La noción de paralelismo es algo relativo. Supongamos La Tierra lisa. Supongamos una lanza sobre la superficie del ecuador anclada en el suelo verticalmente. Si una persona la cogiese, la desplazase al polo norte y la anclase allí verticalmente, sin duda para esa persona la lanza estaría en paralelo con su posición anterior, puesto que percibe nuestro planeta como si fuese plano. Sin embargo, alguien exterior a nuestro planeta, por ejemplo en la Luna, vería claramente que la orientación de la lanza es distinta (perpendicular a la anterior).
Lo que para un habitante ingenuo de La Tierra es plano, visto desde otro sistema de refencia está curvado, y eso perturba el concepto de paralelismo. En este caso, el terrícola está analizando la superficie desde una perspectiva esférica intrínseca (él no es consciente de ella) y el de fuera la ve desde un sistema cartesiano. Si la lanza sigue estando vertical en el polo se habrá desplazado en paralelo para el observador esférico, y si en el polo se queda tumbada en el suelo se habrá desplazado en paralelo para el observador cartesiano.
En esta entrada daremos un primer vistazo a cómo distintos sistemas de coordenadas pueden relacionarse entre sí para estar de acuerdo entre ellos sobre qué es y qué no es paralelo, y lo que es más importante: que es una cuestión de convenios.
Concepto fundamental de curva:
Como ya vimos aquí, podemos decir a grandes rasgos que una curva paramétrica sería una unión continua de puntos del espacio tales que podemos determinar todos ellos en función de un parámetro λ que, para cada valor, nos dará un punto de la curva. Por ejemplo, si λ fuese el tiempo, podríamos decir que la trayectoria de un coche en movimiento es una curva parametrizada por λ, ya que para cada valor el coche está en un punto distinto al anterior.
Concepto fundamental de base paramétrica:
Si tenemos un espacio de D dimensiones, en general podremos parametrizarlo con D parámetros distintos, de modo que cada punto del espacio tenga asignado un valor de los parámetros. Definimos punto a punto la base paramétrica como el conjunto de vectores unitarios paralelos a la derivada de la posición con respecto a cada uno de los parámetros. En esta entrada nos centraremos en las bases cartesiana y polar.
.-Base cartesiana:
Supongamos la posición parametrizada de la forma:
, su derivada parcial con respecto a x es:
, y su módulo:
, donde hemos asumido notación de Einstein para representar el producto escalar. Así pues, en virtud de lo que dijimos antes, el vector paramétrico unitario x será:
, y el y:
Coinciden con los vectores unitarios a los que estamos acostumbrados. ¡Pero ojo, esto es una casualidad! La conclusión a la que llegamos es que nosotros hemos empezado expresando ya la posición en coordenadas cartesianas.
Coordenadas polares:
Haciendo todas las cuentas, salvo la definición, de modo análogo:
Vemos que en este caso la dirección de los vectores base depende del ángulo. r unitario se aleja del origen de coordenadas y σ gira en torno a él. Una cosa importante que tenemos que ver aquí es que los vectores polares, ¡los estamos expresando en base cartesiana! Seguimos pensando de modo cartesiano intrínsecamente.
Relación entre bases coordenadas:
En general, entre 2 bases de coordenadas existirá una matriz de intercambio covariante (ver mismo enlace que para notación de Einstein) que este caso será:
, cuya correspondiente contravariante (inversa) será:
Vectores y covectores tangentes:
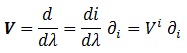
Visto todo lo anterior a modo de repaso, vamos a cambiar bruscamente nuestro concepto de vector y covector. Definiremos un vector tangente a una curva como la derivada total respecto al parámetro de la curva λ:
Las i representan los distintos parámetros del espacio, y estamos asumiendo notación de Einstein. Es decir, un vector es equivalente a una derivada total, y además la suma de las derivadas de los parámetros respecto a λ por la derivada parcial del parámetro. A las derivadas de cada parámetro sobre λ las denominamos componentes de V. Es importante notar que λ es el parámetro de la curva a la que queremos que sea tangente el vector, y los i son los parámetros del espacio, con lo que pueden coincidir o no.
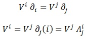
Debido al hecho de que podríamos haber parametrizado el espacio con los parámetros i o con otros cualesquiera j debe cumplirse la siguiente ecuación de invarianza:
, donde hemos definido una nueva matriz de transformación Λ compuesta de las derivadas parciales de las coordenadas i respecto a las j si queremos pasar del sistema j al i. La matriz de transformación covariante a Λ se definiría justo al revés y además sería su inversa.
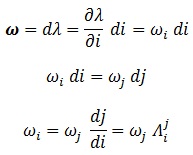
Definimos ahora en analogía el covector como una forma diferencial y verificamos que sus componentes se transforman contravariantemente:
, donde que estamos usando la matriz covariante se pone de manifiesto porque contrae el índice de arriba y porque se define justo al revés.
