En la entrada anterior introdujimos el principio cosmológico, que asume que el universo es homogéneo e isótropo, para imponer la métrica de Robertson-Walker (RW) (sin término de curvatura) y a partir de ahí derivar las ecuaciones dinámicas de Friedmann. Sin embargo, ningún tipo de análisis de estas últimas fue planteado. En esta entrada analizaremos de forma general qué cosas podemos hacer con ellas y plantearemos tres modelos distintos de universo, viendo sus ventajas e inconvenientes y que ninguno de ellos se adapta a los datos experimentales, que simplemente serán mencionados en esta ocasión.
Significado de las Ecuaciones de Friedmann:
La Relatividad General (RG) nos brindaba 2 ecuaciones independientes para el universo a partir de la métrica RW y del tensor energía momento de un fluido relativista homogéneo e isótropo.
La primera de ellas nos decía que:
Aquí H era el parámetro de Hubble, definido en la ecuación de abajo, ρ la densidad de energía en el universo, A el factor de escala del mismo y el punto sobre cualquier parámetro representa una derivada temporal.
La conclusión es que la densidad de energía en el universo está fijada por la velocidad con la que este se expande o viceversa, según se quiera enfocar. Dado que H está elevado al cuadrado, además, la ecuación nos va a brindar siempre 2 soluciones con signos ±: una para el universo que se expande con esa velocidad y otra para el que se comprime.
La segunda ecuación la expresamos de 2 formas distintas:
Aquí p es la presión del universo.
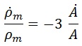
De aquí se deduce que cuanta más presión y densidad de energía hay, más se decelera la expansión del universo y viceversa. Esto, combinado con lo anterior en el caso de la solución con +, tiene una consecuencia sorprendente: cuanta más densidad de energía, más velocidad de expansión y más deceleración a la vez.
Evolución de la densidad de energía con el factor de escala:
Si derivamos respecto al tiempo la primera ecuación de Friedmann tenemos:
Y si teniendo esto despejamos la derivada temporal de la densidad de energía llegamos a:
Esta es la ecuación de evolución temporal de la densidad de energía. Si ρ aumenta, su derivada tendrá que ser positiva, lo que fuerza a que H sea negativo: la densidad de energía aumenta en universos contrayéndose y disminuye en universos expandiéndose, como era de esperar.
Termodinámica de la expansión:
Si consideramos una región cúbica de universo de lado A r, su volumen V será:
Por otra parte, su derivada temporal será:
Esto nos permite reescribir el parámetro de Hubble del siguiente modo:
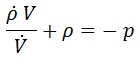
A partir de aquí, podemos dejar la ecuación de evolución de ρ así:
Reagrupando:
Ahora podemos usar las propiedades de las derivadas en el primer término:
Con lo que finalmente dejamos nuestra ecuación del siguiente modo:
Y esta ya es una relación termodinámica muy importante, aunque para verlo bien tenemos que reescribirla según la energía U encerrada en el volumen:
Sustituyendo:
Y despejando dU finalmente nos encontramos con:
Toda la variación de la energía derivada de la expansión procede del trabajo mecánico W que realiza el universo sin que haya ningún tipo de pérdida. Esto se deduce del primer principio de la termodinámica, según el cuál si parte de la energía se desprendiese en forma de calor la variación de energía no podría ser igual a la de trabajo. Lo importante aquí es que entonces la expansión no genera ni calor ni entropía y es un proceso adiabático, ¿y reversible?:
Esto no significa que la entropía del universo no aumente globalmente. Sólo implica que no lo hace debido a la expansión, aunque sí debido a casi todo lo demás. El porqué la expansión es isentrópica puede razonarse del siguiente modo: en nuestro modelo el universo sólo se expande y se contrae, pero mantiene la misma forma a distinta escala. En particular, si lo analizamos en las coordenadas comóviles en las que A siempre es 1, no hay ningún tipo de cambio. Debido a esta simetría estructural, no hay mayor ni menor desorden en ningún momento y la entropía se mantiene.
Parámetro de deceleración:
Considerando que el universo debía crecer cada vez más despacio, en los principios de la cosmología se definió el parámetro de deceleración de un modo un poco extravagante de más con el fin de que no tuviese unidades y fuese positivo si la aceleración era negativa:
La ventaja de esta definición es que podemos descomponerla en un producto de las dos ecuaciones de Friedmann y reexpresarla en términos de la densidad de energía y la presión fácilmente:
Vemos que en principio, salvo para grandes presiones de signo opuesto al habitual, q siempre debería ser positivo.
El horizonte de causalidad:
Según los postulados de la relatividad, ningún tipo de información puede viajar más rápido que la luz. Debido a ello y a que el universo es infinito y cuanto más lejos está un punto de nosotros más rápido se aleja, en principio constantemente perdemos para siempre el contacto con aquellas regiones que se alejan más rápido que la velocidad de la luz (pueden hacerlo porque ni las vemos ni nos transmiten información).
