En las entradas anteriores sobre «Elementos geométricos de la relatividad general» vimos varias cosas importantes: que la noción de paralelismo es relativa y está relacionada con la conexión Γ; que esta está relacionada con la métrica g; que el único tensor que vincula ambas cosas requiere derivadas segundas de g y es el de Riemann R y que las únicas posibles contracciones de este último generan el tensor de Ricci y el escalar de curvatura. Todas estas herramientas nos permiten identificar si el sistema de referencia con el que tratamos está curvado con respecto al que define el concepto de paralelismo y relacionar ambos casos.
Curvatura = Energía, la idea más feliz de Albert Einstein:
Bien conocido era desde Newton que todo cuerpo se mueve en línea recta salvo cuando hay alguna fuerza actuando sobre él. Esto, con el añadido de la teoría de campos clásica, que asociaba a cada fuerza un campo escalar de energía potencial de la que los cuerpos deberían escapar según el principio de Hamilton, suponía que toda perturbación de las trayectorias rectilíneas de los cuerpos estaba asociada a un desnivel o gradiente de la energía potencial a la que estaba sometido: cuando 2 cargas iguales están próximas tienen mucha más energía potencial que cuando se alejan, de modo que se desviarán para alejarse la una de la otra. En este panorama, predecir el movimiento de todas las partículas era equivalente a conocer todas las fuerzas que actuaban sobre ellas o, visto de otro modo, la distribución de energía potencial en todo el espacio por el que se movían.
Es muy representativo el ejemplo de un pez en el estanque: cuando un pez nada, si se deja llevar, su movimiento seguirá corrientes de agua que en general no serán rectilíneas. La energía potencial en el agua que se mueve acaba determinando las trayectorias de las distintas corrientes y consecuentemente la del pez, desviándolo del movimiento recto, si bien él, que sólo se deja llevar, asumirá que no hay perturbaciones en su trayectoria.
Con este panorama, Einstein se planteó si todas estas desviaciones atribuidas a gradientes de potencial no se podrían atribuir a que nuestro sistema de referencia está curvado con respecto al genuino en el que todas las trayectorias son rectilíneas.
Esta propuesta, que muchos lectores de física son convencidos de que fue revolucionaria, en realidad es una tautología. Uno siempre puede considerar que la curvatura de una trayectoria es una consecuencia geométrica del sistema de coordenadas igual que puede considerar que no, y que se debe a campos. No hay en realidad ninguna sorpresa aquí. La teoría de la gravedad de Newton se podría reescribir en términos de curvatura y quedaría exactamente igual. Algunos libros de divulgación dicen que una de las cosas en las que fallaba Newton era que su versión la gravedad no afectaba a la luz, pero nada más lejos de la realidad: aunque en su ecuación de fuerza gravitatoria aparezca la masa de la partícula atraída, tenemos que recordar que hay que dividir por esa misma masa para obtener la aceleración.
Lo que quiero decir con esto es que no fue relacionar las fuerzas con curvaturas lo que creó una teoría nueva, sino el hecho de arrastrar la idea de considerar el tiempo como una coordenada más desde la relatividad especial hasta aquí. Lo que diferencia la teoría de Newton de la de Einstein es que la 2ª curva también el tiempo de las trayectorias y no sólo el espacio.
Ahora bien, necesitaba una ecuación que relacionase curvatura con energía, y que fuese tensorial para no depender del sistema de referencia.
El tensor de energía-momento:
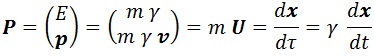
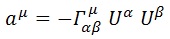
El único objeto dinámico (relacionado con la energía) que vimos en la relatividad especial era el cuadrimomento P, creado al combinar la energía E y el momento lineal p:
Aquí m es la masa del cuerpo en movimiento, γ el factor de dilatación de Lorentz, v el vector de velocidad, U la cuadrivelocidad, x la cuadriposición, τ el tiempo propio y t el tiempo relativo al observador.