Obtengamos ahora ambas matrices para evitar la pereza de tener que hacerlo más adelante en la entrada:
Derivada covariante:
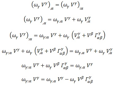
Probemos a derivar un vector V respecto a una curva, es decir, apliquémosle un vector genérico U. Por comodidad de notación, pasaremos a escribir las derivadas parciales con un subíndice y una coma:
, donde en el último paso cambio β por γ porque puedo y después me vendrá bien. Ahora tenemos un problema: la derivada de un vector respecto a un parámetro es algo conocido, ¿pero la derivada de una derivada?
Hemos visto que un vector es el producto de sus componentes por derivadas parciales, y sabemos que la derivada de un vector debe ser un vector. Debido a ello, la derivada de derivada que tenemos debe ser, en el caso más general, una suma de otras derivadas para que el resultado siga siendo un vector. Recurrimos para ello a una estructura de rango 3 Γ a la que por ahora llamaremos conexión afín:
, donde hemos decidido llamarla estructura en lugar de tensor porque veremos que en efecto no es un tensor ya que no transforma como tal. Llegados a este punto podemos completar la ecuación anterior e introducir la derivada covariante con un subíndice y punto y coma:
Esta derivada, que es tensorial, en el caso de escalares es idéntica a una derivada parcial:
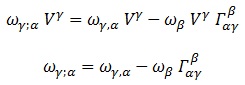
Y debido a esta invarianza escalar, podemos deducir cómo es la derivada covariante de un covector sabiendo simplemente que multiplicado escalarmente con un vector es un escalar y su producto debe ser igual derivado parcial o covariantemente:
Ahora, simplemente porque puedo sin alterar la ecuación, en el último término intercambio β por γ y ya tengo la expresión que buscaba:
Vemos que la derivada covariante de las componentes de un covector es la derivada parcial menos un término contraido con el índice superior de la conexión afín.
Pero veamos en más detalle la conexión afín. Sus índices inferiores representan una derivada de otra derivada, y por tanto podremos asumirlos simétricos (la derivada parcial sobre σ de la derivada parcial sobre r es idéntica a su inversa). Esta simetría la indicábamos con un paréntesis:
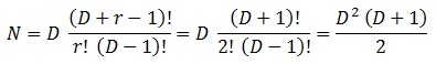
Ahora es interesante analizar su número de componentes independientes. Dado que es algo parecido a un tensor de rango 3 tendrá la dimensión D del espacio al cubo componentes que representan todas las combinaciones de valores de los índices. Pero 2 de estos índices son simétricos, lo que en virtud de lo que vimos en esta entrada implica que unas componentes dependen de otras (la ecuación recién escrita implica que si tenemos una componente tenemos su simétrica también y no hace falta calcularla). Esto nos da la ecuación para el número de componentes independientes N de la conexión afín en función de la dimensión D y el rango r de la simetría que en este caso es 2 (sería 3 si los 3 índices fuesen simétricos):
En nuestro caso de coordenadas cartesianas y polares la dimensión es 2, lo que nos da un total de 6 componentes independientes. Dado que 2 al cubo son 8 sólo hay 2 componentes que podemos obviar por simetría.
Supongamos ahora que quiero calcular las conexiones cartesiana y polar. Tengo el problema de que no sé calcular derivadas de derivadas. Por este motivo, necesito definir un sistema privilegiado en el que las derivadas de derivadas de sus parámetros valgan siempre 0, es decir, donde todas las componentes de la conexión afín se anulen. Si asumo que la conexión afín es completamente nula en cartesianas (esto implicará que mi visión geométrica de las cosas será cartesiana) puedo asumir que las derivadas entre derivadas de x e y son siempre 0, y por tanto si quiero calcular las de r y σ sólo tengo que relacionarlas con ellas. Todo esto es muy complicado de explicar con palabras, así que veámoslo con un ejemplo.
Cálculo básico de una conexión afín conociendo la base principal:
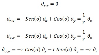
Queremos expresar las derivadas polares en función de las cartesianas. Para ello lo mejor es empezar haciendo una especie de celda en la que las columnas indican la componente cartesiana que derivo y las filas la componente polar respecto a la que la derivé. ¡Los resultados los expreso en polares!
Esto, en virtud de la transformación de derivadas que vimos al principio de esta entrada, me permite asegurar que:
Ahora tengo que derivar cada una de estas derivadas respecto a las 2 coordenadas polares para considerar todos los casos y reexpresarlo todo como una combinación lineal de derivadas polares. Dado que sabemos que la derivada de una derivada cartesiana siempre va a dar 0 tenemos una gran ventaja en el cálculo:
Es un buen momento para recordar cómo introdujimos la conexión afín:
Teniendo las 4 ecuaciones de arriba es posible obtener completamente los coeficientes de la conexión. Por ejemplo, la componente σσr (siendo la primera σ el índice superior) será el número que multiplica a la derivada de σ cuando derivo de la derivada de r respecto a la de σ. La ecuación que buscamos es la segunda y vemos que el factor es 1/r, que por simetría coincide con el de la ecuación de abajo.