Una pregunta lógica y curiosa que surge a partir de esta reflexión es: ¿cuál es la mayor distancia que puede haber recorrido la información desde el origen del universo? ¿Cuál es el tamaño del horizonte de causalidad (a qué distancia se encontraba el punto más lejano cuya información nos ha podido llegar ahora)?
Para llegar hasta su expresión símplemente tenemos que recordar la métrica RW y cómo deja la noción de londitud propia s:
En el caso de un rayo de luz, que es lo que más rápido se puede mover, la longitud propia es nula. Considerando eso, y recolocando términos en la ecuación de arriba y aplicando una raíz cuadrada se llega fácilmente a:
Donde estamos diciendo que el horizonte causal rH está a la distancia (en segundos luz) de sumar todo el tiempo del universo modulado por el factor de escala A desde que nació hasta el presente t0.
¿La constante de Hubble?
Actualmente se considera que el universo se expande con una velocidad proporcional a su tamaño. Es decir, con un parámetro de Hubble H0 constante e igual a:
Por cada megapársec que nos separa de otro punto del universo, ese punto se aleja de nosotros 71 km/s más rápido. El pársec es una unidad de medida astronómica y representa la distancia desde la que la tierra y el sol se ven separados 1 segundo de arco. Esto vienen a ser aproximadamente:
Considerando también la relación:
Tenemos que el parámetro de Hubble también se puede escribir como:
Su inversa, que es mucho más interesante, toma los valores en años y gigapársecs de:
14000 millones de años son más o menos la edad del universo como posiblemente sepáis, con lo que tratamos con un objeto tanto interesante como útil. El motivo de expresarlo también en en gigapársecs es que será empleado a la hora de calcular horizontes causales.
Ahora bien, necesitamos un modelo cosmológico que nos facilite un parámetro de Hubble aproximadamente constante para encajar todas las piezas.
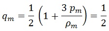
El universo dominado por materia:
Cuando hablamos de materia en un contexto de cosmología nos referimos fundamentalmente a partículas cuya velocidad es muy inferior a la de la luz y por tanto su energía cinética no es comparable a la de su masa. En este sentido, un universo dominado por materia sería uno en el que sus componentes estuviesen prácticamente quietos sin hacer fuerza entre ellos (como sucede con las galaxias) y la presión fuese despreciable:
Con esta consideración tenemos asegurado que el universo se expandirá deceleradamente, ya que q resulta positivo:
Por su parte, la densidad de energía cumplirá la siguiente ecuación diferencial:
Que afortunadamente se puede resolver de forma muy sencilla reagrupando términos en primer lugar:
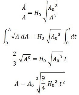
E integrando en tiempo en segundo lugar. Como tengo derivadas temporales en el integrando es posible cambiar los diferenciales, y elegir que los límites de integración vayan desde los valores presentes (etiquetados con 0) hasta los que cuadren:
Concluimos, ¿qué duda cabía?, que la densidad de energía decae con el cubo del tamaño del universo. Teniendo esta expresión podemos ir directos a la primera ecuación de Friedmann:
Y para obtener finalmente el factor de escala en función del tiempo símplemente tomamos la raíz positiva de la ecuación (el universo se expande), reexpresamos la densidad de energía según la expresión obtenida, introducimos H0 para escribir menos constantes e integramos, fijando que queremos que a tiempo 0 el universo tuviese tamaño 0 de acuerdo con el Big Bang:
Finalmente tenemos que el universo se expande de forma proporcional a la raíz cúbica del cuadrado del tiempo, es decir, de esta forma:
Cualitativamente la idea es que cada vez crece más despacio tras haber partido de un punto expandiéndose muy deprisa.
En el presente, t0, el factor de escala A del universo debería valer exactamente A0, lo que nos permite despejar la edad del universo según este modelo en función de H0 tal y como era de esperar:
9400 millones de años es un tiempo más pequeño que el que hoy en día se considera, lo que ya nos da os puede dar una idea de que no es el modelo definitivo.
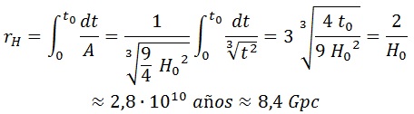
Finalmente, la distancia del horizonte causal (haciendo sin pérdida de generalidad A0 igual a la unidad) sería de:
Vemos que la longitud/vida de los fotones observada es mayor que la edad del universo por efectos relativistas.
Con esto concluimos el modelo de universo dominado por materia, que no es válido porque no tiene un parámetro de Hubble ni remotamente constante al variar la densidad de energía con el tiempo. El modelo de radiación tampoco será válido por el mismo motivo, pero está bien analizarlo un poco para ver dónde discrepa con este.