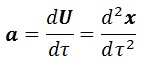
Un objeto importante que vamos a necesitar y que no vimos en su momento porque la relatividad especial no entiende de aceleraciones es la cuadriaceleración a:
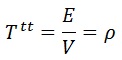
Con el campo de cuadrimomentos de un fluido (volumen relleno de partículas en movimiento) es posible crear un tensor de rango 2 multiplicándolo tensorialmente por sí mismo. Sin embargo, este objeto tendría unidades de energía al cuadrado y buscamos un tensor que nos hable de la energía concentrada en un punto, por lo que dividimos entre la energía del cuerpo, recuperando unidades de energía, y dividimos entre el volumen V que ocupa. Este objeto creado es análogo al tensor de tensiones visto en física de fluidos, añadiendo las componentes temporales:
En efecto, su coordenada fundamental, cuando los 2 índices son tipo tiempo, es la densidad de energía ρ:
Debido a esto hablamos del tensor energía-momento T con la certeza de que nos facilita magnitudes deseadas. En caso de que el sistema de coordenadas en el que lo observásemos lo diagonalizase, sus autovalores serían, como sucedía en fluidos, la presión p en los distintos ejes de simetría:
De aquí en adelante usaré los índices i y j para referirme a componentes espaciales. La traza de este tensor T, que no tiene ningún nombre en particular, sería:
Una propiedad fundamental que necesitaremos será su conservación. Cuando no hay fuentes geométricas de cuadrimomento, es decir, cuando su divergencia es nula porque no se crean nuevas trayectorias en el fluido:
Esto nos garantiza que la divergencia de T va a ser proporcional a la cuadrifuerza K actuando sobre el sistema, y que por tanto en ausencia de fuerzas se conservará:
El límite clásico:
Cuando los cuerpos se mueven a velocidades no relativistas, es decir, muy pequeñas, habíamos visto que los efectos relativistas eran despreciables recuperando las ecuaciones habituales. Debido a esto, para relacionar curvatura y energía en primer lugar asumiremos que el campo de Newton es un caso de pequeña intensidad del general para a partir de él extrapolar el caso general.
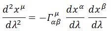
Dando por hecho que los cuerpos moviéndose afectados por un campo gravitatorio siguen la línea recta de algún sistema de referencia particular, su trayectoria vendría dada por la ecuación:
Típicamente λ sería el parámetro que caracterizaría la trayectoria. Por conveniencia elegiremos el tiempo propio τ, que nos permite reescribir esta ecuación como:
En el caso de Newton, por otra parte, sabemos que las componentes espaciales de la aceleración proceden del opuesto del gradiente de un potencial escalar. Como estamos dando por hecho que la ecuación de Newton representa un campo gravitatorio débil, no debería curvar mucho el espacio, con lo que aproximaremos la métrica que la rige por la libre de Minkowski η:
Debido a la diagonalidad de η las componentes espaciales no se mezclan. La pequeña y despreciable variación en la métrica, la expresaremos como la de Minkowski más una pequeña perturbación h dependiente de las coordenadas:
Además, supondremos que la métrica queda estática tras ser afectada por la presencia de energía, con lo que todas sus derivadas temporales serán nulas:
Asimismo, como estamos en el caso no relativista, la velocidad será prácticamente 0 (en comparación con la de la luz), lo que permite las siguientes aproximaciones:
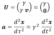
Sustituyendo esto en la ecuación de la geodésica y teniendo en cuenta que sólo sobreviven las coordenadas temporales de la cuadrivelocidad:
Para reexpresar esta ecuación tenemos que recordar la relación entre la conexión y la métrica:
Al sustituir todas las derivadas temporales de la métrica se cancelan, de modo que:
Y quedándonos sólo con las componentes espaciales:
Comparando con la ecuación de Newton obtenemos la igualdad:
Vemos que si queremos reexpresar la teoría de Newton como una perturbación de la métrica, dicha perturbación tiene que ser exactamente 2 veces el potencial gravitatorio. Esto implica que su laplaciano será también el doble del de Newton, y aquí encontramos al fin la relación entre métrica y energía:
La ecuación de Einstein:
Tenemos una evidencia de que para crear una teoría nueva compatible con la de Newton a bajas energías (donde sabemos que es cierta), el tensor energía-momento debe ser proporcional a derivadas segundas de la métrica. Pero como T es un tensor, aquello con lo que lo relacionemos también tiene que serlo. Además, también tendrá que ser simétrico y tener 2 índices.
