Electromagnetismo

Heurística de la electrodinámica cuántica y las partículas virtuales: obteniendo el potencial de Coulomb a partir del concepto de fotón, la relatividad especial y la incertidumbre de Heisenberg.

Intercambio

En la entrada anterior obtuvimos la solución cuántica de un orbital atómico tipo s, donde analizamos el movimiento de un electrón alrededor de un núcleo. Hacia el final, comentamos que para un electrón era posible desplazarse entre distintos orbitales emitiendo o absorbiendo fotones. Sin embargo, no entramos en detalle con esto último.

La gran pregunta que se hace todo estudiante de física en algún momento:

El fotón es la partícula de la luz y la radiación electromagnética, no tiene masa y siempre se mueve a la velocidad de la luz c. Perfecto. Las partículas como el electrón interaccionan entre ellas emitiendo y absorbiendo fotones. Perfecto. Ahora bien, ¿cómo diablos se relaciona un fotón con la ley de Coulomb? ¿De dónde saco que dos electrones se repelen y que un electrón y un protón se atraen sabiendo que «es que a nivel microscópico intercambian fotones»?

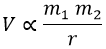
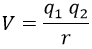
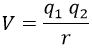
Hay varias formas de aproximarse a esta cuestión, pero no hace falta saber absolutamente nada de electrodinámica cuántica formal para relacionar la física de lo microscópico con la física de lo macroscópico. Solo necesitamos hacer uso de truquillos justificados (al menos tanto como toda la electrodinámica cuántica) para deducir el potencial electrostático clásico usando las nociones básicas sobre cargas, la relatividad especial y el principio de incertidumbre. Con esos ingredientes llegaremos a que el potencial V creado entre dos cargas q1 y q2 a una distancia r es esto:

Potencial

La mecánica de la relatividad especial y el fotón:

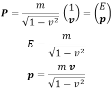
En relatividad especial, el cuadrimomento P de una partícula puede expresarse del siguiente modo usando su masa m, su velocidad v, su energía E y su momento p:

Cuadrimomento

Aquí usamos el criterio de indicar con negrita los objetos con varias componentes. La norma relativista del cuadrimomento es la masa:

Norma cuadrimomento

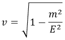
Usando la ecuación que define la energía, se puede despejar la velocidad de un objeto sabiendo su masa y su energía:

Velocidad

De aquí se concluye directamente que si una partícula no tiene masa, su velocidad siempre será 1, la de la luz en unidades naturales. Se concluye además que las partículas sin masa pueden tener cualquier energía independientemente de que su velocidad sea siempre la misma. Y si nos vamos a la ecuación de arriba, también se ve que si una partícula no tiene masa su energía y su momento coinciden, ya que la resta de ambos daría cero.

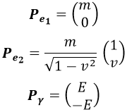
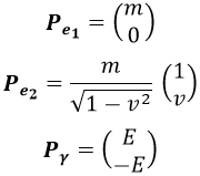
Un electrón intenta emitir un fotón:

Supongamos que tenemos un electrón de masa m quieto con cuadrimomento Pe1, que como si fuera una pistola, comienza a moverse hacia delante con velocidad v y cuadrimomento Pe2 a costa de haber emitido hacia atrás un fotón γ con energía E cuadrimomento . Estos serían los cuadrimomentos indicados:

Cuadrimomentos

Nótese que el momento del fotón, igual en módulo a su energía, tiene un signo negativo por ir hacia atrás.

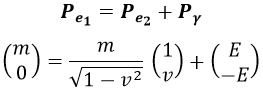
La ecuación de conservación del cuadrimomento se podría escribir de estas dos formas:

Conservación cuadrimomento

Si nos quedamos con las segundas componentes, es posible despejar la energía del fotón en función de la velocidad con la que sale despedido el electrón:

Energía fotón

Por otra parte, podemos trastear con la ecuación de cuadrivectores para concluir que dicha energía es necesariamente nula usando que los módulos de los cuadrimomentos son las masas:

Energía nula

Y si la energía del fotón es nula, necesariamente la velocidad con la que sale despedido el electrón también:

Velocidad nula

Así que, atendiendo a la relatividad y a su conservación del cuadrimomento, que no deja de ser la conservación de la energía y la del momento de toda la vida, si un electrón intenta emitir un fotón logrará quedarse como estaba. Sin embargo, la electrodinámica cuántica depende radicalmente de que esto no sea un impedimento real para el electrón.

Intercambio de fotón entre dos cargas:

Según la electrodinámica cuántica, una carga cualquiera puede emitir siempre un fotón que será recibido por otra carga (entre otras posibilidades), siendo así como interaccionarían electromagnéticamente a nivel fundamental. Ahora bien, acabamos de demostrar que los principios de conservación básicos impiden que la primera carga emita dicho fotón (y por inversión temporal también que la segunda lo recoja). Sin embargo, la electrodinámica es clara en sus principios: si una carga q1 quiere interaccionar con otra q2 podrá hacerlo y el potencial de interacción será proporcional al producto de ambas:

Potencial proporcional

El universo tramposo:

La física cuántica tiene muchas cosas que al principio chocan un poco y que después siguen chocando, pero a las que te acostumbras. Una de ellas es el principio de incertidumbre empleado por la naturaleza como señuelo para sabotearnos disimuladamente.

