Física

Los tres efectos Doppler (clásico, relativista cinético y relativista gravitatorio) y el experimento Pound-Rebka.

Doppler

Hace un par de entradas estudiamos cómo se justificaba teóricamente el modelo atómico de orbitales, y argumentamos que dado que la energía orbital de cada átomo depende de su número atómico Z característico, las distintas energías de transición orbital de un átomo lo caracterizaban por completo. Este hecho ha sido y es muy importante en física experimental, como veremos en esta entrada, habiendo sido clave para verificar, por ejemplo, la dilatación del tiempo debida a la gravedad.

El efecto Doppler clásico:

Sobre este fenómeno ya hablamos hace mucho tiempo en la entrada sobre ondas, pero procede repasarlo para poder compararlo con sus análogos relativistas.

Supongamos que estamos observando un foco emisor de una onda moverse con una cierta velocidad v hacia la derecha. Supongamos que dicha onda es recibida por un receptor que inicialmente se encuentra a una distancia d y se desplaza también hacia la derecha con una velocidad u. Si el foco emite ondas de periodo T0, ¿detectará el observador el mismo periodo de oscilación?

 La posición del foco en el eje x vendrá dada por el movimiento rectilíneo uniforme habitual:

Cl Posición fuente

Análogamente, la posición del receptor vendrá dada por:

Cl Posición receptor

Si el foco emite en el instante inicial un pulso de onda, digamos sonora, que se mueve con una velocidad c (no la de la luz), dicho pulso tiene una ecuación de movimiento:

Cl Pulso 1

El momento t1 en el que este pulso alcanza al receptor viene dado por igualar sus posiciones:

Cl Tiempo 1

Este resultado tiene sentido. El tiempo que tardará el primer pulso al receptor aumenta con la distancia d. Además, cabe destacar que cuanto más rápido se aleje el receptor más tiempo tardarán en coincidir, no llegando a encontrarse nunca si la velocidad u del receptor fuese mayor que la velocidad c del pulso. Por otra parte, si el receptor se moviese hacia el pulso (velocidad negativa), el tiempo sería menor.

Supongamos ahora que pasado un tiempo T0, la fuente emite otro pulso igual y a la misma velocidad. La ecuación de posición de este nuevo pulso empezará en la distancia recorrida por la fuente hasta ese instante y tendrá la siguiente forma:

Cl Pulso 2

En este caso, el tiempo t2 en el que este segundo pulso alcanzará al receptor es:

Cl Tiempo 2

Y teniendo esto ya podemos calcular el periodo Tf que opinará el receptor que hay entre ambos pulsos:

Cl Periodo

Como es lógico, cuanto más despacio se mueva el foco, o más en sentido contrario, mayor será el periodo según el receptor. Además, si la velocidad v del foco supera a la del pulso, el periodo se vuelve negativo. Esto implicaría que el segundo pulso llegaría antes que el primero y daría lugar a lo que se conoce como una onda de choque: si el foco de una onda se mueve más rápido que esta, observadores lejanos se tragarán todos los pulsos en orden opuesto.

Podemos obtener la relación entre frecuencias invirtiendo la ecuación:

Cl Frecuencia

Efecto Doppler relativista cinético:

 La ecuación anterior obviamente no es correcta en el contexto de la relatividad, sino aproximadamente correcta en el caso de que las tres velocidades que intervienen sean mucho más pequeñas que la de la luz. A tales efectos, si queremos calcular el efecto Doppler producido sobre un rayo de luz es necesario recurrir a la relatividad especial.

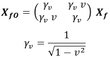
El foco, respecto a sí mismo, considerará que tiene una cuadriposición en la que solo avanza el tiempo, ya no percibe que él mismo se esté moviendo con respecto a sí mismo:

Recordemos que usamos unidades naturales. Ahora bien, para obtener la cuadriposición del foco con respecto a nosotros, que lo vemos moverse con velocidad v, hay que aplicar una transformación de Lorentz:

Transformación Lorentz

Esto hace que el cuadrimomento observado sea:

Rl Posición fuente

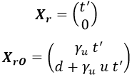
Análogamente, para la posición del receptor tenemos:

Rl Posición receptor

Nótese que el tiempo para el receptor no es el mismo que el tiempo para el foco ni, de hecho, para quienes los observamos a ambos moverse. Esto es debido a la dilatación cinemática del tiempo.

