3. TEORÍA DE CAMPOS BIDIMENSIONAL
3.1. El gradiente
3.2. Las fuerzas centrales
Formulación vectorial de los conceptos ya vistos.
En el capítulo anterior introdujimos una serie de elementos matemáticos que resultan imprescindibles para poder hacer física en más de una dimensión, como son el de coordenadas, el de vectores y, dentro de estos últimos, el de derivada vectorial junto con el de gradiente. Para ubicarnos bien, considero que resulta muy esclarecedor ver cómo se modifican todos los conceptos previos con ellos, así que en este capítulo comenzaremos recapitulando.
En primer lugar, la posición de un cuerpo r, su velocidad v y su aceleración a deben comenzar a ser tratados como vectores salvo que por la unidimensionalidad del problema proceda lo contrario. Así pues, tendríamos que:

Y, para deshacer las derivadas:

Por el contrario, las energías no deben ser alteradas matemáticamente, ya que siguien sin ser vectores y las mismas expresiones que vimos funcionan en dimensiones superiores, con el único requisito de cambiar x por la distancia al origen r en su caso. El teorema de las fuerzas vivas sigue, también, siendo aplicable del modo habitual.
La primera diferencia importante es que deja de ser posible realizar la integral que facilitaba la posición en función del tiempo al no poderse dividir entre vectores (con la excepción de la particular notación de la derivada vectorial). Lo que estoy diciendo aquí es que donde antes teníamos:

Ahora tanto dr como v tendrían que ser vectores, y eso no tiene sentido alguno. Hecho que complica notablemente el cálculo de r(t) con vectores.
En lo referente a la conversión entre energía potencial y fuerza, aplicará la siguiente ecuación con el gradiente:

Pero deshacer el gradiente, sin embargo, no resulta tan sencillo como una derivada convencional, y la reconstrucción de la energía potencial como función debe hacerse por pasos.
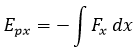
- Paso 1: Obtenemos la energía potencial incompleta Epx:

- Paso 2: Obtenemos la energía potencial incompleta Epy:

Por último, las sumamos:

El proceso se puede hacer también cambiando la integral en y para que sea la primera y la de x la segunda, involucrando una resta de la derivada parcial de Epy.
Podría explicar con palabras por qué es necesario reconstruir la energía potencial en dos pasos, pero considero mucho más instructivo resolver un ejemplo para que las complicaciones se evitan así resulten evidentes.
Tenemos una energía potencial de la forma Ep=e^x+x*y^2-log(y).
a) Calcula la fuerza asociada de forma general.
b) Obtén de nuevo la ecuación de la energía potencial a partir de la de la fuerza.Al hacer todas las operaciones, vemos claramente que la primera integral Epx no dará la energía potencial correcta, y que la parte de falta será aportada por Epy. Pero, a su vez, para que Epy salga bien es necesario restarle la derivada parcial de Epx, ya que si no duplicaría el término x*y^2.
En resumen, el problema radica en que la energía puede tener tres tipos de términos:
- Términos de x, en los que solo aparece x. En el ejemplo, e^x.
- Términos de y, en los que solo aparece y. En el ejemplo, log(y).
- Términos mixtos, en los que aparecen tanto x como y. En el ejemplo, x*y^2.
- Términos constantes, que no dependen de nada y en general dan igual ya que de la energía potencial no nos interesa su valor sino cómo varía.
Cuando calculamos la fuerza, la componente Fx tiene huellas de los términos de x y los mixtos al derivar. Por su parte, la componente Fy hereda su valor de los términos de y y los términos mixtos. Debido a esto, si integramos Fx obtendremos los términos en x y los mixtos, y si integramos Fy los términos en y y los mixtos. El motivo por el que es necesario restar a Fy la derivada parcial de Epx antes de integrar es evitar que los términos mixtos aparezcan de nuevo y en el resultado final estén duplicados. La explicación con palabras parece un trabalenguas y, por este motivo, elegí mostrarlo primero con un ejemplo.
Campos conservativos.
En ocasiones, podemos tener fuerzas «raras» a las cuales es imposible aplicarles el proceso anterior para obtener su energía potencial. Dichas fuerzas son denominadas no conservativas, ya que no se les puede asignar ninguna energía potencial y, por tanto, no pueden ser respetuosas con el teorema de conservación de la energía. Tales fuerzas, por suerte, no existen en la naturaleza, pero es interesante saber reconocerlas.
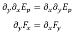
Partamos de la siguiente idea: si tenemos una energía potencial, sus derivadas cruzadas deben coincidir, es decir, debe cumplirse:

