En la última entrada sobre relatividad general (RG) obtuvimos la solución de Schwarzschild a la misma para una masa puntual, obteniendo el campo gravitatorio a grandes distancias de la misma. Para ello supusimos qué forma aproximada debía de tener la métrica g, obtuvimos su tensor de curvatura R y lo relacionamos con el de energía-momento T (nulo en todo el espacio menos sobre la masa). En esta ocasión haremos lo mismo para obtener cómo perturba el espacio-tiempo todo el universo.
Las ecuaciones de Friedmann y Robertson-Walker tradcionalmente se expresan con un término de curvatura por si el universo fuese la hipersuperficie de un universo de 5 dimensiones, pero lo voy a obviar porque sólo alarga el cálculo y actualmente esta posibilidad está descartada.
Una explicación divulgativa de la gran importancia de estas ecuaciones puede verse en mi ponencia «Cronología del Big Bang y expansión del universo».
El principio cosmológico y la expansión:
Sabemos que en el espacio vacío la métrica relativista tiene la forma:
, siendo t la coordenada temporal y r la coordenada espacial. Esta métrica tiene unas propiedades muy interesantes consecuencia de pertenecer al espacio vacío, que son que tendrá la misma forma aunque:
- La gire en cualquier dirección: es isótropa.
- La traslade espacialmente: es homogénea.
- Pase el tiempo: es estática.
Todas estas propiedades son análogas a las del tensor de energía-momento de un fluido clásico T, en el que la diagonal de las componentes era simplemente el opuesto de la presión p en el fluido (el – se pone para que al aumentar el volumen disminuya la energía):
Esto nos da una idea del tipo de distribución energética que requeriría el universo para tener las 3 características mencionadas. Pero, ¿realmente las tiene?
Observando el universo a distintas escalas observamos una tendencia heurística hacia la isotropía y la homogeneidad. Cuando nosotros miramos a nuestro alrededor en la escala del metro distinguimos animales, mesas, agua, cielo… Si aumentamos un poco la escala a las centenas de miles de km podemos distinguir astros, pero ya no hay tanta variedad de cosas como en nuestra escala. Finalmente, no parece muy arriesgado (aunque lo es) pensar que cuando observamos el universo en escalas suficientemente elevadas no distinguimos una región de otra.
Decir que el universo debe ser isótropo y homogéneo es lo mismo que decir que debe ser isótropo en todas partes (si debo ver lo mismo si me giro que si me desplazo, desde otro punto desplazado también tengo que ver lo mismo si me giro). Esto implica que no puede haber direcciones privilegiadas y por tanto los tensores g y T deben ser simétricos, y por tanto diagonalizables, y por tanto tener los mismos autovalores para todas las componentes espaciales.
Por otra parte, la estaticidad implicaría que ninguno de esos autovalores debería de ser dependiente del tiempo. Sin embargo, a día de hoy tenemos evidencias de que el universo se expande (que no son objeto de esta entrada sino de la siguiente), con lo que no deberíamos asumir esa hipótesis.
Ahora bien, si queremos una métrica isótropa, homogénea y diagonalizada no nos quedan muchas opciones para que no sea estática. Los puntos del espacio no deberían de poder girarse y mezclarse entre ellos, ni cambiar de forma distinta en una región del universo que en otra. Así pues, la única evolución posible es que la noción de distancia entre todos los puntos del espacio aumente/disminuya por igual en todas partes. Es decir, que el universo tendría exactamente la misma forma pero en una escala distinta.
La forma que tenemos de introducir esto es definir un parámetro A que valdría 1 en un tiempo prefijado, como puede ser ahora mismo, y que multiplicaría a la coordenada espacial r aumentando o disminuyendo su valor en metros con el tiempo. Dos puntos dados a distancias r1 y r2 del origen seguirán teniendo coordenadas r1 y r2, pero la distancia entre ellos se multiplicará por el valor de A con respecto al momento actual. r1 y r2 son las llamadas coordenadas comóviles del universo. Esto significa que la métrica adquiriría la siguiente forma, que es la de Robertson-Walker:
Por su parte, el tensor energía-momento adaptado a esta métrica relativista sería:
Donde ρ es la densidad de energía.
La conexión afín y el parámetro de Hubble:
Teniendo esto, tenemos que hacer las cuentas usuales camino del tensor de curvatura de Ricci R. La métrica contravariante, la derivada temporal de la métrica (las derivadas temporales serán puntos sobre las variables) y la conexión afín son:
Mirando un poco la conexión afín vemos que puede resultar útil definir el parámetro de Hubble H como el cociente entre la velocidad a la que crece el factor de escala A entre el propio factor de escala. Esto es equivalente a decir que el parámetro de Hubble para un astro que se aleja de nosotros es la velocidad a la que se aleja entre la distancia a la que está:
Reexpresar la conexión afín según el parámetro de Hubble la deja del siguiente modo:
El tensor y el escalar de curvatura:
Y llegados a este punto ya sólo quedan las cuentas más aburridas, aunque en esta ocasión son mucho más fáciles que en el caso de Schwarzschild. En primer lugar obtenemos la contracción de la métrica teniendo en cuenta que hay que sumar sobre las 3 coordenadas espaciales que estoy resumiendo en una:
Y de aquí en adelante ya es todo en línea recta. Para ver en mayor detalle por qué hago estas cuentas mirad la entrada de Schwarzschild ya mencionada:
Finalmente, R resulta ser un tensor diagonalizado y dependiente del tiempo, como era de esperar:
El escalar de curvatura, por su parte, toma la forma:
Las ecuaciones de Friedmann:
Para concluir con el objetivo de la entrada sólo nos queda emplear la ecuación de la RG, para lo que previamente debemos hacer un par de cuentas más con la curvatura:
Y ahora simplemente tenemos que aplicar:
Esto nos brinda el siguiente sistema de ecuaciones cuando consideramos los índices tt y rr:
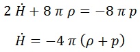
De la primera igualdad obtenemos la 1ª Ecuación de Friedmann, que nos indica cómo se expande el universo en función de la densidad de energía almacenada en él:
De la segunda igualdad, tras sustituir la anterior, obtenemos la 2ª Ecuación de Friedmann, que nos acerca al cálculo de la aceleración del universo en función de la densidad de energía y la presión a la que está sometido:
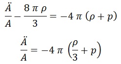
No obstante, la forma habitual de expresarla es es despejando de ella (teniendo en cuenta la 1ª ecuación de Friedmann y la expresión de la derivada temporal de H) la aceleración del factor de escala A:
En la siguiente entrada veremos distintos modelos posibles de universo combinando estas dos ecuaciones fundamentales para la cosmología y que dependen de que el principio cosmológico sea cierto.
Categorías:Carrera, Cosmología, Física, Relatividad


