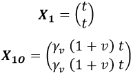
Cuando el foco emite un pulso luminoso, percibe que su avance en tiempo y espacio es equivalente, tal y como debe ser según los axiomas de la relatividad. Así pues, la cuadriposición del primer pulso es:

Rl Pulso 1

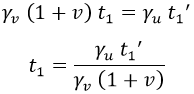
Con respecto a nosotros, el pulso alcanza al receptor cuando sus cuadrimomentos coinciden completamente. Igualando la componente temporal obtenemos así la relación entre tiempos:

Y gracias a esto podemos calcular, igualando componentes espaciales, en cuánto tiempo según el receptor es recogido el primer pulso:

Rl Tiempo 1

Vemos que es la misma fórmula que en el caso clásico, salvando el factor γu de dilatación de Lorentz.

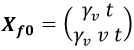
En lo referente al segundo pulso, hay que tener en cuenta el desfase temporal en la componente espacial, como en el caso clásico:

Aplicando de nuevo una igualdad entre cuadrimomentos del segundo pulso y del receptor, obtenemos de nuevo la relación entre tiempos y el tiempo en el que el segundo observador considera que ha recibido el segundo pulso:

Rl Tiempo 2

De nuevo, todo coincide con el caso clásico salvo factores de Lorentz.

Finalmente, en relatividad especial la relación entre periodos toma la forma:

Rl Periodo

Y no hay nada nuevo que comentar, salvo el hecho de que en esta ocasión si la velocidad v de la fuente se aproxima a la de la luz el periodo es nulo, aunque nunca podría llegar a haber onda de choque. Por otra parte, si la velocidad u del receptor se aproximase a la de la luz, el periodo tendería a ser infinito.

Por su parte, la relación entre frecuencias queda del siguiente modo:

Rl Frecuencia

Uno podría sentirse decepcionado al ver tan poca diferencia entre un caso y el otro salvo la esperable. Sin embargo, poco más podría pasar dado que la fórmula clásica tenía que ser aproximadamente correcta.

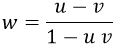
Hay una cosa, no obstante, que solo se puede demostrar rigurosamente en relatividad especial, y es que lo único realmente relevante es la velocidad w relativa entre foco y receptor. En relatividad especial, la fórmula de resta de velocidades tomaba la forma:

Velocidad relativa

Nótese que en cinemática clásica se usaría la misma fórmula sin el cociente.

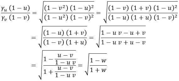
Veamos que el factor relativista cinemático del efecto Doppler es expresable exclusivamente en términos de w:

Cuentas 1

De modo que, a fin de cuentas, el efecto Doppler relativista cinemático solo depende de la velocidad relativa:

Esto podría parecer obvio conceptualmente, pero en cinemática clásica es una propiedad falsa. Solo en relatividad es un hecho exacto.

Efecto Doppler relativista gravitatorio:

Cambiamos ahora radicalmente el planteamiento del problema. Tenemos un foco en medio de un espacio-tiempo curvado en cierta posición X1, y un receptor en otra Xr. Da igual la distancia. ¿El periodo que opina el foco que tiene la onda que emite coincide con el que opina que tiene el receptor? Por supuesto, la respuesta es negativa.

Recordemos que en relatividad general el tiempo propio τ de un cuerpo se calcula como la norma de su cuadriposición, la cual involucra la métrica del espacio-tiempo:

Tiempo propio

Cuando un cuerpo está quieto, solo varía su coordenada temporal y esta ecuación se reduce a:

Tiempo propio quieto

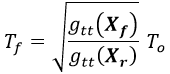
Como consecuencia de este hecho, si vemos un cuerpo quieto en un punto X del espacio-tiempo curvado, el tiempo T que le asignaremos T(X) estará relacionado con el tiempo propio suyo mediante el coeficiente métrico temporal gtt:

Es decir, en relatividad general, aunque un cuerpo esté quieto, si lo observamos considerando que el tiempo está curvado, nuestro tiempo y el suyo discreparán según dónde esté ubicado. Los que podemos ver que el espacio está curvado definiríamos el sistema de referencia principal, y como todos los puntos cumplirían esta última relación con respecto al tiempo propio, se cumple que entre dos lugares cualesquiera se da la relación:

De modo que, volviendo a nuestro problema, la relación entre tiempos sería:

Y la relación entre frecuencias:

Frecuencias gravedad

El experimento Pound-Rebka:

Ahora bien, grandes afirmaciones requieren grandes pruebas. ¿Circula el tiempo de forma diferente en distintos puntos del espacio-tiempo? Esta era una cuestión difícil de probar cuando Einstein planteó su teoría de la relatividad general en 1915, aunque las razones históricas para aseverarlo eran razonables.

