En la entrada anterior introdujimos la conexión afín Γ y con su ayuda comprobamos que la noción de paralelismo era un convenio con el que fijábamos el sistema de coordenadas en el que esta se anulaba. Dicho sistema preferente, como es lógico, es el sistema euclídeo, donde se cumplen los axiomas de geometría de Euclides. Ahora bien, sabemos que siempre que trabajamos en un espacio vectorial con un producto escalar tenemos una métrica g que define las nociones de distancia, y dicha métrica no fue empleada para nada en la entrada anterior. El objetivo de esta entrada es ver cómo se relaciona g con Γ y al menos una importante ecuación que se deriva de dicha relación y que a pocos les demuestran.
Métrica:
Para refrescar lo esencial, recordemos que la métrica es un tensor de rango 2 covariante que se define para un espacio vectorial con unos vectores base ei como la combinación de sus productos escalares:
, de aquí resulta evidente que la métrica de un espacio euclídeo con base de vectores ortonormales es la delta de Kronecker δ, que valía 1 cuando los índices eran iguales y 0 en el resto de los casos.
Así pues, si queremos conocer la métrica en una base nueva y conocemos la matriz Λ de transformación de la base euclídea a esta, podemos aplicar simplemente la relación usual de transformación tensorial:
Conexión afín:
Nos interesa especialmente de ella recordar que en la entrada anterior demostramos que se transformaba de una base euclídea a otra distinta del siguiente modo:
, de donde podemos deducir, multiplicando por Λ en ambos miembros:
Relación entre la métrica y la conexión afín:
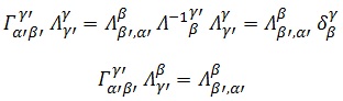
Si queremos relacionar una cosa con la otra, podemos derivar la métrica transformada a partir de la ecuación puesta arriba:
, de donde volviendo a considerar la definición de métrica transformada:
Además, cambiando índices resultan evidentes estas otras 2 ecuaciones:
Ahora, sumando estas ecuaciones y restándoles la primera:
Por último, multiplicando por la mitad de la métrica contravariante tenemos despejada la conexión afín en función de la métrica:
Despejar la métrica en función de la conexión afín no es tan sencillo, queda indeterminado (hay integrales), y además nunca será necesario.
.-Ejemplo de cálculo de una conexión afín conociendo la métrica: coordenadas polares:
Antes de mirar esta sección, si se ve necesario, se puede mirar la conexión afín de coordenadas polares para ver que llegaremos al mismo resultado (por 3ª vez y por 3 métodos distintos).
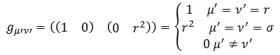
Consideremos la métrica polar covariante:
, donde la hemos representado como un covector de covectores por ser doblemente covariante en lugar de como una matriz y además hemos escrito explícitamente lo que da según el valor de los índices. En esta entrada evitaré usar el formalismo matricial cuando haga cuentas porque es todo un espectáculo.
La métrica polar contravariante será su inversa:
Por último, necesitamos la derivada de la métrica covariante, que será un objeto de rango 3 y, en vista de su definición, sólo existirá cuando derivemos la componente σσ respecto a r:
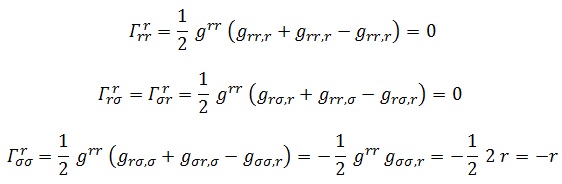
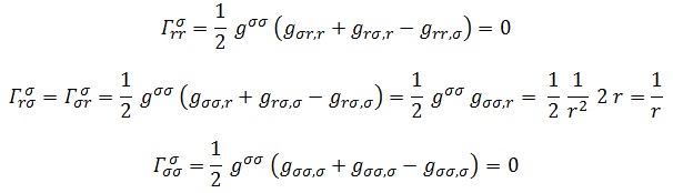
Ahora podemos ir a la ecuación vista y comenzar a calcular las 8 componentes de Γ, comenzando por la rrr:
Vemos que, por cómo nos ha resultado g, la única posibilidad para que la métrica contravariante no se anule es que sus dos índices siempre sean iguales, de modo que α’ queda siempre fijado (en este caso de coordenadas polares, recalco):
Tenemos la conexión perfectamente calculada.
Operaciones vectoriales con la derivada covariante:
Veamos ahora ejemplos de operaciones podemos definir tensorialmente con la derivada covariante, siendo para la última de ellas necesaria la relación métrica/conexión que hemos visto aquí. Partimos de las ecuaciones de derivación covariante que definimos en la entrada anterior:
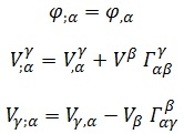
.-Gradiente:
El gradiente de una función escalar, esto es, su derivada covariante, es igual a su derivada parcial. Esta es la operación diferencial más sencilla.
.-Derivada exterior:
La derivada exterior de un vector expresado en componentes covariantes, resulta ser tan sencilla como en derivadas parciales por la simetría de Γ:
Además da las componentes del rotacional en forma de matriz.
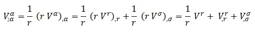
.-Divergencia:
La divergencia de un vector es la traza de su derivada covariante, y como tal, aparece un término complicado dependiente de la conexión afín:
Pero por suerte, ahora podemos calcular la contracción de la conexión afín conociendo su relación con la métrica:
Este término que nos resulta, por un teorema matemático que no procede demostrar aquí, es equivalente a la derivada del logaritmo del determinante de la métrica |g|:
, y así llegamos a la poco intuitiva (la 1ª vez que se ve) ecuación de la divergencia:
Esto justifica la forma extraña de la divergencia en coordenadas polares:
Y eso es todo por ahora.
En la próxima entrada veremos el tensor de curvatura, sus propiedades y sus contracciones. En otra entrada posterior, veremos el tensor de energía y momento y la ecuación de Einstein de la Relatividad General.
Categorías:Física, Matemáticas, Relatividad






















Pueden aclararme por qué si tenemos un vector (V0, V1, V2, V3) el covector es (-V0, V1, V2, V3) como resultado de aplicar la métrica (-1, 0, 0, 0).
Muchas gracias