Mucho tiempo ha pasado ya desde que la especie humana ha podido dejar de recurrir a la mitología, la tradición y los rumores para contestar preguntas de gran importancia sobre el universo. Sin embargo, muchos siguen considerando más fiables estas fuentes que los datos que la ciencia pone sobre la mesa para explicar ciertos temas. Una de las preguntas más controvertidas ha sido y es: ¿cuál es la forma de nuestro planeta? Actualmente, según a quien se pregunte, uno puede pensar que es plana, esférica maciza, esférica hueca, una esfera dentro de otra o incluso con forma de cubo (apuesto a que hay al menos una persona que así lo cree)… Escribo esta entrada con la intención de dar una pequeña introducción (técnica, eso sí) a qué tiene que decir la física al respecto.
Hipótesis de partida:
La cosmología, con su teoría del Big Bang, ha propuesto durante el último siglo que la mayoría de los astros que nos rodean procedieron de una gran explosión al comienzo del universo. El resto, como nuestro planeta, surgieron de posteriores explosiones de supernovas que, como comentamos aquí, son la única forma de generar átomos como el uranio.
Así pues, pensaremos en los instantes iniciales de La Tierra como una gran cantidad de fluido con forma esférica de radio R. Exigiremos una elevada temperatura para garantizar que sea líquida (cosa que no parece ir en desacuerdo con que proceda de una explosión de supernova), y además consideraremos que todo el líquido giraba respecto a un eje central con velocidad angular ω del mismo orden de magnitud que con la que gira ahora. Por supuesto, trataremos la gravedad desde el punto de vista de Newton, ya que La Tierra no es ningún cuerpo supermasivo que nos fuerce a teorías más precisas.
Nuestros objetivos serán, a partir de esta hipótesis, contestar las siguientes preguntas: ¿era la fuerza centrífuga suficientemente intensa como para que la gravedad no fuese capaz de apretar el fluido hacia el centro en algún o varios tramos? ¿Con qué velocidad tendría que girar nuestro planeta para poder hacer frente a la gravedad? ¿Cómo ha degenerado su forma debido al giro desde la esfera inicial? ¿Cómo se distribuye su temperatura? ¿Qué estados de agregación de materia cabe esperar encontrar?
Algunos valores numéricos:
Como al final tendremos que realizar sí o sí alguna cuenta exacta de consistencia lo mejor es ir tomando ya nota de algunos datos que más adelante desmoraliza pararse a pensar y cambiar de unidades. No seré muy preciso en las cuentas puesto que todo lo que voy a hacer ya de por sí es aproximado y sería un esfuerzo en vano.
Constante de gravitación universal:
Radio de La Tierra (medido por trigonometría con el horizonte ya en la antigua Grecia):
Volumen:
Masa de La Tierra (calculada en base a su gravedad y su radio a través de la fórmula de la gravedad):
Densidad:
, que es aproximadamente la mitad de la del mercurio, lo que la convierte en un buen promedio de todo el planeta y verifica que los anteriores datos tienen sentido.
Periodo de rotación:
Velocidad angular de rotación:
Cálculo de la energía potencial gravitatoria por unidad de masa en el interior de un fluido esférico de densidad constante:
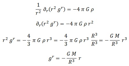
La gravedad cumple por definición la siguiente ecuación diferencial:
, donde la negrita significa vector y la divergencia en esféricas es:
Aquí las d denotan derivadas parciales de lo que está entre paréntesis y los índices sobre las g etiquetan componentes vectoriales. Es importante destacar que las coordenadas esféricas que estoy usando son:
, siendo φ el ángulo de elevación del ecuador y σ el horizontal. En nuestro caso, la gravedad por simetría llevará dirección radial, y por tanto la componente de g con una r arriba es la única que sobrevive simplificando enormemente la ecuación que paso a resolver directamente:
, donde tras integrar en el segundo paso vemos que la gravedad en el interior del fluido crece linealmente con el radio y depende de la masa total y el radio de la esfera supuesta. Ahora podemos obtener la energía potencial por unidad de masa (ya lo podíamos haber hecho directamente, pero me interesaba pasar por este tramo intermedio para después. De hecho el propio cálculo de la energía es un tramo intermedio):
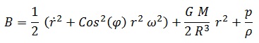
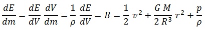
Densidad energética del fluido:
En la anterior entrada sobre fluidos vimos que la densidad másica de energía, conocida como Bernoulli B, tenía un término debido a la energía cinética, otro debido a la gravedad, y otro debido a la presión:
, y además podemos descomponer la velocidad al cuadrado según la velocidad radial (r con un punto encima) y la angular como vimos en la entrada de Hamilton:
, siendo los términos gravitatorio y de presión la energía potencial.