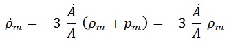
El universo dominado por radiación:
De modo opuesto al anterior, la radiación son aquéllas partículas cuya energía cinética es muy superior a su energía de masa, alcanzando velocidades próximas a la de la luz. Como casi toda la energía será cinética, será originada por la presión y repartida en las tres direcciones espaciales:
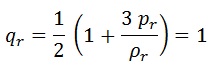
De nuevo obtenemos un parámetro de deceleración positivo:
Y de nuevo obtenemos una dependencia potencial entre la densidad de energía y el factor de escala:
Aquí vemos una característica anti intuitiva: la densidad de energía de radiación disminuye con la cuarta potencia del factor de escala y no con el volumen debido a su fuerte dependencia con el tiempo (velocidades elevadas). Llevando esto a la primera ecuación de Friedmann finalmente obtenemos cómo se expande el universo en este modelo:
En este caso la dependencia temporal es con la raíz del tiempo, lo que supone, como ya vimos al principio, una mayor deceleración. La gráfica tendría la siguiente forma, que es muy sutilmente diferente de la del universo dominado por materia:
Para concluir, obtenemos la edad del universo según el modelo y la distancia de su horizonte causal, que lógicamente serán más pequeños:
Estos dos casos que hemos visto son los más intuitivos, pero no parecen acordes con que el parámetro de Hubble sea constante y otros datos de los que no hablaré en esta entrada, por lo que deben ser desechados y es necesario empezar a plantearse modelos abstractos.
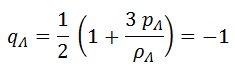
El universo dominado por energía oscura:
La energía oscura es un tipo de energía introducida en las ecuaciones básicamente «para que den», y como tal a día de hoy es lógico desde un punto de vista racional considerarla pseudociencia, ya que no predice nada y simplemente aparece para adaptarse a los datos experimentales. Para empezar tendría una presión de signo opuesto al habitual en todas direcciones:
Esto supone, como ya avanzamos, que el parámetro de deceleración será negativo, es decir, que el universo se expandirá aceleradamente:
Además, la derivada temporal de la densidad de energía será nula, lo que implica una densidad de energía constante:
Y aquí tenemos un enorme problema. Aunque lo que acabamos de obtener pueda parecer inocente a simple vista, ¡una densidad de energía constante en un universo expandiéndose supone que se está creando energía cuando se crea espacio! La energía oscura sería algo así como una energía asociada al propio tejido espaciotemporal que surge con el mismo y es imposible expandir el uno sin expandir la otra. Como es lógico, diversas teorías cuánticas de las fronteras teóricas de la física han intentado justificar algo así, cometiendo en el mejor de los casos un error de 120 órdenes de magnitud (que comentaré en otra entrada).
Al insertar este término constante en la ecuación de Friedmann obtenemos, lógicamente porque para eso la hemos definido, que el parámetro de Hubble es constante y por tanto idéntico a lo largo de toda la historia al valor que tiene hoy en día. Sin embargo, al integrar surge un infinito para el factor de escala 0 y no podemos tener un modelo de energía oscura con Big Bang. A tiempo 0 necesariamente tiene que haber un factor de escala Ai no nulo, o de lo contrario el universo nunca se expandiría:
Finalmente llegamos a una expansión exponencial en la que al no tener un origen bien definido no es posible estimar una edad del universo ni por tanto la distancia del horizonte causal. El principal motivo para desechar esta teoría, ya sin contar con el hecho de que nos hemos sacado la energía oscura de la manga, es que no es compatible con un modelo con Big Bang y eso iría en contra de montones de evidencias experimentales con más peso que… que den las cuentas del modelo. La gráfica de este universo sería:
Construyendo el modelo cosmológico actual:
Tras numerosos estudios parece que el modelo correcto, siempre que descartemos cosas como que el principio cosmológico y la relatividad general sean falsas, debe contener un 70% de energía oscura y un 30% de materia en la actualidad. Estos porcentajes, por supuesto, referidos a la densidad de energía asociada al parámetro de Hubble medido.
En particular, el modelo actual asume que el universo empezó estando dominado por radiación a alta temperatura, que cuando se fue frenando mientras se enfriaba dio lugar a un universo dominado por materia, que ahora deja su lugar a la energía oscura. Todo esto es compatible con sus ecuaciones respectivas de evolución, ya que la densidad de energía de radiación es la que decae más rápido con el tamaño del universo, seguida de la de materia. La de energía oscura, como acabamos de ver, no disminuye.
En la próxima entrada es posible que empiece a motivar la toma de datos para estos modelos.
Categorías:Carrera, Cosmología, Física, Relatividad, Termodinámica













































¿Porqué es evidente que cuando aumenta la densidad de energía aumenta el ratio velocidad de expansión / factor de expansión? ¿No debería un aumento de densidad de energía disminuir dicho ratio?
Hola,
Porque calculas la ratio necesaria para contrarrestar la energía, y precisamente porque mayor energía colapsa más rápido la ratio que la contrarreste ha de ser más elevada.