Las derivadas segundas de la métrica aparecían en el tensor de Riemann, en el de Ricci y en el escalar de curvatura, pero ni el primero ni el tercero tienen 2 índices, sino 4 y 0 respectivamente. No hay forma posible de apañar el tensor de Riemann para que quede con 2 índices sin ser el de Ricci o nulo, pero sin embargo se pueden otorgar 2 índices al escalar de curvatura multiplicándolo por la métrica.
Así pues, tenemos 2 objetos geométricos tensoriales, simétricos y con 2 índices candidatos a aparecer en la ecuación. Provisionalmente, los incluimos multiplicados por las constantes A y B:
La teoría de Einstein no admite fuerzas externas, de modo que su tensor energía-momento ha de tener divergencia nula. Esto supone una condición con la que fijar las constantes A y B. Empezamos por «levantar» el índice μ:
Seguimos obteniendo la divergencia de los 2 miembros:
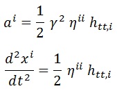
Despejar de aquí una de las constantes en función de la otra es complicado y tenemos que ver una relación entre el gradiente del tensor de Ricci y el escalar de curvatura. Para ello, retomemos el tensor de Riemann:
Si lo consideramos en el sistema de coordenadas en el que la conexión es nula, se simplifica en:
El gradiente de esta expresión es:
Ahora podemos escribir esta misma ecuación permutando cíclicamente los últimos 3 índices:
Y se ve que la suma de todos ellos es nula:
Esta ecuación es conocida como la identidad de Bianchi, que al ser igual a 0 es cierta en cualquier sistema de coordenadas. Si ahora contraemos los índices ρ y β teniendo en cuenta la definición del tensor de Ricci:
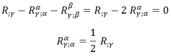
Y si ahora contraemos los índices α y ε y agrupamos términos:
Esta última expresión nos permite expresar la divergencia del tensor de Ricci en función del gradiente de la curvatura. Sustituyendo en nuestra condición para la ecuación de Einstein:
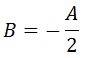
Para que esta ecuación se cumpla puede ser que el gradiente de la curvatura sea 0, cosa que no nos sirve para mucho porque queremos analizar los casos curvos, o que por el contrario:
Esto nos deja la ecuación de Einstein del siguiente modo:
Para fijar A, impondremos reproducir la ecuación de Newton. En el caso no relativista, las componentes espaciales del tensor energía-momento serán aproximadamente nulas, lo que nos permite hacer la siguiente aproximación:
De aquí obtenemos el escalar de curvatura en función de la componente genuinamente temporal del tensor de Ricci:
Esto nos deja las componentes temporales de la ecuación de Einstein del siguiente modo:
Ahora tenemos que reexpresar la componente que aparece del tensor de Ricci en función de derivadas espaciales de la métrica (las temporales hemos acordado que se anulan). Para ello recordamos su definición a partir del tensor de Riemann:
La expresión del tensor de Riemann está un poco más arriba, y suprimiendo derivadas temporales vemos que:
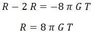
Sustituyendo en la ecuación de Einstein:
Y comparando con lo que ya vimos que debería dar:
En resumen, nuestra ecuación para la relatividad general será:
Curvatura y escalar energía-momento:
La ecuación de Einstein indica que el espacio no estará curvado escalarmente siempre que la energía del fluido tenga una energía igual a 3 veces su presión, es decir, cuando el escalar T se anule:
Esto nos permite reescribir la ecuación de Einstein del siguiente modo, análogo al que acabamos de ver:
Y con esto tenemos definida la relatividad general. En vernideras entradas analizaremos algunos casos particulares, aunque no tengo claro si será sobre lo que escribiré inmediatamente después de esto.
Categorías:Carrera, Física, Relatividad, Termodinámica











