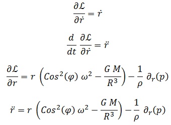
Ecuación de movimiento radial:
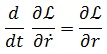
Teniendo ahora fijado el giro del ecuador y sabiendo que los meridianos no giran, la única duda que tenemos es si una partícula del fluido a una distancia r se verá atraída hacia el centro o repelida hacia fuera. Recurriremos para ello al formalismo de Euler-Lagrange visto en la entrada de Hamilton antes enlazada.
La lagrangiana de un sistema clásico se definía como la energía cinética menos la energía potencial:
, y en este caso debe cumplir:
, lo que nos lleva a (recordando que cada punto sobre una letra representa una derivada temporal):
Esta ecuación significa que la aceleración radial se ve incrementada por el giro, y disminuida por la gravedad y el gradiente de presión (si la presión aumenta al alejarse del centro tira hacia dentro, y si disminuye tira hacia fuera). Si el lector está metido en el tema, se habrá dado cuenta de que no necesitábamos dar todos los pasos (especialmente calcular las energías) para llegar a esta simple 2ª Ley de Newton, pero me apetecía tratar esos aspectos.
Distribución de presión y forma:
Como hemos dicho que el sistema en el equilibrio (después de equilibrarse todo) sólo giraba, la aceleración radial (r con dos puntos) será nula. Esto nos permite obtener cómo se distribuye la presión desde el centro de giro hasta una distancia r del mismo:
, y finalmente vemos que la presión a una distancia dada es igual a la del origen más un término que incrementa con el cuadrado de la distancia, ¡y cuyo signo depende de la diferencia entre la velocidad angular de giro y otro factor gravitatorio!
Pongámonos en el caso en el que el factor de giro es más notorio, el ecuador, donde el coseno vale 1. En este caso:
El término gravitatorio gana por 5 órdenes de magnitud, lo que significa que la presión realmente decae con la distancia al origen, y además decae más rápido hacia los polos que hacia el ecuador por el efecto del coseno. Esto significa que hacia el ecuador se concentra más masa y nuestro fluido girando debe estar achatado por los polos como efectivamente está nuestro planeta (de ahí que sean zonas de mayor presión. (Matemáticamente un corte meridiano vendría representado por una elipse, pero como esto es una aproximación eso no significa que los astros sean exactamente elípticos).

Representación cualitativa de la presión frente a la distancia al origen (eje horizontal más próximo) y el ángulo polar (eje horizontal más lejano), estando el ecuador en el centro y siendo por tanto la zona de mayor presión a cualquier distancia.
Más importante aún, vemos que NO hay ni el menor indicio de que haya zonas de vacío intermedias o en el centro, puesto que la presión disminuye uniformemente siguiendo una parábola.
A modo de curiosidad, como la gravedad gana por 5 órdenes de magnitud al giro al cuadrado, el giro tendría que ser unos 2/3 órdenes de magnitud más rápido para poder haber hecho que el fluido se dispersase por el espacio. Esto es, si nuestro planeta durante su formación hubiese girado entre 100 y 1000 veces más rápido (como mínimo) nunca se habría vuelto estable y no existiría. Hoy en día seguramente tendría que girar un poco más rápido para romper los enlaces sólidos, pero seguramente no mucho más.
Distribución de temperatura y estado de agregación:
En nuestra hipótesis de partida el fluido estaba a la suficiente temperatura para no solidificarse tras la explosión de supernova, pero esta no sería constante a lo largo del mismo.
Podemos asumir sin mucho temor que las diferencias de presión a lo largo del fluido en principio no alterarían la densidad del mismo (eso es típico de gases) y es fácil pensar que el fluido terrestre era líquido (fluido no distingue entre líquido o gaseoso). Debido a ello, termodinámicamente podemos decir que desde fuera hacia dentro la presión aumenta isocóricamente (ocupando las moléculas el mismo volumen), y esto en general implica un aumento de temperatura. Es decir, en el centro de la esfera la temperatura debía de ser mucho mayor que en el exterior.
A partir de esta consideración, es fácil convencerse de que cuando la temperatura descendió la primera parte en solidificarse fuese la de fuera, y así progresivamente hacia el interior. De hecho en nuestro planeta el núcleo sigue siendo líquido porque no se enfrió lo suficiente (¡y menos mal, porque si no no habría vida!).
Por supuesto, hay astros en los que incluso la parte central se solidificó como la Luna (asumiendo, claro está, que no sea una hija desprendida de La Tierra como anuncian algunas teorías), y otros en los que no se solidificó nada como la mayoría de las estrellas o Júpiter (si bien esos fluidos eran gaseosos y no líquidos, pero la idea es la misma).
Y bueno, esto es todo. Algún día espero volver a tratar más a fondo estos temas.
Categorías:Carrera, Física, Termodinámica













Muy bien Adrian. Ahora coge el paquete de ecuaciones que has deducido, y plotea cosas para diferentes planetas, o intenta demostrar que algunas magufadas astronomicas son erroneas. Seguro que sale algo interesante y divertido.