha acotado su tiempo de vida en 10^33 años. Si la beta más se produjese libremente, generaríamos más energía que la producida.
Antipartículas:
En la desintegración beta más aparece un electrón de carga positiva, también conocido como positrón. Cuando tenemos una partícula que es equivalente a otra conocida en todo menos en la carga, hablamos de antipartículas. Así pues, igual que la antipartícula del electrón es el positrón, los quarks up y down también poseen sus propias antipartículas de cargas -2/3 y 1/3. Y, consecuentemente, también existen las antidesintegraciones beta, en las que un antiprotón da lugar a un antineutrón y un electrón.
Las antipartículas (salvo el positrón) se denotan con una barra horizontal sobre su partícula asociada.
Neutrinos:
Llegamos así al punto clave de la entrada. Dado que en la desintegración beta el protón y el neutrón están prácticamente quietos, y la diferencia de energía entre ambos es constante, el electrón emitido debería poseer siempre la misma energía de 1 MeV. Sin embargo, los electrones emitidos abarcan todo un rango de energías, por lo que a priori parecen violar el principio de conservación de esta magnitud.
Para no tener que sacrificar el principio de conservación de la energía, Pauli propuso el concepto de neutrino, que sería otra partícula teórica que se llevaría toda la energía echada de menos en el electrón. Esta partícula tendría una masa tan pequeña como para no interactuar gravitatoriamente y una carga nula para conservar Q en la desintegración, con lo que no se podría detectar de ningún modo. Si denotamos al neutrino electrónico (asociado al electrón) con la letra griega ν y un subíndice, esto dejaría las desintegraciones beta como sigue:
, donde cabe destacar que en la desintegración beta menos el resultante debe ser un antineutrino y no un neutrino corriente. Con esto, la energía vuelve a conservarse, pero existe el problema de tener que asumir la existencia de una partícula «indetectable» (en otra entrada veremos que quizás no tanto).
El neutrino, queda por indicar, tendría que ser otro leptón fundamental, en paralelo al electrón, ya que tampoco es partícipe de interacciones nucleares fuertes. Sin embargo, tanto uno como el otro participan en la interacción débil, cuyo mayor efecto ¡es la desintegración beta!, y por tanto ambos son cruciales en ella.
Número Leptónico:
Para concluir esta entrada, sólo queda introducir otro número interesante L, que se define como la diferencia entre leptones y antileptones, y se debe conservar en todas las reacciones, igual que A y Q. Confirmémoslo en la desintegración beta menos:
- A en la primera parte vale 1, dado que tenemos un neutrón.
- Q en la primera parte vale 0, dado que tenemos un neutrón.
- L en la primera parte vale 0, dado que no hay leptones.
Y para compensar:
- A en la segunda parte vale 1, dado que tenemos un protón.
- Q en la segunda parte vale 0, dado que tenemos un protón y un electrón.
- L en la segunda parte vale 0, dado que tenemos un electrón y un antineutrino.
En la siguiente entrada trataremos la masa del neutrino y las familias de partículas con más detalle, mientras comentamos el detector de neutrinos Súper-Kamiokande.
Categorías:Carrera, Física, Física cuántica, Partículas, Relatividad, Termodinámica





















En efecto: he sido el primero en pulsar que me gusta esta entrada. El neutrino ha sido desde hace muchos años mi partícula elemental favorita.
puede ser compatible con el sonido?
¿Te refieres a si la energía que falta podría ser sonido en vez de un neutrino? No, el sonido es un fenómeno de escalas más grandes que la desintegración de un núcleo.
ME TIENE ATRAPADO EL ESTUDIO DEL NEUTRINO, YA QUE ES UN ELEMENTO QUE CONSTITUYE PARTE FUNDAMENTAL DE NUESTRA VIDA
Disculpa mi duda,por alli lei que la interacción gravitatoria es mediada por un campo de espin -2 y la fuerza electromagnética por un campo de espin -1.
¿Los campos tienen espin?
Hola,
Los campos, a nivel cuántico, están formados por partículas que tienen espín. El fotón del campo electromagnético tiene espín 1 y el gravitón del campo gravitatorio tiene espín 2.
Saludos.
Gracias por responder mi pregunta tan pronto.