No fue hasta 1959 que, con un poco de imaginación y la ayuda de átomos, Pound y Rebka pudieron verificarlo sin dejar lugar a dudas. Para ello, tomaron átomos idénticos, algunos con un mayor nivel energético que otros, y ubicaron los menos energéticos arriba y los más energéticos abajo, separados por una altura h.

Los átomos más energéticos tarde o temprano reducirían su nivel de energía hasta el menos energético emitiendo un fotón característico (en energía) y, como sabemos, la energía de un fotón está relacionada con su frecuencia mediante la ecuación de Planck:

Planck

Estos fotones emitidos se trataron de dirigir hacia los átomos menos energéticos más elevados y, en circunstancias clásicas, dado que cada fotón transportaría una energía característica de ese típo de átomo, los átomos de arriba podrían absorberlos y aumentar ellos su nivel energético.

Importantísimo: En física cuántica no valen medias tintas. Cuando el fotón que sale de un átomo llega a otro, para que este lo pueda absorber tiene que tener exactamente la energía característica de ese átomo.

Ahora bien, la curvatura de la gravedad en el tiempo depende de la distancia al centro de la tierra, con lo que los átomos más bajos tendrían un tiempo más grande. En particular, aplicando la solución de Schwarzschild para el campo gravitatorio generado por una esfera obtendríamos:

Aquí rf es la distancia del átomo foco al centro de la Tierra, rr la del receptor y rs el radio de Schwarzschild terrestre. Si el receptor está más próximo al centro que el receptor, el efecto Doppler aumenta la frecuencia. Si está más lejos, la frecuencia disminuye. Esta es la ecuación clave, por ejemplo, en Interstellar, cuando dicen que 3 horas en un planeta son 10 años en otro. Sabiendo la distancia de ambos a la fuente de curvatura se puede calcular sin problemas el radio de Schwarzschild de esta.

Debido a este efecto, en el experimento Pound-Rebka los átomos superiores eran incapaces de absorber los fotones recibidos, ya que su frecuencia había disminuido durante el ascenso, y por tanto tenían menos energía de la adecuada cuando llegaban a su destino.

¿Qué hicieron estos hombres para verificar que la no-absorción era debida a la dilatación del tiempo? Compensar el efecto Doppler gravitatorio con uno cinemático. Para ello, simplemente, probaron a dar velocidad vertical a los átomos de abajo para que la frecuencia perdida por gravedad aumentase por aproximación cinética del foco a los receptores. Hay que recalcar que no bastaba con subir los átomos de abajo un poco, la clave era que emitiesen sus fotones mientras se movían en vertical. Así pues, si w era la velocidad relativa tal y como la definimos más arriba, el efecto Doppler combinado tendría la fórmula:

Teniendo en cuenta que el radio de la tierra es R, y que la altura relativa de los átomos más elevados era h, se podría reescribir como:

Y como lo que queremos es que las frecuencias inicial y final coincidan, solo queda resolver la ecuación:

Cuya solución aproximada al final es:

Velocidad

Nótese que queda negativa porque está definida al revés. Previamente considerábamos que el receptor se alejaba del foco. En este caso se acercan.

Por último, necesitamos tener en cuenta los valores del radio de Schwarzschild terrestre, el radio de la Tierra y la altura aproximada del experimento:

Valores

Y así ya estamos listos para calcular que la velocidad con la que necesitaron desplazar los átomos era de nada más y nada menos que 10^-15 veces la velocidad de la luz, o 0,6 micrometros por segundo:

Micrometros

Consecuentemente la dificultad del experimento radicaba, sobre todo, en ser capaces de afinar a esos niveles la velocidad de los átomos en una época en la que la nanotecnología todavía era ciencia ficción.

Categorías:Física, Relatividad

2 respuestas »

  1. Hola,
    Me gustaría también mencionar la existencia del efecto Doppler cosmológico, donde se tiene que
    1+z = 1/a,
    donde el redshift es z = (lambda-lambda_0)/lambda_0, donde lambda es la longitud de onda observada y lambda_0 la correspondiente longitud de onda para a=1, siendo a el factor de escala de Universo.

Preguntas, correcciones y debate son bien recibidos.