De modo que la forma de reconocer si una fuerza sería no conservativa, y por tanto una pérdida de tiempo buscar su energía potencial, es comprobar si la derivada con respecto a y de su componente Fx no coincide con la derivada respecto a x de su componente Fy.
Fuerzas centrales.
Como vimos en el capítulo anterior, si una energía potencial dependía solo de su distancia al origen su gradiente tenía una forma de calcularse muy particular. Dichas energías potenciales son llamadas energías potenciales centrales, ya que su valor únicamente varía con la distancia al centro, dando lugar a una simetría esférica. Tanto la interacción gravitatoria, como la electrostática, como la del oscilador armónico en torno al origen de coordenadas, muestran este tipo de simetría.
En esta sección analizaremos vectorialmente las cuatro energías potenciales que hemos visto:

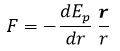
Las fuerzas que producen se pueden obtener con la fórmula adaptada del gradiente:

Dando como resultados:

Cuyos módulos (sin vector) se calculan recordando que r es el módulo del vector r y que el módulo siempre tiene que ser positivo:

Al trabajar con todas estas expresiones, será siempre muy relevante tener en cuenta la distinción entre las fuerzas como vectores y las fuerzas como módulos de vectores, ya que sus expresiones son diferentes.
Gravedad y electrostática con centros desplazados.
En el caso de la interacción gravitatoria y la electrostática, que suponemos creadas por masas y cargas puntuales con frecuencia, resulta útil saber calcular su energía potencial y su fuerza en el caso de que las masas y las cargas que la produzcan no estén ubicadas exactamente sobre el origen de coordenadas.
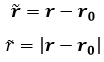
Esto se consigue modificando la variable r, que mide la distancia al origen, por la variable r∼, que deberá medir la distancia entre el punto r en el que queramos medir y el punto r0 en el que se encuentre la masa o carga en cuestión:

Con su ayuda, podemos reescribir todo como:

Veamos un ejemplo de uso:
Tenemos una carga de 4 μC ubicada sobre el punto (0,1) y otra carga de -3 μC ubicada sobre el punto (3,0). Ayudándote del valor de kE cuando sea necesario, calcula:
a) El vector r∼ que va desde la primera carga hasta la segunda.
b) Su módulo.
c) La energía electrostática entre ambas.
d) La fuerza vectorial entre ambas.
e) El módulo de la fuerza.
Y veamos ahora otro más avanzado:
Sobre el origen de coordenadas colocamos una carga de 2 mC. A su alrededor, ubicamos una carga A de 4 mC en (0,6) m, otra B de 4 mC en (2*^raíz(3),-2) m, y una última C de 4 mC en (-2*raíz(3),-2) m. Ayudándote de kE, calcula, con respecto a cada una de las cargas A, B y C:
a) El vector r∼ que va desde ellas hasta la carga central.
b) El módulo de dicho vector.
c) La energía electrostática que producen sobre ella.
e) La fuerza que producen sobre ella.
Una vez hecho todo eso, calcula:
f) La energía electrostática total.
g) La fuerza total.
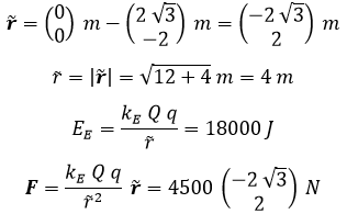
Comenzamos por la carga A:
Seguimos con la carga B:
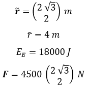
Y, por último, la carga C:
Ahora, teniendo todo, sumamos las energías y las fuerzas, obteniendo como resultado:
Es decir, que la carga en el centro de las otras tres poseerá una cierta energía potencial, pero en este caso concreto ninguna fuerza, ya que las fuerzas se anularán. Si entendemos las fuerzas como gradientes opuestos de las energías potenciales, la conclusión es que la dirección en que que una de las otras cargas induce a la central a moverse se cancela con la de las otras dos.
Energía potencial, potencial, fuerza y campo.
Durante el transcurso de los últimos capítulos, donde hemos empezado a analizar la interacción gravitatoria y la electrostática, quizás haya surgido una pregunta muy relevante: si la energía gravitatoria que padece un cuerpo depende de su masa y la energía electrostática depende de su carga, ¿entonces la energía potencial no es algo que esté ahí sino algo que asignamos para cada cuerpo en concreto?
Este es un aspecto que deliberadamente se había dejado de lado hasta ahora pero que no por ello es irrelevante. La energía potencial que tiene un cuerpo en una circunstancia es característica de dicho cuerpo. Otro en la misma situación podría padecer una energía potencial diferente, y por lo tanto moverse de diferente modo.
Lo que sí es independiente del cuerpo que estemos analizando es el potencial y el campo, dos conceptos hermanados con la energía potencial y la fuerza. Mientras que la energía potencial y la fuerza dependen de la masa y la carga del cuerpo, en su caso, el potencial y el campo no.
En el caso de la gravedad, denominamos potencial gravitatorio (VG) a la energía que padecería un cuerpo en un punto por cada kg de masa que poseyese, y campo gravitatorio (g) a la fuerza que padecería también por cada kg. El potencial se mide en J/kg y el campo en m/s^2 y, de hecho, tiene unidades de aceleración:

Como se puede apreciar, ninguno dependen de m.
Por otra parte, el potencial electrostático (VE) mide la energía que padecería un cuerpo por cada C de carga, y el campo eléctrico (E) la fuerza que padecería por cada C. Este potencial se mediría en J/C o voltios (V), y el campo eléctrico en N/C:

En suma, podríamos decir que entre todas estas magnitudes hay las siguientes relaciones:

Relación entre magnitudes gravitatorias.

Relación entre magnitudes electrostáticas.
Y con esto ya tenemos asentados los puntos de partida para empezar a desarrollar los modelos físicos en dos dimensiones. Tras estos dos capítulos introductorios, en el siguiente analizaremos ya el concepto de energía de rotación, el cual será crucial para analizar órbitas posteriormente.
ACTIVIDADES PROPUESTAS
1. Tenemos una masa de 140 kg ubicada en el origen de coordenadas. A su izquierda, hay una masa A de 70 kg en el punto (-2,0) m. A su derecha, hay una masa B de 90 kg en el punto (6,0) m. Ayudándote del valor de G, calcula con todos los pasos que sean necesarios:
a) La energía gravitatoria total de la masa central debida a las otras dos.
b) La fuerza gravitatoria total sobre la masa central debida a las otras dos.
c) El trabajo necesario para llevar la masa central hasta el infinito (el resultado es negativo y no tiene sentido calcularlo por velocidades ya que habría que otorgarle una velocidad inicial que no tiene).
2. Tenemos una carga de 7 C en el punto (-3,-2) m y otra carga de -2 C en el punto (3,1) m. Ayudándote del valor de kE, calcula:
a) El potencial electrostático entre ambas.
b) El campo electrostático que produce la primera carga sobre la segunda, y el que produce la segunda carga sobre la primera. Comprueba que se oponen.
c) La energía electrostática entre ambas.
d) La fuerza electrostática que produce la primera sobre la segunda, y la que produce la segunda sobre la primera. Comprueba que se oponen.
3. En el ejercicio anterior introducimos una carga extra de 11 C en el punto (-1,-1) m. Calcula su energía electrostática debida a las otras dos cargas y el trabajo necesario para llevarla hasta el infinito.
4. Verifica que la fuerza (y,-x) no es una fuerza conservativa.
Categorías:Blog, Docencia, Estudiar Física de Bachillerato, Física