El método que yo empleo para representar todos los coeficientes es hacer D tablas de datos D*D y etiquetarlas arriba con los distintos parámetros. La etiqueta de una tabla indica el valor de γ, y dentro de cada tabla las columnas indican el valor de α y las filas el de β (aunque esto es irrelevante con la conexión debido a la simetría):
Vemos que efectivamente hay 8 componentes y sólo 2 están relacionadas simétricamente con otras.
Un buen ejercicio para verificar que se ha comprendido el proceso sería hacer lo mismo desde coordenadas polares hacia cartesianas, siendo nulas las derivadas de derivadas polares.
Por último, resulta de vital importancia ser consciente de que si hubiésemos elegido como base principal las coordenadas polares esta conexión afín tendría que ser 0 por definición, ya que estamos en la base principal, y la de cartesianas sería no nula.
Ahora veamos para qué nos sirve todo esto.
Transporte paralelo:
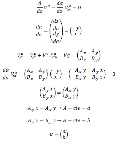
Supongamos que tengo una circunferencia centrada en origen de coordenadas y de radio R. Supongamos que en su extremo derecho ubico un vector orientado hacia la derecha:
Aquí básicamente estoy diciendo que considerando como base principal la cartesiana y estando el vector a una distancia R en el eje x y 0 en el eje y sus componentes cartesianas son esas. Pongamos por caso que ahora lo quiero transportar paralelamente sobre la circunferencia hasta el monento en el que y vale R y x se anula. Necesitamos considerar un campo vectorial genérico:
, y exigirle que su derivada sobre el parámetro de la curva sea nulo. Dicha derivada será representada por separado de lo que deriva y no es exactamente la derivada a la que estamos acostumbrados. La idea de cómo llegar hasta ella sale de la ecuación en la que surgió la derivada covariante, quitando las derivadas parciales a la derecha de cada miembro.
El parámetro de la circunferencia que elegiremos será el ángulo, y necesitamos verificar la ecuación que escribo y resuelvo directamente:
Vemos que el único campo vectorial que puede ser transportado en paralelo es el de coeficientes constantes. Esto es debido a que estamos pensando en cartesianas y además hemos escogido como base principal la de coordenadas cartesianas. Ahora, sabiendo que el vector que propusimos tenemos fijado el campo:
Ahora hagamos esto mismo en base polar y veamos si somos capaces de llegar a este campo vectorial como conclusión:
Ahora, aplicando la condición que tenemos sobre el campo en coordenadas polares (que resulta ser idéntica tras transformar en el punto considerado):
, que en la base cartesiana debe ser equivalente:
Recapitulando, la conexión afín nos ha servido para introducir en la ecuación diferencial los términos necesarios para que las conclusiones sobre paralelismo a la que lleguemos en la base polar sean las establecidas por la base cartesiana. Sin conexión afín, en coordenadas polares habríamos obtenido que el transporte paralelo del vector habría sido girando con la circunferencia (coeficientes constantes en base polar). Acabamos de ver cómo hacer que el astronauta en la Luna y el habitante de La Tierra estén de acuerdo, mandando el de la Luna.
Geodésicas:
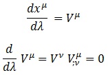
Acordado cuál va a ser el concepto de paralelismo con una conexión afín, la curva más recta entre dos puntos será la que siga todo el rato vectores tangentes a la propia curva y además de un modo que la derivada sobre ella de dichos vectores sea nula. Es decir, si x es nuestra trayectoria sobre la curva parametrizada por λ, exigiremos que:
, reescrita en ocasiones de la forma:
Aquí es muy importante tener claro que no es lo mismo cuando escribo derivar respecto al parámetro todo junto que cuando pongo primero la derivada y lo que derivo a la derecha como en la ecuación de arriba.
De esta última ecuación se deduce trivialmente mirando la expresión final que si estamos en el sistema de coordenadas en el que la conexión afín se anula el único requisito para que una curva sea recta es que su derivada segunda respecto a su parámetro se anule. Esto no debería sorprendernos, ya que en teoría de curvas definíamos la curvatura involucrando a dicha derivada.
Transformaciones:
Para concluir veremos que la conexión afín no es un tensor. Para demostrarlo calcularemos la conexión en una base ‘ suponiendo que la base de la que viene es en la que la conexión es nula:
Esta no es ni de lejos la forma en la que se transforma un tensor, y por tanto la conexión no lo es. Podemos general la fórmula al caso en que procediese de otra conexión no nula sumándole el término habitual de transformación de tensores:
Cálculo por transformación de una conexión afín conociendo la base principal:
Calcularemos de nuevo la conexión en polares para asegurarnos de que ambas versiones del cálculo son consistentes. Como ya tenemos casi todo sólo es aplicación directa de las ecuaciones:
, que coincide exactamente con la ya vista.
En la próxima entrada veremos qué relación tiene la conexión afín con la métrica y demostraremos algunas expresiones conocidas de cálculo vectorial que de otros modos se vuelven complicadas.
Categorías:Física, Matemáticas, Relatividad





