Nosotros prohibimos con toda la razón del mundo a una carga emitir un fotón. ¿Qué hace la carga? Pensar en cómo no hacernos caso sin que nos enteremos. ¿Y dónde no nos enteramos? En los límites de nuestros aparatos de medida.

Las dos cargas que quieren interaccionar necesitan pasarse un fotón de la una a la otra sin que nos de tiempo a detectar que lo están haciendo. Dado que el fotón tiene velocidad 1, necesitan que, para recorrer una distancia r, exista durante un tiempo t:

Espacio luz

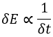
Por otra parte, el principio de incertidumbre de Heisenberg nos dice que o afinamos en la precisión con la que medimos el tiempo, o afinamos en la precisión con la que medimos la energía, ya que el producto de los errores en ambas medidas es siempre mayor o igual a 1/2 (en unidades naturales):

Heisenberg

Cuanto mejor medimos la energía, más tiempo tenemos que esperar entre medidas. Cuanto más seguidamente queremos verificar que se conserva, con menor precisión lo hacemos. Esta desigualdad típicamente se puede aproximar con buenos resultados diciendo que el producto de ambos errores es aproximadamente igual a 1:

Aproximación

Y a partir de aquí no es un paso muy radical proponer una dependencia inversamente proporcional entre ambos errores:

Inversa

Ahora bien, el error en el tiempo será igual al error en la distancia porque quien la recorre es un fotón:

Errores

Y a las cargas les interesa que el error en la distancia sea exactamente la distancia a la que se encuentran, con lo que:

Error distancia

Y así llegamos a:

Inversa 2

¿Y qué es lo que altera nuestras mediciones de energía? Que no controlamos el potencial de interacción, principal responsable de sus variaciones. De modo que:

Potencial error

El potencial de Coulomb resulta ser entonces la mayor perturbación energética que pueden hacer dos cargas a una distancia r sin que detectemos que se están cargando la conservación del cuadrimomento, y tiene la forma esperada:

Potencial

Y ojo al dato, porque lo que esto significa en últimas instancias es que a lo que llamamos energía potencial está directamente relacionado con cómo nos la juega la naturaleza a nivel microscópico. Podría decirse que todas las energías potenciales macroscópicas conocidas son nuestros apaños para corregir estas alteraciones sin mucho error.

La naturaleza es, en suma, una tramposa. Y estas partículas que ni detectamos ni deberíamos poder detectar cuando nos engañan se denominan partículas virtuales. Esto no significa que todos los fotones sean virtuales, sino que lo son todos los que aparecen en estas circunstancias. La luz no es virtual.

Un poco más allá:

Pero no desaprovechemos la ocasión de indagar más en lo expuesto. Hemos obtenido un potencial que decae con la inversa de la distancia gracias a que necesitábamos justificar mediante Heisenberg que las cargas emitiesen fotones, y las cargas no podían emitir fotones porque estos no tienen masa, lo que desestabiliza la conservación del cuadrimomento. Si un fotón tuviese masa un electrón podría emitirlo sin problemas, y no podríamos haber justificado así la ley de Coulomb.

Recalquemos esto: podemos demostrar que la ley de Coulomb es acorde con la física cuántica de este modo tan coherente porque la física cuántica nos toma el pelo. Si no nos tomase el pelo, no podríamos.

Y esto es extendible a cualquier interacción mediada por una partícula sin masa. El hipotético gravitón, la partícula de la gravedad, no tiene masa, con lo que también se propaga a la velocidad de la luz, con lo que las partículas tampoco deberían poder emitirlo ni absorberlo, con lo que lo hacen, con lo que…:

Potencial gravitatorio

El potencial gravitatorio y el electrostático son las únicas fuerzas que actúan a larga distancia porque son las únicas que cumplen dos requisitos básicos:

  • Sus partículas mediadoras, el fotón y el gravitón, no tienen masa.
  • Lo que hace que las partículas las puedan producir, la carga y la masa, no cambia con el tiempo como le cuadra ni hace cosas raras.

De aquí se concluye que efectivamente estos requisitos no son cumplidos por las interacciones nucleares. Motivo por el cual no se divulga nunca un potencial así de sencillo para esas interacciones y motivo que explica que existan viñetas tan buenas como esta de xkcd: comics/fundamental_forces.png

2 respuestas »

    • Hola,

      Esta entrada trata sobre eso, no sé si leíste solo ese tramo. Los electrones no pueden nunca emitir ni absorber fotones. Pero cuando se juntan 2, uno puede emitir un fotón y el otro absorberlo siempre y cuando lo hagan en un tiempo en el que no de tiempo a medir.

Preguntas, correcciones y debate son bien recibidos.